Which of 51 Plate Designs Can Most Stably Fixate the Fragments in a Fracture of the Mandibular Condyle Base?
Abstract
1. Introduction
2. Materials and Methods
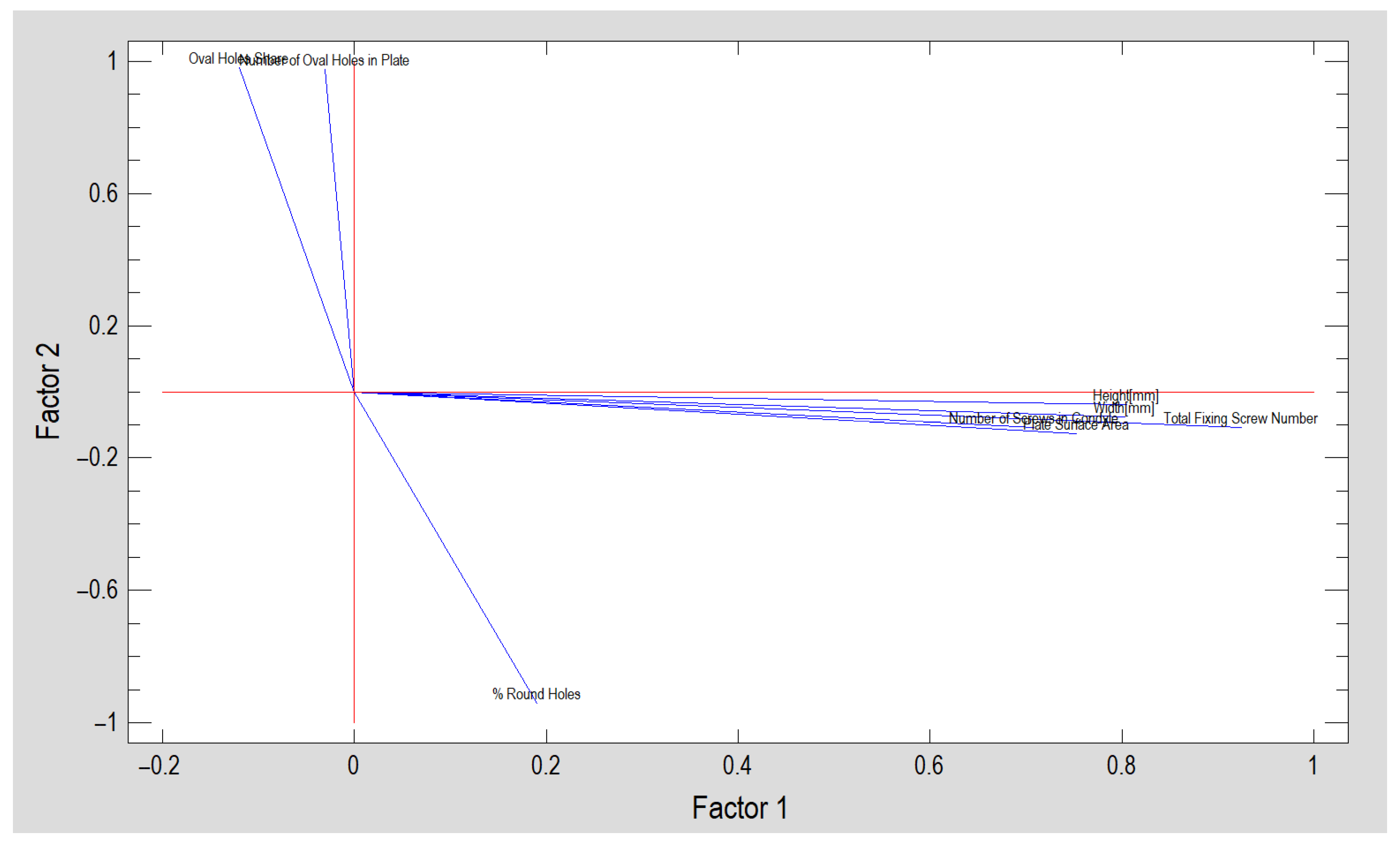
3. Results
4. Discussion
5. Conclusions
Author Contributions
Funding
Institutional Review Board Statement
Informed Consent Statement
Data Availability Statement
Conflicts of Interest
References
- Vetter, J.D.; Topazian, R.G.; Goldberg, M.H.; Smith, D.G. Facial fractures occurring in a medium-sized metropolitan area: Recent trends. Int. J. Oral Maxillofac. Surg. 1991, 20, 214–216. [Google Scholar] [CrossRef] [PubMed]
- Kozakiewicz, M.; Walczyk, A. Current Frequency of Mandibular Condylar Process Fractures. J. Clin. Med. 2023, 12, 1394. [Google Scholar] [CrossRef]
- Bielecki-Kowalski, B.; Kozakiewicz, M. Clinico-anatomical classification of the processus condylaris mandibulae for traumatological purposes. Ann Anat. 2021, 234, 151616. [Google Scholar] [CrossRef] [PubMed]
- Stephenson, K.L.; Graham, W.C. The use of the Kirschner pin in fractures of the condyle. Plast Reconstr. Surg. 1952, 10, 19–23. [Google Scholar]
- Robinson, M.; Yoon, C. New onlay-inlay metal splint for immobilization of mandibular subcondylar fracture. Report of twenty-six cases. Am. J. Surg. 1960, 100, 845–849. [Google Scholar] [CrossRef] [PubMed]
- Korzon, T. New surgical treatment of mandibular condylar process fractures. Pol. Tyg. Lek. 1970, 25, 1391–1394. [Google Scholar]
- Gibson, T.; Allan, I.M. A removable wire suture for internal fixation of mandibular fractures. Br. J. Plast Surg. 1956, 9, 117–124. [Google Scholar] [CrossRef]
- Peters, R.A.; Caldwell, J.B.; Olsen, T.W. A technique for open reduction of subcondylar fractures. Oral Surg. Oral Med. Oral Pathol. 1976, 41, 273–280. [Google Scholar] [CrossRef]
- Sazama, L. Wire osteosynthesis for complete fractures. Stomatol. Vestn. 1951, 17, 4–8. [Google Scholar]
- Smith, A.E.; Robinson, M. Individually constructed stainless steel bone onlay splint for immobilization of proximal fragment in fractures of the angle of the mandible. J. Oral Surg. 1954, 12, 170–178. [Google Scholar]
- Smith, A.E.; Robinson, M. Stainless steel bone onlay splints for the immobilization of displaced condylar fractures; a new technic: Report of three cases, one of ten years’ duration. J. Oral Surg. 1957, 15, 164–172. [Google Scholar] [PubMed]
- Oikarinen, K.; Ignatius, E.; Silvennoinen, U. Treatment of mandibular fractures in the 1980s. J. Craniomaxillofac. Surg. 1993, 21, 245–250. [Google Scholar] [CrossRef] [PubMed]
- Rowe, N.L.; Killey, H.C. Fractures of the Facial Skeleton, 2nd ed.; E. & S. Livingstone: Edinburgh, UK, 1968; pp. 137–172. ISBN 9781119967668. [Google Scholar]
- Spiessl, B. New Concepts in Maxillofacial Bone Surgery; Springer: New York, NY, USA, 1976; ISBN 10 3642664865. [Google Scholar]
- Champy, M.; Lodde, J.P.; Schmitt, R.; Jaeger, J.H.; Muster, D. Mandibular osteosynthesis by miniature screwed plates via a buccal approach. J. Maxillofac. Surg. 1978, 6, 14–21. [Google Scholar] [CrossRef]
- Luhr, H.G. Compression osteosynthesis for fractures of the edentulous mandible. Dtsch Zahnarztl Z. 1970, 25, 131. [Google Scholar] [PubMed]
- Schmidt-Hoberg, W.; Luhr, H.G. Technique and results of early functional treatment of neck fractures in the presence of concomitant mandibular body fractures. Fortschr Kiefer Gesichtschir. 1976, 21, 317–321. [Google Scholar]
- Pape, H.D.; Hauenstein, H.; Gerlach, K.L. Surgical treatment of mandible condyle fractures with miniplates: Indication-technique-initial results and limitations. Fortschr Kiefer Gesichtschir. 1980, 25, 81–83. [Google Scholar]
- Ikemura, K.; Hidaka, H.; Etoh, T.; Kabata, K. Osteosynthesis in facial bone fractures using miniplates: Clinical and experimental studies. J. Oral Maxillofac. Surg. 1988, 46, 10–14. [Google Scholar] [CrossRef]
- Cesteleyn, L.; Kovacs, B.; Bremerich, A.; Akuamoa-Boateng, E. Differential indications for the surgical management of fractures of the mandibular condyle. Acta Stomatol. Belg. 1990, 87, 167–187. [Google Scholar]
- Ellis, E., III; Dean, J. Rigid fixation of mandibular condyle fractures. Oral Surg. Oral Med. Oral Pathol. 1993, 76, 6–15. [Google Scholar] [CrossRef]
- Joos, U.; Kleinheinz, J. Therapy of condylar neck fractures. Int. J. Oral Maxillofac. Surg. 1998, 27, 247–254. [Google Scholar] [CrossRef]
- Wagner, A.; Krach, W.; Schicho, K.; Undt, G.; Ploder, O.; Ewers, R. A 3-dimensional finite-element analysis investigating the biomechanical behavior of the mandible and plate osteosynthesis in cases of fractures of the condylar process. Oral Surg. Oral Med. Oral Pathol. Oral Radiol. Endod. 2002, 94, 678–686. [Google Scholar] [CrossRef]
- Wyszyńska-Pawelec, G.; Gontarz, M.; Zapała, J.; Szuta, M. Minor salivary gland tumours of upper aerodigestive tract: A clinico-pathological study. Gastroenterol. Res. Pract. 2012, 2012, 780453. [Google Scholar] [CrossRef] [PubMed]
- Zachariades, N.; Mezitis, M.; Mourouzis, C.; Papadakis, D.; Spanou, A. Fractures of the mandibular condyle: A review of 466 cases. Literature review, reflections on treatment and proposals. J. Craniomaxillofac. Surg. 2006, 34, 421–432. [Google Scholar] [CrossRef] [PubMed]
- Bartkowski, S.B.; Zapała, J.; Szuta, M.; Podziorny, H.; Kuchta, K. General anesthesia via tracheosubmental intubation from our own experience. Aesthetic Plast Surg. 1999, 23, 292–295. [Google Scholar] [CrossRef] [PubMed]
- Cortese, A.; Borri, A.; Bergaminelli, M.; Bergaminelli, F.; Claudio, P.P. Condylar Neck and Sub-Condylar Fractures: Surgical Consideration and Evolution of the Technique with Short Follow-Up on Five Cases. Dent. J. 2020, 8, 125. [Google Scholar] [CrossRef]
- Kozakiewicz, M.; Swiniarski, J. “A” shape plate for open rigid internal fixation of mandible condyle neck fracture. J. Craniomaxillofac. Surg. 2014, 42, 730–737. [Google Scholar] [CrossRef]
- Kozakiewicz, M.; Zieliński, R.; Krasowski, M.; Okulski, J. Forces Causing One-Millimeter Displacement of Bone Fragments of Condylar Base Fractures of the Mandible after Fixation by All Available Plate Designs. Materials 2019, 12, 3122. [Google Scholar] [CrossRef]
- Sikora, M.; Chęciński, M.; Nowak, Z.; Chęcińska, K.; Olszowski, T.; Chlubek, D. The Use of Titanium 3D Mini-Plates in the Surgical Treatment of Fractures of the Mandibular Condyle: A Systematic Review and Meta-Analysis of Clinical Trials. J. Clin. Med. 2021, 10, 3604. [Google Scholar] [CrossRef]
- Sikora, M.; Chęciński, M.; Sielski, M.; Chlubek, D. The Use of 3D Titanium Miniplates in Surgical Treatment of Patients with Condylar Fractures. J. Clin. Med. 2020, 9, 2923. [Google Scholar] [CrossRef]
- Xu, X.; Zhu, F.; Yang, C.; Xu, B.; Yuan, Z.; Zhang, W.; Shi, J. OCCS Classification and Treatment Algorithm for Comminuted Mandibular Fractures Based on 109 Patients and 11 Years Experiences: A Retrospective Study. J. Clin. Med. 2022, 11, 6301. [Google Scholar] [CrossRef]
- Celegatti Filho, T.S.; Rodrigues, D.C.; Lauria, A.; Moreira, R.W.; Consani, S. Development plates for stable internal fixation: Study of mechanical resistance in simulated fractures of the mandibular condyle. J. Craniomaxillofac. Surg. 2015, 43, 158–161. [Google Scholar] [CrossRef] [PubMed]
- de Souza, G.M.; Rodrigues, D.C.; Celegatti Filho, T.S.; Moreira, R.W.F.; Falci, S.G.M. In-vitro comparison of mechanical resistance between two straight plates and a Y-plate for fixation of mandibular condyle fractures. J. Craniomaxillofac. Surg. 2018, 46, 168–172. [Google Scholar] [CrossRef] [PubMed]
- Kolsuz, N.; Atali, O.; Varol, A. Assessment of biomechanical properties of specially-designed miniplate patterns in a mandibular subcondylar fracture model with finite element analysis and a servohydraulic testing unit. Br. J. Oral Maxillofac. Surg. 2020, 58, 848–853. [Google Scholar] [CrossRef] [PubMed]
- Kumar, S.; Chugh, A.; Kaur, A.; Aparna, G.; Srivastav, S.; Gigi, P.G.; Kumar, P.; Chaudhry, K. Treatment Outcome Comparison Between two 3-Dimensional Plates (Y-Shaped Plate Versus Trapezoidal Condylar Plate) in Management of Mandible Condylar Fracture: A Randomized Control Trial. J. Maxillofac. Oral Surg. 2023, 22, 25–32. [Google Scholar] [CrossRef]
- Shamra, F.; Manjunath, K.S.; Kamath, S.; Jinu, E.; Ghorpade, B. Surgical management of medially displaced condylar neck fracture: A case report. Int. J. Appl. Dent. Sci. 2019, 5, 78–81. Available online: https://www.oraljournal.com/pdf/2019/vol5issue4/PartB/5-4-18-990.pdf (accessed on 2 July 2023).
- Woo, I.H.; Kim, J.W.; Kim, J.Y.; Yang, B.E. A New Method of Fixation with the Yang’s Keyhole Plate System for the Treatment of Mandible Fractures. J. Craniofac. Surg. 2017, 28, 508–512. [Google Scholar] [CrossRef]
- Chapman, J.R.; Harrington, R.M.; Lee, K.M.; Anderson, P.A.; Tencer, A.F.; Kowalski, D. Factors affecting the pullout strength of cancellous bone screws. J. Biomech. Eng. 1996, 118, 391–398. [Google Scholar] [CrossRef]
- ASTMF 1839-08; Standard Specification for Rigid Polyurethane Foam for Use as a Standard Material for Testing Orthopaedic Devices and Instruments. The American Society for Testing and Materials: West Conshohocken, PA, USA, 2012.
- Kozakiewicz, M. Comparison of compression screws used for mandible head fracture treatment—Experimental study. Clin. Oral Investig. 2019, 23, 4059–4066. [Google Scholar] [CrossRef]
- Assari, S.; Darvish, K.; Ilyas, A.M. Biomechanical analysis of second-generation headless compression screws. Injury 2012, 43, 1159–1165. [Google Scholar] [CrossRef]
- Baran, O.; Sagol, E.; Oflaz, H.; Sarikanat, M.; Havitcioglu, H. A biomechanical study on preloaded compression effect on headless screws. Arch. Orthop. Trauma. Surg. 2009, 129, 1601–1605. [Google Scholar] [CrossRef]
- Ramaswamy, R.; Evans, S.; Kosashvili, Y. Holding power of variable pitch screws in osteoporotic, osteopenic and normal bone: Are all screws created equal? Injury 2010, 41, 179–183. [Google Scholar] [CrossRef] [PubMed]
- Bailey, C.; Kuiper, J.; Kelly, C. Biomechanical evaluation of a new composite bioresorbable screw. J. Hand. Surg. Br. 2006, 31, 208–212. [Google Scholar] [CrossRef] [PubMed]
- Cicciù, M.; Fiorillo, L.; Herford, A.S.; Crimi, S.; Bianchi, A.; D’Amico, C.; Laino, L.; Cervino, G. Bioactive Titanium Surfaces: Interactions of Eukaryotic and Prokaryotic Cells of Nano Devices Applied to Dental Practice. Biomedicines 2019, 7, 12. [Google Scholar] [CrossRef] [PubMed]
- Kozakiewicz, M. Classification proposal for fractures of the processus condylaris mandibulae. Clin. Oral Investig. 2019, 23, 485–491. [Google Scholar] [CrossRef] [PubMed]
- Choi, B.H.; Kim, K.N.; Kim, H.J.; Kim, M.K. Evaluation of condylar neck fracture plating technique. J. Craniomaxillofac. Surg. 1999, 27, 109–112. [Google Scholar] [CrossRef] [PubMed]
- Zieliński, R.; Kozakiewicz, M.; Konieczny, B.; Krasowski, M.; Okulski, J. Mechanical Evaluation of Titanium Plates for Osteoesynthesis High Neck Condylar Fracture of Mandible. Materials 2020, 13, 592. [Google Scholar] [CrossRef]
- Kozakiewicz, M.; Zieliński, R.; Konieczny, B.; Krasowski, M.; Okulski, J. Open Rigid Internal Fixation of Low-Neck Condylar Fractures of the Mandible: Mechanical Comparison of 16 Plate Designs. Materials 2020, 13, 1953. [Google Scholar] [CrossRef]
- Choi, B.H.; Yoo, J.H. Open reduction of condylar neck fractures with exposure of the facial nerve. Oral Surg. Oral Med. Oral Pathol. Oral Radiol. Endod. 1999, 88, 292–296. [Google Scholar] [CrossRef]
- Devlin, M.F.; Hislop, W.S.; Carton, A.T.M. Open reduction and internal fixation of fractured mandibular condyles by a retromandibular approach: Surgical morbidity and informed consent. Br. J. Oral Maxillofac. Surg. 2002, 40, 23–25. [Google Scholar] [CrossRef]
- Ellis, E., III; McFadden, D.; Simon, P.; Throckmorton, G. Surgical Complications with Open Treatment of Mandibular Condylar Process Fractures. J. Oral Maxillofac. Surg. 2000, 58, 950–958. [Google Scholar] [CrossRef]
- Hyde, N.; Manisali, M.; Aghabeigi, B.; Sneddon, K.; Newman, L. The role of open reduction and internal fixation in unilateral fractures of the mandibular condyle: A prospective study. Br. J. Oral Maxillofac. Surg. 2002, 40, 19–22. [Google Scholar] [CrossRef]
- Rozeboom, A.V.J.; Dubois, L.; Bos, R.R.M.; Spijker, R.; de Lange, J. Open treatment of condylar fractures via extraoral approaches: A review of complications. J. Craniomaxillofac. Surg. 2018, 46, 1232–1240. [Google Scholar] [CrossRef] [PubMed]
- Van Hevele, J.; Nout, E. Complications of the retromandibular transparotid approach for low condylar neck and subcondylar fractures: A retrospective study. J. Korean Assoc. Oral Maxillofac. Surg. 2018, 44, 73–78. [Google Scholar] [CrossRef] [PubMed]
- Dominiak, K. Design of a Plate for Endoscopic Fixation of Mandibular Condylar Process Fractures. Ph.D. Thesis, Warsaws Medical University, Warsaw, Poland, 2023. [Google Scholar]
- Aquilina, P.; Chamoli, U.; Parr, W.C.H.; Clausen, P.D.; Wroe, S. Finite element analysis of three patterns of internal fixation of fractures of the mandibular condyle. Br. J. Oral Maxillofac. Surg. 2013, 51, 326–331. [Google Scholar] [CrossRef] [PubMed]
- Darwich, M.A.; Albogha, M.H.; Abdelmajeed, A.; Darwich, K. Assessment of the Biomechanical Performance of 5 Plating Techniques in Fixation of Mandibular Subcondylar Fracture Using Finite Element Analysis. J. Oral Maxillofac. Surg. 2016, 74, 794.e1–794.e8. [Google Scholar] [CrossRef] [PubMed]
- Alkan, A.; Metin, M.; Muğlali, M.; Ozden, B.; Celebi, N. Biomechanical comparison of plating techniques for fractures of the mandibular condyle. Br. J. Oral Maxillofac. Surg. 2007, 45, 145–149. [Google Scholar] [CrossRef]
- Ben Achour, A.; Meissner, H.; Teicher, U.; Haim, D.; Range, U.; Brosius, A.; Leonhardt, H.; Lauer, G. Biomechanical Evaluation of Mandibular Condyle Fracture Osteosynthesis Using the Rhombic Three-Dimensional Condylar Fracture Plate. J. Oral Maxillofac. Surg. 2019, 77, 1868.e1–1868.e15. [Google Scholar] [CrossRef]
- Pilling, E.; Eckelt, U.; Loukota, R.; Schneider, K.; Stadlinger, B. Comparative evaluation of ten different condylar base fracture osteosynthesis techniques. Br. J. Oral Maxillofac. Surg. 2010, 48, 527–531. [Google Scholar] [CrossRef]
- Asprino, L.; Consani, S.; de Moraes, M. A comparative biomechanical evaluation of mandibular condyle fracture plating techniques. J. Oral Maxillofac. Surg. 2006, 64, 452–456. [Google Scholar] [CrossRef]
- Haug, R.H.; Peterson, G.P.; Goltz, M. A Biomechanical Evaluation of Mandibular Condyle Fracture Plating Techniques. J. Oral Maxillofac. Surg. 2002, 60, 73–80. [Google Scholar] [CrossRef]
- Ahuja, S.A.; Galinde, J.; Asnani, U.; Mistry, Y.A. Comparative Evaluation of Clinical Outcomes Using Delta Plates and Conventional Miniplates for Internal Fixation of Mandibular Condylar Fractures in Adults. J. Oral Maxillofac. Surg. 2018, 76, 1255–1266. [Google Scholar] [CrossRef] [PubMed]
- Lechler, C.; Probst, F.; Cornelius, C.P.; Smolka, W. Open Reduction and Internal Fixation of Mandibular Condylar Base and Neck Fractures Using Strut Plates. J. Oral Maxillofac. Surg. 2018, 76, 1494–1503. [Google Scholar] [CrossRef]
- Sugiura, T.; Yamamoto, K.; Murakami, K.; Sugimura, M. A comparative evaluation of osteosynthesis with lag screws, miniplates, or Kirschner wires for mandibular condylar process fractures. J. Oral Maxillofac. Surg. 2001, 59, 1161–1170. [Google Scholar] [CrossRef] [PubMed]
- Çimen, E.; Önder, M.E.; Cambazoğlu, M.; Birant, E. Comparison of Different Fixation Types Used in Unilateral Mandibular Condylar Fractures. J. Craniofac. Surg. 2016, 27, 1277–1281. [Google Scholar] [CrossRef]
- Dogru, S.C.; Cansiz, E.; Arslan, Y.Z. Biomechanical evaluation of resorbable and titanium miniplates and of single and double miniplates for the treatment of mandibular condyle fractures. Biocybern. Biomed. Eng. 2019, 39, 709–718. [Google Scholar] [CrossRef]
- Kozakiewicz, M.; Świniarski, J. Finite Element Analysis of Newly Introduced Plates for Mandibular Condyle Neck Fracture Treatment by Open Reduction and Rigid Fixation. Dent. Med. Prob. 2017, 54, 319–326. [Google Scholar] [CrossRef]
- Senatov, F.S.; Niaza, K.V.; Zadorozhnyy, M.Y.; Maksimkin, A.V.; Kaloshkin, S.D.; Estrin, Y.Z. Mechanical properties and shape memory effect of 3D printed PLA-based porous scaffolds. J. Mech. Behav. Biomed. Mater. 2016, 57, 139–148. [Google Scholar] [CrossRef] [PubMed]
- Lin, C.; Lv, J.; Li, Y.; Zhang, F.; Liu, Y. 4D-Printed biodegradable and remotely controllable shape memory occlusion devices. Adv. Funct. Mat. 2019, 29, 1906569. [Google Scholar] [CrossRef]
- Su, J.W.; Gao, W.; Trinh, K.; Kendere, S.M.; Pulatsu, E.T.; Zhang, C.; Whittington, A.; Lin, M.; Lin, J. 4D printing of polyurethane paint-based composites. Int. J. Smart Nano Mater. 2019, 29, 237–248. [Google Scholar] [CrossRef]
- Guo, N.; Tian, J.; Wang, L.; Sun, K.; Mi, L.; Ming, H.; Zhe, Z.; Sun, F. Discussion on the possibility of multi-layer intelligent technologies to achieve the best recover of musculoskeletal injuries: Smart materials, variable structures, and intelligent therapeutic planning. Front. Bioeng. Biotechnol. 2022, 10, 1016598. [Google Scholar] [CrossRef]
- Neff, A.M.; McLeod, N.M.H.; Jung, J.P.; Reichert, C.S.; Schmidt, C. Indications for alloplastic temporomandibular joint replacement in maxillofacial trauma—An analysis of condylar trauma patients with scoping review of the literature. J. Front. Oral Maxillofac. Med. 2023, 5, 1–18. Available online: https://fomm.amegroups.org/article/view/68280 (accessed on 2 July 2023). [CrossRef]
- Wiesner, A.; Szuta, M.; Galanty, A.; Paśko, P. Optimal Dosing Regimen of Osteoporosis Drugs in Relation to Food Intake as the Key for the Enhancement of the Treatment Effectiveness—A Concise Literature Review. Foods 2021, 10, 720. [Google Scholar] [CrossRef] [PubMed]
- Pihut, M.; Szuta, M.; Ferendiuk, E.; Zeńczak-Więckiewicz, D. Differential diagnostics of pain in the course of trigeminal neuralgia and temporomandibular joint dysfunction. Biomed. Res. Int. 2014, 2014, 563786. [Google Scholar] [CrossRef]
- Borys, J.; Maciejczyk, M.; Antonowicz, B.; Sidun, J.; Świderska, M.; Zalewska, A. Free Radical Production, Inflammation and Apoptosis in Patients Treated with Titanium Mandibular Fixations-An Observational Study. Front. Immunol. 2019, 8, 2662. [Google Scholar] [CrossRef] [PubMed]
- Intravaia, J.T.; Graham, T.; Kim, H.S.; Nanda, H.S.; Kumbar, S.G.; Nukavarapu, S.P. Smart Orthopedic Biomaterials and Implants. Curr. Opin. Biomed. Eng. 2023, 25, 100439. [Google Scholar] [CrossRef]
- Pamula, E.; Cholewa-Kowalska, K.; Szuta, M.; Osyczka, A.M. Bioactive Glasses as Composite Components: Technological Advantages and Bone Tissue Engineering Applications. In Biomaterials and Stem Cells in Regenerative Medicine, 1st ed.; Ramalingam, M., Ramakrishna, S., Best, S., Eds.; CRC Press: Boca Raton, FL, USA, 2012; pp. 239–258. ISBN 9780429066658. [Google Scholar] [CrossRef]
- Sikora, M.; Baranowska-Bosiacka, I.; Łukomska, A.; Goschorska, M.; Chlubek, D. Expression of metalloproteinase 2 (MMP-2) and metalloproteinase 9 (MMP-9) in THP-1 macrophages cultured with three-dimensional titanium mini-plate systems used for surgical treatment of condylar fractures. Acta Biochim. Pol. 2019, 66, 291–298. [Google Scholar] [CrossRef]
- Available online: https://dir.indiamart.com/search.mp?ss=maxillofacial+z+plate&src=as-rcnt%7Cpos%3D1%7Ccat%3D416%7Cmcat%3D45800%7Ckwd_len%3D0&prdsrc=1&res=RC2 (accessed on 1 May 2023).
- Passi, D.; Gupta, R.; Chandra, L.; Singh, A.; Sharma, P.; Yadav, G. Newer condylar trapezoidal plate in treatment of mandibular condyle fractures: Short clinical study. Int. J. Dent. Res. 2017, 5, 52. [Google Scholar] [CrossRef]







| Name | Design Code * | Design | H (mm) | W (mm) | S (mm2) | MEF | Fmax/dL (N/mm) | |
|---|---|---|---|---|---|---|---|---|
| Grid Compression Plate | Plate 35 | ![]() | 17.3 | 9.1 | 70 | 92 | 1.0 | 0.99 ± 0.39 |
| Kolsuz’s Rectangular Plate | Plate 48 | ![]() | 11.4 | 10.1 | 49 | 67 | 1.2 | 1.187 ± 0.21 |
| Grid Plate | Plate 36 | ![]() | 19 | 9.6 | 80 | 102 | 1.4 | 1.40 ± 0.38 |
| Rectangle Plate 4 holes | Plate 32 | ![]() | 11 | 8.5 | 37 | 55 | 1.5 | 1.47 ± 0.16 |
| Delta Condylar plate 3 oval holes | Plate 37 | ![]() | 17 | 11.4 | 64 | 87 | 1.7 | 1.68 ± 0.63 |
| Kolsuz’s Triangular Plate | Plate 47 | ![]() | 14 | 10.4 | 58 | 79 | 1.7 | 1.71 ± 0.12 |
| Small Trapeze | Plate 33 | ![]() | 11.6 | 11.6 | 41 | 61 | 1.9 | 1.87 ± 0.21 |
| Small Trapeze upper hole together | Plate 34 | ![]() | 11.1 | 12.1 | 40 | 61 | 2.2 | 2.17 ± 0.32 |
| Triangle lower 2 hole medially | Plate 45 | ![]() | 18.1 | 9.8 | 67 | 90 | 2.2 | 2.24 ± 0.38 |
| Square Plate | Plate 31 | ![]() | 10 | 10 | 39 | 57 | 2.3 | 2.34 ± 0.66 |
| Triangle lower 2 hole distally | Plate 42 | ![]() | 17.8 | 10 | 67 | 90 | 2.4 | 2.41 ± 0.54 |
| Cut T-ACP | Plate 44 | ![]() | 23.6 | 9.3 | 85 | 112 | 2.9 | 2.86 ± 0.37 |
| Rectangle Plate 6 holes | Plate 38 | ![]() | 20 | 10 | 67 | 94 | 3.1 | 3.14 ± 0.63 |
| Delta Condyle Compression Plate | plate 14 | ![]() | 15.3 | 8.8 | 179 | 191 | 3.2 | 3.20 ± 1.39 |
| Patent pending small triangle | plate 11 | ![]() | 13.5 | 8 | 138 | 151 | 3.3 | 3.27 ± 0.36 |
| Inverted Y | plate 28 | ![]() | 23.6 | 11.1 | 203 | 225 | 3.4 | 3.46 ± 0.51 |
| Yang’s Keyhole Plate | Plate 46 | ![]() | 19.7 | 9,.9 | 80 | 106 | 3.,5 | 3.53 ± 0.81 |
| Cut ACP-S | plate 08 | ![]() | 14.9 | 8.1 | 165 | 179 | 3.6 | 3.60 ± 1.29 |
| XCP 3 + 5 with 2 compression holes | Plate 40 | ![]() | 20.5 | 16 | 107 | 138 | 4.0 | 4.01 ± 0.88 |
| Endo-Condyle 25-288-08-09 | plate 21 | ![]() | 22.7 | 11 | 271 | 289 | 4.1 | 4.08 ± 0.46 |
| Lambda | Plate 41 | ![]() | 25.1 | 13.3 | 72 | 106 | 4.4 | 4.37 ± 0.41 |
| Delta TriLock | plate 02 | ![]() | 15.4 | 8.8 | 174 | 187 | 4.6 | 4.62 ± 0.90 |
| TCP, trapezoid | plate 07 | ![]() | 10.4 | 11.4 | 143 | 156 | 5.0 | 4.98 ± 1.42 |
| Lambda Thinned | plate 01 | ![]() | 25.6 | 13 | 219 | 244 | 5.0 | 4.99 ± 2.46 |
| A-Shape Plate | Plate 43 | ![]() | 23.6 | 14.1 | 98 | 131 | 5.0 | 5.00 ± 0.62 |
| Trapezoidal Plate | Plate 51 | ![]() | 20 | 18 | 189 | 213 | 5.3 | 5.29 ± 0.67 |
| Strut | plate 04 | ![]() | 19 | 9.6 | 217 | 232 | 5.3 | 5.32 ± 0.47 |
| Endoscopic Retractive 9 hole | plate 16 | ![]() | 18 | 15.2 | 270 | 289 | 5.3 | 5.34 ± 0.80 |
| Trapezoid Condylar Fracture Plate | plate 24 | ![]() | 11.5 | 10.9 | 160 | 172 | 5.5 | 5.53 ± 1.35 |
| TCP, anatomical TriLock | Plate 09 | ![]() | 10.7 | 11.4 | 151 | 164 | 5.7 | 5.66 ± 1.13 |
| PC7T | Plate 49 | ![]() | 15 | 12,8 | 86 | 110 | 5.7 | 5.72 ± 1.41 |
| Y geometry | Plate 50 | ![]() | 25 | 19 | 119 | 155 | 5.8 | 5.83 ± 0.52 |
| PC5T | plate 06 | ![]() | 13.5 | 11.8 | 211 | 223 | 6.1 | 6.08 ± 1.00 |
| Delta Plate | plate 27 | ![]() | 13.7 | 11.4 | 176 | 190 | 6.2 | 6.19 ± 1.02 |
| Trapezoid Big | Plate 39 | ![]() | 20.8 | 19.4 | 131 | 165 | 6.4 | 6.44 ± 0.45 |
| Endoscopic Retractive 10 hole | plate 17 | ![]() | 21.6 | 15.3 | 290 | 311 | 7.0 | 7.03 ± 0.56 |
| PC7T modified | plate 03 | ![]() | 13.5 | 11.7 | 199 | 213 | 7.1 | 7.14 ± 0.89 |
| ACP-VT | plate 12 | ![]() | 37 | 21 | 371 | 404 | 7.4 | 7.41 ± 1.97 |
| Rhombic 3D—round holes | plate 26 | ![]() | 20 | 13 | 258 | 274 | 7.4 | 7.43 ± 0.67 |
| Rhombic 3D—oval holes | plate 05 | ![]() | 20 | 13 | 221 | 239 | 7.6 | 7.57 ± 1.60 |
| cut ACP-T | plate 29 | ![]() | 20 | 13 | 224 | 243 | 8.4 | 8.44 ± 2.25 |
| ACP-S | plate 25 | ![]() | 26 | 16.3 | 538 | 547 | 8.8 | 8.80 ± 1.14 |
| TCP, trapezoid, pre-shaped 9 | plate 15 | ![]() | 19.2 | 19.1 | 362 | 379 | 9.2 | 9.21 ± 1.77 |
| Endo-Condyle 25-283-25-91 | plate 30 | ![]() | 26.5 | 16.1 | 367 | 388 | 9.4 | 9.38 ± 2.13 |
| XCP universal 3 + 5 | plate 19 | ![]() | 22.7 | 18 | 407 | 423 | 10.2 | 10.19 ± 1.65 |
| XCP | plate 22 | ![]() | 22.7 | 18 | 392 | 408 | 11.3 | 11.31 ± 1.41 |
| XCP side-dedicated 3 + 5 | plate 18 | ![]() | 22.7 | 20 | 393 | 411 | 11.6 | 11.59 ± 4.03 |
| TCP, trapezoid TriLock 9 hole | plate 13 | ![]() | 18.1 | 18.2 | 336 | 353 | 11.8 | 11.81 ± 2.28 |
| XCP side-dedicated | plate 10 | ![]() | 22.7 | 20 | 390 | 408 | 14.3 | 14.26 ± 0.99 |
| ACP-T | plate 23 | ![]() | 30.4 | 15 | 410 | 430 | 14.6 | 14.58 ± 2.60 |
| Double Plain Plates | plate 20 | ![]() | 16.5 | 3.4 | 227 | 236 | 15.2 | 15.17 ± 2.69 |
| Name | Mean Fmax/dL | Homogenous Groups 1 |
|---|---|---|
| Grid Compression Plate | 0.99 | X |
| Kolsuz’s Rectangular Plate | 1.19 | XX |
| Grid Plate | 1.40 | XX |
| Rectangle Plate 4 holes | 1.47 | XXX |
| Delta Condylar plate 3 oval holes | 1.68 | XXX |
| Kolsuz’s Triangular Plate | 1.71 | XXX |
| Small Trapeze | 1.87 | XXXX |
| Small Trapeze upper hole together | 2.17 | XXXXX |
| Triangle lower 2 hole medially | 2.24 | XXXXXX |
| Square Plate | 2.34 | XXXXXX |
| Triangle lower 2 hole distally | 2.41 | XXXXX |
| Cut T-ACP | 2.86 | XXXXX |
| Rectangle Plate 6 holes | 3.14 | XXXXX |
| Delta Codyle Compression Plate | 3.20 | XXXXX |
| Patent pending small triangle | 3.27 | XXXXX |
| Inverted Y | 3.46 | XXXXX |
| Yang’s Keyhole Plate | 3.53 | XXXXX |
| cut ACP-S | 3.60 | XXXXX |
| XCP 3 + 5 with 2 compression holes | 4.01 | XXXXX |
| Endo-Condyle 25-288-08-09 | 4.08 | XXXXX |
| Lambda | 4.37 | XXXXX |
| Delta TriLock | 4.62 | XXXXX |
| TCP, trapezoid | 4.98 | XXXXX |
| Lambda Thinned | 4.99 | XXXX |
| A-Shape Plate | 5.00 | XXXX |
| Trapezoidal Plate | 5.29 | XXXXX |
| Strut | 5.32 | XXXXX |
| Endoscopic Retractive 9 hole | 5.34 | XXXXX |
| Trapezoid Condylar Fracture Plate | 5.53 | XXXX |
| TCP, anatomical TriLock | 5.66 | XXXXX |
| PC7T | 5.72 | XXXXX |
| Y geometry | 5.83 | XXXXX |
| PC5T | 6.08 | XXXXX |
| Delta Plate | 6.19 | XXXXXX |
| Trapezoid Big | 6.44 | XXXXX |
| Endoscopic Retractive 10 hole | 7.03 | XXXX |
| PC7T modified | 7.14 | XXXX |
| ACP-VT | 7.41 | XXXX |
| Rhombic 3D—round holes | 7.43 | XXXX |
| Rhombic 3D—oval holes | 7.57 | XXX |
| Cut ACP-T | 8.44 | XXX |
| ACP-S | 8.80 | XXX |
| TCP, trapezoid, pre-shaped 9 | 9.21 | XX |
| Endo-Condyle 25-283-25-91 | 9.38 | XX |
| XCP universal 3 + 5 | 10.2 | XX |
| XCP | 11.3 | XX |
| XCP side-dedicated 3 + 5 | 11.6 | X |
| TCP, trapezoid TriLock 9 hole | 11.8 | X |
| XCP side-dedicated | 14.3 | X |
| ACP-T | 14.6 | X |
| Double Plain Plates | 15.2 | X |
| Structural Defects | Design Advantages |
|---|---|
| Small size | Big dimensions |
| Thin arms | Bulky plates |
| Few holes | More than 6 holes |
| Oval holes | Transverse arm connector |
| Long connectors between holes | Short connectors between holes |
Disclaimer/Publisher’s Note: The statements, opinions and data contained in all publications are solely those of the individual author(s) and contributor(s) and not of MDPI and/or the editor(s). MDPI and/or the editor(s) disclaim responsibility for any injury to people or property resulting from any ideas, methods, instructions or products referred to in the content. |
© 2023 by the authors. Licensee MDPI, Basel, Switzerland. This article is an open access article distributed under the terms and conditions of the Creative Commons Attribution (CC BY) license (https://creativecommons.org/licenses/by/4.0/).
Share and Cite
Kozakiewicz, M.; Okulski, J.; Krasowski, M.; Konieczny, B.; Zieliński, R. Which of 51 Plate Designs Can Most Stably Fixate the Fragments in a Fracture of the Mandibular Condyle Base? J. Clin. Med. 2023, 12, 4508. https://doi.org/10.3390/jcm12134508
Kozakiewicz M, Okulski J, Krasowski M, Konieczny B, Zieliński R. Which of 51 Plate Designs Can Most Stably Fixate the Fragments in a Fracture of the Mandibular Condyle Base? Journal of Clinical Medicine. 2023; 12(13):4508. https://doi.org/10.3390/jcm12134508
Chicago/Turabian StyleKozakiewicz, Marcin, Jakub Okulski, Michał Krasowski, Bartłomiej Konieczny, and Rafał Zieliński. 2023. "Which of 51 Plate Designs Can Most Stably Fixate the Fragments in a Fracture of the Mandibular Condyle Base?" Journal of Clinical Medicine 12, no. 13: 4508. https://doi.org/10.3390/jcm12134508
APA StyleKozakiewicz, M., Okulski, J., Krasowski, M., Konieczny, B., & Zieliński, R. (2023). Which of 51 Plate Designs Can Most Stably Fixate the Fragments in a Fracture of the Mandibular Condyle Base? Journal of Clinical Medicine, 12(13), 4508. https://doi.org/10.3390/jcm12134508




















































