Long-Term Oncological and Functional Outcomes after Laparoscopic Partial Nephrectomy with Hyperselective Embolization of Tumor Vessels in a Hybrid Operating Room
Abstract
1. Introduction
2. Materials and Methods
2.1. Patients
2.2. Intraoperative and Postoperative Outcomes
2.3. Angiographic and Surgical Procedure
2.4. Follow-Up
2.5. Statistical Analysis
3. Results
3.1. Patient and Tumor Characteristics
3.2. Operative Outcomes
3.3. Postoperative Outcomes
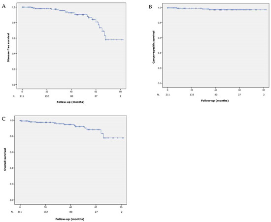
3.4. Oncological Outcomes
3.5. Functional Outcomes
4. Discussion
5. Conclusions
Author Contributions
Funding
Institutional Review Board Statement
Informed Consent Statement
Data Availability Statement
Conflicts of Interest
References
- The Global Cancer Observatory. Available online: https://gco.iarc.fr/today/data/factsheets/cancers/29-Kidney-fact-sheet.pdf (accessed on 1 July 2023).
- Bigot, P.; Barthelemy, P.; Boissier, R.; Khene, Z.-E.; Pettenati, C.; Bernhard, J.-C.; Correas, J.-M.; Doumerc, N.; Gimel, P.; Ingels, A.; et al. French AFU Cancer Committee Guidelines—Update 2022–2024: Management of kidney cancer. Progrès Urol. 2022, 32, 1195–1274. [Google Scholar] [CrossRef] [PubMed]
- Ljungberg, B.; Albiges, L.; Abu-Ghanem, Y.; Bedke, J.; Capitanio, U.; Dabestani, S.; Fernández-Pello, S.; Giles, R.H.; Hofmann, F.; Hora, M.; et al. European Association of Urology Guidelines on Renal Cell Carcinoma: The 2022 Update. Eur. Urol. 2022, 82, 399–410. [Google Scholar] [CrossRef] [PubMed]
- Peyronnet, B.; Seisen, T.; Oger, E.; Vaessen, C.; Grassano, Y.; Benoit, T.; Carrouget, J.; Pradère, B.; Khene, Z.; Giwerc, A.; et al. Comparison of 1800 Robotic and Open Partial Nephrectomies for Renal Tumors. Ann. Surg. Oncol. 2016, 23, 4277–4283. [Google Scholar] [CrossRef]
- Ingels, A.; Bensalah, K.; Beauval, J.B.; Paparel, P.; Rouprêt, M.; Lang, H.; Nouhaud, F.X.; Hénon, F.; Bruyère, F.; Audenet, F.; et al. Comparison of open and robotic-assisted partial nephrectomy approaches using multicentric data (UroCCR-47 study). Sci. Rep. 2022, 12, 18981. [Google Scholar] [CrossRef] [PubMed]
- Choi, J.E.; You, J.H.; Kim, D.K.; Rha, K.H.; Lee, S.H. Comparison of Perioperative Outcomes Between Robotic and Laparoscopic Partial Nephrectomy: A Systematic Review and Meta-analysis. Eur. Urol. 2015, 67, 891–901. [Google Scholar] [CrossRef]
- Porpiglia, F.; Bertolo, R.; Amparore, D.; Fiori, C. Margins, ischaemia and complications rate after laparoscopic partial nephrectomy: Impact of learning curve and tumour anatomical characteristics: MIC rate after LPN. BJU Int. 2013, 112, 1125–1132. [Google Scholar] [CrossRef] [PubMed]
- Gallucci, M.; Guaglianone, S.; Carpanese, L.; Papalia, R.; Simone, G.; Forestiere, E.; Leonardo, C. Superselective Embolization as First Step of Laparoscopic Partial Nephrectomy. Urology 2007, 69, 642–645. [Google Scholar] [CrossRef]
- Simone, G.; Papalia, R.; Guaglianone, S.; Carpanese, L.; Gallucci, M. Zero Ischemia Laparoscopic Partial Nephrectomy After Superselective Transarterial Tumor Embolization for Tumors with Moderate Nephrometry Score: Long-Term Results of a Single-Center Experience. J. Endourol. 2011, 25, 1443–1446. [Google Scholar] [CrossRef]
- D’Urso, L.; Simone, G.; Rosso, R.; Collura, D.; Castelli, E.; Giacobbe, A.; Muto, G.; Comelli, S.; Savio, D. Benefits and shortcomings of superselective transarterial embolization of renal tumors before zero ischemia laparoscopic partial nephrectomy. Eur. J. Surg. Oncol. (EJSO) 2014, 40, 1731–1737. [Google Scholar] [CrossRef]
- Benoit, M.; Bouvier, A.; Bigot, P. Salle hybride: Pour quoi faire? Progrès Urol. 2017, 27, 841–844. [Google Scholar] [CrossRef]
- Bigot, P.; Bouvier, A.; Panayotopoulos, P.; Aubé, C.; Azzouzi, A.R. Partial nephrectomy after selective embolization of tumor vessels in a hybrid operating room: A new approach of zero ischemia in renal surgery: Hybrid Operating Room for Kidney Surgery. J. Surg. Oncol. 2015, 113, 135–137. [Google Scholar] [CrossRef]
- Panayotopoulos, P.; Bouvier, A.; Besnier, L.; Rousselet, M.C.; Nedelcu, C.; Baize, N.; Beydon, L.; Aubé, C.; Azzouzi, A.-R.; Bigot, P. Laparoscopic partial nephrectomy following tumor embolization in a hybrid room. Feasibility and clinical outcomes. Surg. Oncol. 2017, 26, 377–381. [Google Scholar] [CrossRef]
- Aubert, C.; Rolley, C.; Mauny, M.; Heuveline, J.; Silve, E.; Humeau, M.; Le Corre, V.; Lebdai, S.; Brassart, E.; Culty, T.; et al. Évaluation de l’utilisation de la salle hybride sur l’activité de chirurgie en cancérologie rénale. Progrès Urol. 2020, 30, 288–295. [Google Scholar] [CrossRef] [PubMed]
- Bréhier, G.; Bouvier, A.; Besnier, L.; Willoteaux, S.; Nedelcu, C.; Culty, T.; Aubé, C.; Bigot, P. Renal function after partial nephrectomy following intra-arterial embolization of renal tumors. Sci. Rep. 2020, 10, 21352. [Google Scholar] [CrossRef] [PubMed]
- Delahunt, B.; Srigley, J.R.; Egevad, L.; Montironi, R. International Society of Urological Pathology Grading and Other Prognostic Factors for Renal Neoplasia. Eur. Urol. 2014, 66, 795–798. [Google Scholar] [CrossRef]
- Kutikov, A.; Uzzo, R.G. The RENAL nephrometry score: A Comprehensive Standardized System for Quantitating Renal Tumor Size, Location and Depth. J. Urol. 2009, 182, 844–853. [Google Scholar] [CrossRef] [PubMed]
- Clavien, P.A.; Barkun, J.; de Oliveira, M.L.; Vauthey, J.N.; Dindo, D.; Schulick, R.D.; de Santibañes, E.; Pekolj, J.; Slankamenac, K.; Bassi, C.; et al. The Clavien-Dindo Classification of Surgical Complications: Five-year experience. Ann. Surg. 2009, 250, 187–196. [Google Scholar] [CrossRef]
- Bouvier, A.; Besnier, L.; Paisant, A.; Briot, T.; Hebert, T.; Daniel, V.; Beydon, L.; Marinnes, M.Z.; Baize, N.; Aubé, C.; et al. Blue Dye Embolization of Renal Tumor: A New Technique to Improve Tumor Localization During Laparoscopic Partial Nephrectomy. J. Laparoendosc. Adv. Surg. Tech. 2020, 30, 299–303. [Google Scholar] [CrossRef]
- Pignot, G.; Méjean, A.; Bernhard, J.C.; Bigot, P.; Timsit, M.O.; Ferriere, J.M.; Zerbib, M.; Villers, A.; Mouracade, P.; Lang, H.; et al. The use of partial nephrectomy: Results from a contemporary national prospective multicenter study. World J. Urol. 2015, 33, 33–40. [Google Scholar] [CrossRef]
- Gill, I.S.; Kavoussi, L.R.; Lane, B.R.; Blute, M.L.; Babineau, D.; Colombo, J.R.; Frank, I.; Permpongkosol, S.; Weight, C.J.; Kaouk, J.H.; et al. Comparison of 1,800 Laparoscopic and Open Partial Nephrectomies for Single Renal Tumors. J. Urol. 2007, 178, 41–46. [Google Scholar] [CrossRef]
- Simmons, M.N.; Chung, B.I.; Gill, I.S. Perioperative Efficacy of Laparoscopic Partial Nephrectomy for Tumors Larger than 4cm. Eur. Urol. 2009, 55, 199–208. [Google Scholar] [CrossRef]
- Masson-Lecomte, A.; Bensalah, K.; Seringe, E.; Vaessen, C.; de la Taille, A.; Doumerc, N.; Rischmann, P.; Bruyère, F.; Soustelle, L.; Droupy, S.; et al. A prospective comparison of surgical and pathological outcomes obtained after robot-assisted or pure laparoscopic partial nephrectomy in moderate to complex renal tumours: Results from a French multicentre collaborative study: Outcomes after robot-assisted or pure laparoscopic partial nephrectomy. BJU Int. 2012, 111, 256–263. [Google Scholar] [CrossRef] [PubMed]
- Bravi, C.A.; Rosiello, G.; Mazzone, E.; Minervini, A.; Mari, A.; Di Maida, F.; Bensalah, K.; Peyronnet, B.; Khene, Z.-E.; Schiavina, R.; et al. The IRON Study: Investigation of Robot-assisted Versus Open Nephron-sparing Surgery. Eur. Urol. Open Sci. 2023, 49, 71–77. [Google Scholar] [CrossRef] [PubMed]
- Hidas, G.; Lupinsky, L.; Kastin, A.; Moskovitz, B.; Groshar, D.; Nativ, O.; Da Pozzo, L. Functional Significance of Using Tissue Adhesive Substance in Nephron-Sparing Surgery: Assessment by Quantitative SPECT of 99m Tc-Dimercaptosuccinic Acid Scintigraphy. Eur. Urol. 2007, 52, 785–790. [Google Scholar] [CrossRef] [PubMed]
- George, A.K.; Herati, A.S.; Srinivasan, A.K.; Rais-Bahrami, S.; Waingankar, N.; Sadek, M.A.; Schwartz, M.J.; Okhunov, Z.; Richstone, L.; Okeke, Z.; et al. Perioperative outcomes of off-clamp vs complete hilar control laparoscopic partial nephrectomy. BJU Int. 2013, 111, E235–E241. [Google Scholar] [CrossRef]
- Mir, M.C.; Ercole, C.; Takagi, T.; Zhang, Z.; Velet, L.; Remer, E.M.; Demirjian, S.; Campbell, S.C. Decline in Renal Function after Partial Nephrectomy: Etiology and Prevention. J. Urol. 2015, 193, 1889–1898. [Google Scholar] [CrossRef]
- Khalifeh, A.; Autorino, R.; Eyraud, R.; Samarasekera, D.; Laydner, H.; Panumatrassamee, K.; Stein, R.J.; Kaouk, J.H. Three-year Oncologic and Renal Functional Outcomes After Robot-assisted Partial Nephrectomy. Eur. Urol. 2013, 64, 744–750. [Google Scholar] [CrossRef]
- Flammia, R.S.; Anceschi, U.; Tufano, A.; Tuderti, G.; Ferriero, M.C.; Brassetti, A.; Mari, A.; Di Maida, F.; Minervini, A.; Derweesh, I.H.; et al. Is Hypertension Associated with Worse Renal Functional Outcomes after Minimally Invasive Partial Nephrectomy? Results from a Multi-Institutional Cohort. J. Clin. Med. 2022, 11, 1243. [Google Scholar] [CrossRef]
- Flammia, R.S.; Tufano, A.; Proietti, F.; Gerolimetto, C.; DE Nunzio, C.; Franco, G.; Leonardo, C. Renal surgery for kidney cancer: Is preoperative proteinuria a predictor of functional and survival outcomes after surgery? A systematic review of the literature. Minerva Urol. Nephrol. 2022, 74, 255–264. [Google Scholar] [CrossRef]
- Volpe, A.; Blute, M.L.; Ficarra, V.; Gill, I.S.; Kutikov, A.; Porpiglia, F.; Rogers, C.; Touijer, K.A.; Van Poppel, H.; Thompson, R.H. Renal Ischemia and Function After Partial Nephrectomy: A Collaborative Review of the Literature. Eur. Urol. 2015, 68, 61–74. [Google Scholar] [CrossRef]
- Thompson, R.H.; Lane, B.R.; Lohse, C.M.; Leibovich, B.C.; Fergany, A.; Frank, I.; Gill, I.S.; Blute, M.L.; Campbell, S.C. Every Minute Counts When the Renal Hilum Is Clamped During Partial Nephrectomy. Eur. Urol. 2010, 58, 340–345. [Google Scholar] [CrossRef]
- Branger, N.; Bigot, P.; Pignot, G.; Lorusso, V.; Audenet, F.; Parier, B.; Doumerc, N.; Brenier, M.; Xylinas, E.; Boissier, R.; et al. Oncocytoma on renal mass biopsy: Is it still the same histology when surgery is performed? Results from UroCCR-104 study. World J. Urol. 2023, 41, 483–489. [Google Scholar] [CrossRef] [PubMed]
- Baboudjian, M.; Moser, D.; Yanagisawa, T.; Gondran-Tellier, B.; Compérat, E.M.; Ambrosetti, D.; Daniel, L.; Bastide, C.; Shariat, S.F.; Lechevallier, E.; et al. Benefit and Harm of Active Surveillance for Biopsy-proven Renal Oncocytoma: A Systematic Review and Pooled Analysis. Eur. Urol. Open Sci. 2022, 41, 8–15. [Google Scholar] [CrossRef] [PubMed]
- Vartolomei, M.D.; Remzi, M.; Fajkovic, H.; Shariat, S.F. Robot-Assisted Partial Nephrectomy Mid-Term Oncologic Outcomes: A Systematic Review. J. Clin. Med. 2022, 11, 6165. [Google Scholar] [CrossRef]
- Furukawa, J.; Hinata, N.; Teisima, J.; Takenaka, A.; Shiroki, R.; Kobayashi, Y.; Kanayama, H.; Hattori, K.; Horie, S.; Tozawa, K.; et al. Robot-assisted partial nephrectomy with minimum follow-up of 5 years: A multi-center prospective study in Japan. Int. J. Urol. 2022, 29, 1038–1045. [Google Scholar] [CrossRef] [PubMed]
- Beauval, J.-B.; Peyronnet, B.; Benoit, T.; Cabarrou, B.; Seisen, T.; Roumiguié, M.; Pradere, B.; Khene, Z.-E.; Manach, Q.; Verhoest, G.; et al. Long-term oncological outcomes after robotic partial nephrectomy for renal cell carcinoma: A prospective multicentre study. World J. Urol. 2018, 36, 897–904. [Google Scholar] [CrossRef]



| Laparoscopic Partial Nephrectomy after Hyperselective Embolization of Tumor Vessels (n = 245) | |
|---|---|
| Median age, years [IQR] | 64 [52–72] |
| Gender, n (%) | |
| Male | 163 (66.5) |
| Female | 82 (33.5) |
| Median BMI, kg/m2 [IQR] | 27.3 [24.5–30.8] |
| Solitary kidney, n (%) | 2 (0.8) |
| ASA score, n (%) | |
| ASA 1 | 43 (17.6) |
| ASA 2 | 145 (59.4) |
| ASA 3 | 55 (22.5) |
| ASA 4 | 1 (0.5) |
| Side, n (%) | |
| Right | 127 (51.8) |
| Left | 118 (48.2) |
| Median tumor size, cm [IQR] | 3.2 [2.5–4.4] |
| R.E.N.A.L. complexity, n (%) | |
| Low | 104 (43.5) |
| Moderate | 109 (45.6) |
| High | 26 (10.9) |
| Indication, n (%) | |
| Elective | 215 (87.8) |
| Imperative | 30 (12.2) |
| Median preoperative eGFR CKD-EPI, mL/min/1.73 m2 [IQR] | 90.5 [77–101.8] |
| Median follow-up, month [IQR] | 27 [8–49] |
| Laparoscopic Partial Nephrectomy after Selective Embolization of Tumor Vessels (n = 245) | |
|---|---|
| Median total operative time, min [IQR] | 168 [145–199] |
| Median laparoscopic time, min [IQR] | 75 [60–100] |
| Median blood loss, mL [IQR] | 100 [50–300] |
| Number of arterial branches embolized, n (%) | |
| 1 | 88 (36.1) |
| 2 | 99 (40.6) |
| 3 | 41 (16.8) |
| 4 | 15 (6.1) |
| 5 | 1 (0.4) |
| Intraoperative complications, n (%) | 10 (4.1) |
| Intraoperative transfusions, n (%) | 4 (1.6) |
| Postoperative complications CLAVIEN, n (%) | |
| I | 32 (13.1) |
| II | 7 (2.9) |
| IIIa | 3 (1.2) |
| IIIb | 12 (4.9) |
| IVa | 1 (0.4) |
| V | 1 (0.4) |
| Median hospital stay, days [IQR] | 4 [3–4] |
| All Tumors (n = 245) | Low Complexity Group 1 (n = 104) | Moderate Complexity Group 2 (n = 109) | High Complexity Group 3 (n = 26) | p Value | |
|---|---|---|---|---|---|
| All complications, n (%) | 56 (22.9) | 24 (23) | 23 (21) | 7 (26) | 0.8 |
| Major complications (Clavien > 2), n (%) | 17 (6.9) | 4 (3.8) | 7 (6.4) | 4 (15) | 0.095 |
| Laparoscopic Partial Nephrectomy after Selective Embolization of Tumor Vessels (n = 245) | |
|---|---|
| Histology, n (%) | |
| Benign | 34 (13.9) |
| Angiomyolipoma | 5 (2) |
| Renal cyst | 5 (2) |
| Oncocytoma | 22 (9) |
| Hemangioma | 1 (0.4) |
| Metanephric adenoma | 1 (0.4) |
| Malignant | 211 (86.1) |
| Clear cell renal cell carcinoma | 158 (64.5) |
| Collecting duct/Bellini duct carcinoma | 1 (0.4) |
| Chromophobe renal cell carcinoma | 16 (6.5) |
| Papillary renal cell carcinoma | 34 (13.9) |
| Eosinophilic renal cell carcinoma | 1 (0.4) |
| Pulmonary metastasis | 1 (0.4) |
| pT stage, n (%) | |
| pT1a | 142 (67.3) |
| pT1b | 42 (19.9) |
| pT2a | 9 (4.3) |
| pT2b | 1 (0.5) |
| pT3a | 17 (8.1) |
| ISUP grade, n (%) | |
| 1 | 22 (10.5) |
| 2 | 125 (59.2) |
| 3 | 40 (19) |
| 4 | 6 (2.8) |
| NA | 18 (8.5) |
| Surgical margins, n (%) | |
| Negative | 233 (95.1) |
| Positive | 12 (4.9) |
| Recurrences, n (%) | |
| All recurrences | 20 (9.5) |
| Local recurrences | 17 (8.1) |
| Metastatic progression | 7 (3.3) |
| Surgical reoperation, n (%) | 17 (8.1) |
| Totalisation | 8 (3.8) |
| Partial nephrectomy | 1 (0.5) |
| Radiofrequency ablation | 6 (2.8) |
| Extra peritoneal nodule excision | 2 (1) |
| Deaths, n (%) | 14 (5.7) |
| Specific deaths, n (%) | 4 (1.6) |
| Hazard Ratio (CI 95%) | p Value | |
|---|---|---|
| Age, (continuous) | 1.02 (0.977; 1.07) | 0.340 |
| Tumor size, (continuous) | 1.15 (0.843; 1.55) | 0.386 |
| Indication NSS | ||
| Elective | Reference | — |
| Imperative | 1.00 (0.289; 3.47) | 0.997 |
| Histology | ||
| Other | Reference | — |
| Clear cell renal cell carcinoma | 1.77 (0.496; 6.33) | 0.378 |
| ISUP grade | ||
| 1/2 | Reference | — |
| 3/4 | 1.71 (0.618; 4.75) | 0.300 |
| T Stade | ||
| T1 and T2 | Reference | — |
| ≥T3 | 4.04 (1.18; 13.91) | 0.027 |
| Surgical margins | ||
| Negative | Reference | — |
| Positive | 4.29 (1.17; 15.82) | 0.029 |
| Hazard Ratio (CI 95%) | p Value | |
|---|---|---|
| Gender (male vs. female) | 0.78 (0.44; 1.3) | 0.78 |
| Age (continuous) | 1.01 (0.99; 1.03) | 0.33 |
| Malignant tumor (vs. benign tumor) | 0.75 (0.34; 1.6) | 0.363 |
| Tumor size (continuous) | 0.97 (0.81; 1.16) | 0.76 |
| Preoperative chronic kidney disease (vs. GFR > 60 mL/min) | 3.8 (0.79; 18.6) | 0.095 |
| Operative bleeding (continuous) | 1 (0.99; 1.001) | 0.48 |
| Number of segmental arteries embolized > 1 (vs. 1) | 0.99 (0.57; 1.71) | 0.99 |
Disclaimer/Publisher’s Note: The statements, opinions and data contained in all publications are solely those of the individual author(s) and contributor(s) and not of MDPI and/or the editor(s). MDPI and/or the editor(s) disclaim responsibility for any injury to people or property resulting from any ideas, methods, instructions or products referred to in the content. |
© 2023 by the authors. Licensee MDPI, Basel, Switzerland. This article is an open access article distributed under the terms and conditions of the Creative Commons Attribution (CC BY) license (https://creativecommons.org/licenses/by/4.0/).
Share and Cite
Frantz, U.; Bouvier, A.; Culty, T.; Zidane, M.; Lebdai, S.; Bigot, P. Long-Term Oncological and Functional Outcomes after Laparoscopic Partial Nephrectomy with Hyperselective Embolization of Tumor Vessels in a Hybrid Operating Room. J. Clin. Med. 2023, 12, 5167. https://doi.org/10.3390/jcm12165167
Frantz U, Bouvier A, Culty T, Zidane M, Lebdai S, Bigot P. Long-Term Oncological and Functional Outcomes after Laparoscopic Partial Nephrectomy with Hyperselective Embolization of Tumor Vessels in a Hybrid Operating Room. Journal of Clinical Medicine. 2023; 12(16):5167. https://doi.org/10.3390/jcm12165167
Chicago/Turabian StyleFrantz, Ulysse, Antoine Bouvier, Thibaut Culty, Merzouka Zidane, Souhil Lebdai, and Pierre Bigot. 2023. "Long-Term Oncological and Functional Outcomes after Laparoscopic Partial Nephrectomy with Hyperselective Embolization of Tumor Vessels in a Hybrid Operating Room" Journal of Clinical Medicine 12, no. 16: 5167. https://doi.org/10.3390/jcm12165167
APA StyleFrantz, U., Bouvier, A., Culty, T., Zidane, M., Lebdai, S., & Bigot, P. (2023). Long-Term Oncological and Functional Outcomes after Laparoscopic Partial Nephrectomy with Hyperselective Embolization of Tumor Vessels in a Hybrid Operating Room. Journal of Clinical Medicine, 12(16), 5167. https://doi.org/10.3390/jcm12165167
