Combining Machine Learning and Urine Oximetry: Towards an Intraoperative AKI Risk Prediction Algorithm
Abstract
:1. Introduction
2. Materials and Methods
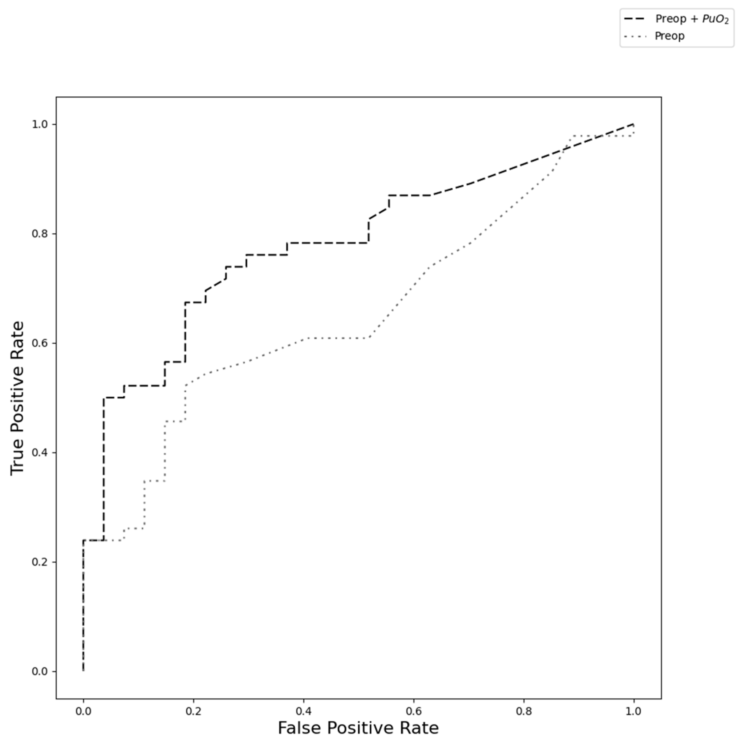
3. Results
4. Discussion
Author Contributions
Funding
Institutional Review Board Statement
Informed Consent Statement
Data Availability Statement
Acknowledgments
Conflicts of Interest
References
- Lagny, M.G.; Jouret, F.; Koch, J.; Blaffart, F.; Donneau, A.; Albert, A.; Roediger, L.; Krzesinski, J.; Defraigne, J. Incidence and outcomes of acute kidney injury after cardiac surgery using either criteria of the RIFLE classification. BMC Nephrol. 2015, 16, 76. [Google Scholar] [CrossRef] [PubMed]
- Dasta, J.F.; Kane-Gill, S.L.; Durtschi, A.; Pathak, D.; Kellum, J. Costs and outcomes of acute kidney injury (AKI) following cardiac surgery. Nephrol. Dial. Transplant. 2008, 23, 1970–1974. [Google Scholar] [CrossRef]
- Kidey Disease: Improving Global Outcomes (KDIGO) Acute Kidney Injury Work Group. KDIGO Clinical Practice Guideline for Acute Kidney Injury. Kidney Int. Suppl. 2012, 2, 19–36. [Google Scholar] [CrossRef]
- Ronco, C.; Bellomo, R.; Kellum, J. Acute kidney injury. Lancet. 2019, 394, 1949–1964. [Google Scholar] [CrossRef]
- Ostermann, M.; Joannidis, M. Acute kidney injury 2016: Diagnosis and diagnostic workup. Crit Care. 2016, 20, 299. [Google Scholar] [CrossRef]
- Moledina, D.G.; Parikh, C.R. Phenotyping of Acute Kidney Injury: Beyond Serum Creatinine. Semin. Nephrol. 2018, 38, 3–11. [Google Scholar] [CrossRef] [PubMed]
- Ralib, A.; Pickering, J.; Shaw, G.; Endre, Z. The urine output definition of acute kidney injury is too liberal. Crit. Care 2013, 17, R112. [Google Scholar] [CrossRef]
- Katabi, L.; Pu, X.; Yilmaz, H.; Jia, Y.; Leung, S.; Duncan, A. Prognostic Utility of KDIGO Urine Output Criteria After Cardiac Surgery. J. Cardiothorac. Vas. Anesth. 2021, 35, 2991–3000. [Google Scholar] [CrossRef]
- Koeze, J.; Keus, F.; Dieperink, W.; van der Horst, C.; Zijlstra, J.; van Meurs, M. Incidence, timing and outcome of AKI in critically ill patients varies with the definition used and the addition of urine output criteria. BMC Nephrol. 2017, 18, 70. [Google Scholar] [CrossRef]
- Kramer, R.; Herron, C.; Groom, R.; Brown, J. Acute Kidney Injury Subsequent to Cardiac Surgery. J. Extra Corpor. Technol. 2015, 47, 16–28. [Google Scholar] [CrossRef]
- Thakar, C.V.; Arrigain, S.; Worley, S.; Yared, J.; Paganini, E. A Clinical Score to Predict Acute Renal Failure after Cardiac Surgery. J. Am. Soc. Nephrol. 2005, 16, 162–168. [Google Scholar] [CrossRef] [PubMed]
- Kristovic, D.; Horvatic, I.; Husedzinovic, I.; Sutlic, Z.; Rudez, I.; Baric, D.; Unic, D.; Blazekovic, R.; Crnogorac, M. Cardiac surgery-associated acute kidney injury: Risk factors analysis and comparison of prediction models. Interact. Cardiovasc. Thorac. Surg. 2015, 21, 366–373. [Google Scholar] [CrossRef]
- Birnie, K.; Verheyden, V.; Pagano, D.; Bhabra, M.; Tilling, K.; Sterne, J.; Murphy, G. Predictive models for kidney disease: Improving global outcomes (KDIGO) defined acute kidney injury in UK cardiac surgery. Crit. Care. 2014, 18, 606. [Google Scholar] [CrossRef]
- Huen, S.C.; Parikh, C.R. Predicting Acute Kidney Injury After Cardiac Surgery: A Systematic Review. Ann. Thorac. Surg. 2012, 93, 337–347. [Google Scholar] [CrossRef]
- Evans, R.; Ince, C.; Joles, J.; Smith, D.; May, C.; O’Connor, P.; Gardiner, B. Haemodynamic influences on kidney oxygenation: Clinical implications of integrative physiology. Clin. Exp. Pharmacol. 2013, 40, 106–122. [Google Scholar] [CrossRef]
- Hu, R.; Lankadeva, Y.; Yanase, F.; Osawa, E.; Evans, R.; Bellomo, R. Continuous bladder urinary oxygen tension as a new tool to monitor medullary oxygenation in the critically ill. Crit. Care 2022, 26, 389. [Google Scholar] [CrossRef]
- Ow, C.P.C.; Ngo, J.P.; Ullah, M.; Hilliard, L.; Evans, R. Renal hypoxia in kidney disease: Cause or consequence? Acta Physiol. 2018, 222, e12999. [Google Scholar] [CrossRef] [PubMed]
- Noe, K.M.; Ngo, J.P.; Martin, A.; Zhu, M.; Cochrane, A.; Smith, J.; Thrift, A.; Singh, H.; Evans, R. Intra-operative and early post-operative prediction of cardiac surgery-associated acute kidney injury: Urinary oxygen tension compared with plasma and urinary biomarkers. Clin. Exp. Pharmacol. Physiol. 2022, 49, 228–241. [Google Scholar] [CrossRef] [PubMed]
- Silverton, N.A.; Lofgren, L.R.; Hall, I.; Stoddard, G.; Melendez, N.; Van Tienderen, M.; Shumway, S.; Stringer, B.; Kang, W.; Lybbert, C.; et al. Noninvasive Urine Oxygen Monitoring and the Risk of Acute Kidney Injury in Cardiac Surgery. Anesthesiology 2021, 135, 406–418. [Google Scholar] [CrossRef]
- Lofgren, L.R.; Silverton, N.A.; Kuck, K.; Hall, I. The impact of urine flow on urine oxygen partial pressure monitoring during cardiac surgery. J. Clin. Monit. Comput. 2023, 37, 21–27. [Google Scholar] [CrossRef]
- Silverton, N.A.; Hall, I.E.; Melendez, N.; Harris, B.; Harley, J.; Parry, S.; Lofgren, L.; Stoddard, G.; Hoareau, G.; Kuck, K. Intraoperative Urinary Biomarkers and Acute Kidney Injury After Cardiac Surgery. J. Cardiothorac. Vasc. Anesth. 2021, 35, 1691–1700. [Google Scholar] [CrossRef] [PubMed]
- Sgouralis, I.; Kett, M.M.; Ow, C.; Abdelkader, A.; Layton, A.; Gardiner, B.; Smith, D.; Lankadeva, Y.; Evans, R. Bladder urine oxygen tension for assessing renal medullary oxygenation in rabbits: Experimental and modeling studies. Am. J. Physiol-Regul. Integr. Comp. Physiol. 2016, 311, R532–R544. [Google Scholar] [CrossRef] [PubMed]
- Vives, M.; Hernandez, A.; Parramon, F.; Estanyol, N.; Pardina, B.; Munoz, A.; Alvarez, P.; Hernandez, C. Acute kidney injury after cardiac surgery: Prevalence, impact and management challenges. Int. J. Nephrol. Renov. Dis. 2019, 12, 153–166. [Google Scholar] [CrossRef]
- Chen, D.X. Urine Oxygen Monitoring in Cardiac Surgery: Comment. Anesthesiology 2022, 136, 662. [Google Scholar] [CrossRef]
- Breiman, L. Bagging predictors. Mach. Learn. 1996, 24, 123–140. [Google Scholar] [CrossRef]
- Wong, T.T. Performance evaluation of classification algorithms by k-fold and leave-one-out cross validation. Pattern Recognit. 2015, 48, 2839–2846. [Google Scholar] [CrossRef]
- Heise, D.; Sundermann, D.; Braeuer, A.; Quintel, M. Validation of a clinical score to determine the risk of acute renal failure after cardiac surgery. Eur. J. Cardiothorac. Surg. 2010, 37, 710–716. [Google Scholar] [CrossRef]
- Osawa, E.A.; Cutuli, S.L.; Bitker, L.; Canet, E.; Cioccari, L.; Iguchi, N.; Lankadeva, Y.; Eastwood, G.; Evans, R.; May, C.; et al. Effect of Furosemide on Urinary Oxygenation in Patients with Septic Shock. Blood Purif. 2019, 48, 336–345. [Google Scholar] [CrossRef]
- Iguchi, N.; Lankadeva, Y.; Evans, R.; Bellomo, R.; May, C. Low-dose furosemide improves renal medullary oxygenation in ovine septic acute kidney injury. Kidney Int. Rep. 2019, 4, S61–S62. [Google Scholar] [CrossRef]
- Vogiatjis, J.; Noe, K.M.; Don, A.; Cochrane, A.; Zhu, M.; Smith, J.; Ngo, J.; Martin, A.; Thrift, A.; Bellomo, R.; et al. Association Between Changes in Norepinephrine Infusion Rate and Urinary Oxygen Tension After Cardiac Surgery. J. Cardiothorac. Vasc. Anesth. 2023, 37, 237–245. [Google Scholar] [CrossRef] [PubMed]
- Okazaki, N.; Iguchi, N.; Evans, R.; Hood, S.; Bellomo, R.; Clive, M.; Lankadeva, Y. Beneficial Effects of Vasopressin Compared with Norepinephrine on Renal Perfusion, Oxygenation, and Function in Experimental Septic Acute Kidney Injury. Crit. Care Med. 2020, 48, e951–e958. [Google Scholar] [CrossRef]
- Parolari, A.; Pesce, L.L.; Pacini, D.; Mazzanti, V.; Salis, S.; Sciacovelli, C.; Rossi, F.; Alamanni, F. Risk Factors for Perioperative Acute Kidney Injury After Adult Cardiac Surgery: Role of Perioperative Management. Ann. Thorac. Surg. 2012, 93, 584–591. [Google Scholar] [CrossRef] [PubMed]
- Tseng, P.Y.; Chen, Y.T.; Wang, C.; Chiu, K.; Peng, Y.; Hsu, S.; Chen, K.; Yang, C.; Lee, O. Prediction of the development of acute kidney injury following cardiac surgery by machine learning. Crit. Care. 2020, 24, 478. [Google Scholar] [CrossRef]
- Han, W.K.; Wagener, G.; Zhu, Y.; Wang, S.; Lee, H. Urinary Biomarkers in the Early Detection of Acute Kidney Injury after Cardiac Surgery. Clin. J. Am. Soc. Nephrol. 2009, 4, 873–882. [Google Scholar] [CrossRef] [PubMed]
- Mishra, J.; Mori, K.; Ma, Q.; Kelly, C.; Barasch, J.; Devarajan, P. Neutrophil Gelatinase-Associated Lipocalin: A Novel Early Urinary Biomarker for Cisplatin Nephrotoxicity. Am. J. Nephrol. 2004, 24, 307–315. [Google Scholar] [CrossRef]
- Portilla, D.; Dent, C.; Sugaya, T.; Nagothu, K.; Kundi, I.; Moore, P.; Noiri, E.; Devarajan, P. Liver fatty acid-binding protein as a biomarker of acute kidney injury after cardiac surgery. Kidney Int. 2008, 73, 465–472. [Google Scholar] [CrossRef]
- Meersch, M.; Schmidt, C.; Van Aken, H.; Martens, S.; Rossaint, J.; Singbartl, K.; Gorlich, D.; Kellum, J.; Zarbock, A. Urinary TIMP-2 and IGFBP7 as Early Biomarkers of Acute Kidney Injury and Renal Recovery following Cardiac Surgery. PLoS ONE 2014, 9, e93460. [Google Scholar] [CrossRef]
- Parikh, C.R.; Thiessen-Philbrook, H.; Garg, A.; Kadiyala, D.; Shlipak, M.; Koyner, J.; Edelstein, C.; Devarajan, P.; Patel, U.; Zappitelli, M.; et al. Performance of Kidney Injury Molecule-1 and Liver Fatty Acid-Binding Protein and Combined Biomarkers of AKI after Cardiac Surgery. Clin. J. Am. Soc. Nephrol. 2013, 8, 1079–1088. [Google Scholar] [CrossRef]
- Oh, D.J. A long journey for acute kidney injury biomarkers. Ren. Fail. 2020, 42, 154–165. [Google Scholar] [CrossRef]
- Ostermann, M.; Zarbock, A.; Goldstein, S.; Kashani, K.; Macedo, E.; Murugan, R.; Bell, M.; Forni, L.; Guzzi, L.; Joannidis, M. Recommendations on Acute Kidney Injury Biomarkers from the Acute Disease Quality Initiative Consensus Conference: A Consensus Statement. JAMA Netw. Open. 2020, 3, e2019209. [Google Scholar] [CrossRef] [PubMed]
- Kellum, J.A.; Chawla, L.S. Cell-cycle arrest and acute kidney injury: The light and the dark sides. Nephrol. Dial. Transplant. 2016, 31, 16–22. [Google Scholar] [CrossRef] [PubMed]
- Ilaria, G.; Kianoush, K.; Ruxandra, B.; Francesca, M.; Mariarosa, C.; Davide, G.; Claudio, R. Clinical adoption of Nephrocheck® in the early detection of acute kidney injury. Ann. Clin. Biochem. Int. J. Lab. Med. 2021, 58, 6–15. [Google Scholar] [CrossRef] [PubMed]
- Zhu, M.Z.L.; Martin, A.; Cochrane, A.; Smith, J.; Thrift, A.; Harrop, G.; Ngo, J.; Evans, R. Urinary hypoxia: An intraoperative marker of risk of cardiac surgery-associated acute kidney injury. Nephrol. Dial. Transplant. 2018, 33, 2191–2201. [Google Scholar] [CrossRef] [PubMed]
- Pickering, J.; Endre, Z. GFR Shot by RIFLE: Errors in staging acute kidney injury. Lancet 2009, 373, 1318–1319. [Google Scholar] [CrossRef]



| Feature | AKI (n = 46) | No AKI (n = 27) | p-Value |
|---|---|---|---|
| Age (years), mean ± SD | 65 ± 11 | 62 ± 15 | 0.27 |
| Body Mass Index, mean ± SD | 29.38 ± 5.89 | 26.57 ± 5.32 | 0.05 |
| Baseline creatinine, mean ± SD | 1.12 ± 0.26 | 0.97 ± 0.25 | 0.014 |
| Left Ventricular Ejection Fraction <35%, n (%) | 7 (15) | 2 (8) | 0.54 |
| Insulin dependent diabetes, n (%) | 14 (30) | 1 (3) | 0.015 |
| Female, n (%) | 14 (30) | 8 (30) | 0.99 |
| Type of procedure—Isolated CABG | 16 (35) | 7 (26) | 0.60 |
| Type of procedure—Single Valve | 9 (20) | 6 (22) | 0.99 |
| Type of procedure—Single Valve + CABG | 7 (15) | 3 (11) | 0.88 |
| Type of procedure—>1 valve | 5 (11) | 3 (11) | 0.99 |
| Type of procedure—Other | 7(15) | 7(26) | 0.66 |
| Intraoperative risk factors | |||
| CPB Time (min), mean ± SD | 160.42 ± 55.28 | 167.74 ± 70.25 | 0.62 |
| Transfusion rate, n (%) | 26(56) | 15(56) | 0.99 |
| Urine output (mLs), mean ± SD | |||
Disclaimer/Publisher’s Note: The statements, opinions and data contained in all publications are solely those of the individual author(s) and contributor(s) and not of MDPI and/or the editor(s). MDPI and/or the editor(s) disclaim responsibility for any injury to people or property resulting from any ideas, methods, instructions or products referred to in the content. |
© 2023 by the authors. Licensee MDPI, Basel, Switzerland. This article is an open access article distributed under the terms and conditions of the Creative Commons Attribution (CC BY) license (https://creativecommons.org/licenses/by/4.0/).
Share and Cite
Lofgren, L.; Silverton, N.; Kuck, K. Combining Machine Learning and Urine Oximetry: Towards an Intraoperative AKI Risk Prediction Algorithm. J. Clin. Med. 2023, 12, 5567. https://doi.org/10.3390/jcm12175567
Lofgren L, Silverton N, Kuck K. Combining Machine Learning and Urine Oximetry: Towards an Intraoperative AKI Risk Prediction Algorithm. Journal of Clinical Medicine. 2023; 12(17):5567. https://doi.org/10.3390/jcm12175567
Chicago/Turabian StyleLofgren, Lars, Natalie Silverton, and Kai Kuck. 2023. "Combining Machine Learning and Urine Oximetry: Towards an Intraoperative AKI Risk Prediction Algorithm" Journal of Clinical Medicine 12, no. 17: 5567. https://doi.org/10.3390/jcm12175567
APA StyleLofgren, L., Silverton, N., & Kuck, K. (2023). Combining Machine Learning and Urine Oximetry: Towards an Intraoperative AKI Risk Prediction Algorithm. Journal of Clinical Medicine, 12(17), 5567. https://doi.org/10.3390/jcm12175567

