A Novel Accelerometry Method to Perioperatively Quantify Essential Tremor Based on Fahn–Tolosa–Marin Criteria
Abstract
1. Introduction
2. Materials and Methods
2.1. Study Participants
2.2. Clinical FTM Measurements
2.3. Accelerometry Measurements
2.4. Accelerometric Outcome Measures
2.5. Accelerometry-Based Scores
2.6. Statistical Analysis
3. Results
3.1. Clinical FTM Measurements
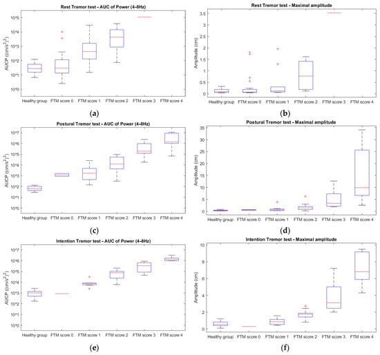
3.2. Accelerometric Outcome Measures
3.3. Accelerometry-Based Scores
4. Discussion
5. Conclusions
Author Contributions
Funding
Institutional Review Board Statement
Informed Consent Statement
Data Availability Statement
Conflicts of Interest
References
- Bhatia, K.P.; Bain, P.; Bajaj, N.; Elble, R.J.; Hallett, M.; Louis, E.D.; Raethjen, J.; Stamelou, M.; Testa, C.M.; Deuschl, G. Consensus Statement on the Classification of Tremors. from the Task Force on Tremor of the International Parkinson and Movement Disorder Society. Mov. Disord. 2018, 33, 75–87. [Google Scholar] [CrossRef]
- van der Stouwe, A.M.M.; Elting, J.W.; van der Hoeven, J.H.; van Laar, T.; Leenders, K.L.; Maurits, N.M.; Tijssen, M.A.J. How Typical Are ‘Typical’ Tremor Characteristics? Sensitivity and Specificity of Five Tremor Phenomena. Park. Relat. Disord. 2016, 30, 23–28. [Google Scholar] [CrossRef] [PubMed]
- Kremer, N.I.; Pauwels, R.W.J.; Pozzi, N.G.; Lange, F.; Roothans, J.; Volkmann, J.; Reich, M.M. Deep Brain Stimulation for Tremor: Update on Long-Term Outcomes, Target Considerations and Future Directions. J. Clin. Med. 2021, 10, 3468. [Google Scholar] [CrossRef]
- Kovács, M.; Makkos, A.; Janszky, J.; Kovács, N. Independent Validation of the Quality of Life in Essential Tremor Questionnaire (QUEST). Ideggyogy. Sz. 2017, 70, 193–202. [Google Scholar] [CrossRef] [PubMed]
- Demiryurek, B.E. Botulinum Toxin Monotherapy for the Treatment of Essential Tremor: Life Quality Effect. Clin. Neuropharmacol. 2021, 44, 1–4. [Google Scholar] [CrossRef] [PubMed]
- Børretzen, M.N.; Bjerknes, S.; Sæhle, T.; Skjelland, M.; Skogseid, I.M.; Toft, M.; Dietrichs, E. Long-Term Follow-up of Thalamic Deep Brain Stimulation for Essential Tremor—Patient Satisfaction and Mortality. BMC Neurol. 2014, 14, 120. [Google Scholar] [CrossRef]
- Zhang, K.; Bhatia, S.; Oh, M.Y.; Cohen, D.; Angle, C.; Whiting, D. Long-Term Results of Thalamic Deep Brain Stimulation for Essential Tremor: Clinical Article. J. Neurosurg. 2010, 112, 1271–1276. [Google Scholar] [CrossRef] [PubMed]
- Fahn, S.; Tolosa, E.; Marin, C. Clinical Rating Scale for Tremor. In Parkinson’s Disease and Movement Disorders; Jankovic, J., Tolosa, E., Eds.; Williams & Wilkins: Baltimore, MD, USA, 1993; pp. 271–280. ISBN 978-0683043808. [Google Scholar]
- Stacy, M.A.; Elble, R.J.; Ondo, W.G.; Wu, S.C.; Hulihan, J. Assessment of Interrater and Intrarater Reliability of the Fahn-Tolosa-Marin Tremor Rating Scale in Essential Tremor. Mov. Disord. 2007, 22, 833–838. [Google Scholar] [CrossRef]
- Krabbe, P. The Measurement of Health and Health Status: Concepts, Methods and Applications from a Multidisciplinary Perspective, 1st ed.; Academic Press: Cambridge, MA, USA, 2016; ISBN 9780128015049. [Google Scholar]
- Elble, R.; Bain, P.; João Forjaz, M.; Haubenberger, D.; Testa, C.; Goetz, C.G.; Leentjens, A.F.G.; Martinez-Martin, P.; Pavy-Le Traon, A.; Post, B.; et al. Task Force Report: Scales for Screening and Evaluating Tremor: Critique and Recommendations. Mov. Disord. 2013, 28, 1793–1800. [Google Scholar] [CrossRef]
- Mcgurrin, P.; Mcnames, J.; Wu, T.; Hallett, M.; Haubenberger, D. Quantifying Tremor in Essential Tremor Using Inertial Sensors—Validation of an Algorithm. IEEE J. Transl. Eng. Health Med. 2021, 9, 2700110. [Google Scholar] [CrossRef]
- Zajki-Zechmeister, T.; Kögl, M.; Kalsberger, K.; Franthal, S.; Homayoon, N.; Katschnig-Winter, P.; Wenzel, K.; Zajki-Zechmeister, L.; Schwingenschuh, P. Quantification of Tremor Severity with a Mobile Tremor Pen. Heliyon 2020, 6, e047. [Google Scholar] [CrossRef]
- Haubenberger, D.; Abbruzzese, G.; Bain, P.G.; Bajaj, N.; Benito-León, J.; Bhatia, K.P.; Deuschl, G.; Forjaz, M.J.; Hallett, M.; Louis, E.D.; et al. Transducer-Based Evaluation of Tremor. Mov. Disord. 2016, 31, 1327–1336. [Google Scholar] [CrossRef] [PubMed]
- Elble, R.J.; Hellriegel, H.; Raethjen, J.; Deuschl, G. Assessment of Head Tremor with Accelerometers Versus Gyroscopic Transducers. Mov. Disord. Clin. Pract. 2017, 4, 205–211. [Google Scholar] [CrossRef]
- Elble, R.J.; Ondo, W. Tremor Rating Scales and Laboratory Tools for Assessing Tremor. J. Neurol. Sci. 2022, 435I, 120202. [Google Scholar] [CrossRef]
- Wastensson, G.; Holmberg, B.; Johnels, B.; Barregard, L. Quantitative Methods for Evaluating the Efficacy of Thalamic Deep Brain Stimulation in Patients with Essential Tremor. Tremor Other Hyperkinetic Mov. 2013, 4. [Google Scholar] [CrossRef]
- Smid, A.; Elting, J.W.J.; van Dijk, J.M.C.; Otten, B.; Oterdoom, D.L.M.; Tamasi, K.; Heida, T.; van Laar, T.; Drost, G. Intraoperative Quantification of MDS-UPDRS Tremor Measurements Using 3D Accelerometry: A Pilot Study. J. Clin. Med. 2022, 11, 2275. [Google Scholar] [CrossRef]
- Karas, M.; Bai, J.; Strączkiewicz, M.; Harezlak, J.; Glynn, N.W.; Harris, T.; Zipunnikov, V.; Crainiceanu, C.; Urbanek, J.K. Accelerometry Data in Health Research: Challenges and Opportunities: Review and Examples. Stat. Biosci. 2019, 11, 210–237. [Google Scholar] [CrossRef]
- Sievänen, H.; Kujala, U.M. Accelerometry—Simple, but Challenging. Scand. J. Med. Sci. Sports 2017, 27, 574–578. [Google Scholar] [CrossRef] [PubMed]
- Jeon, H.; Kim, S.K.; Jeon, B.; Park, K.S. Distance Estimation from Acceleration for Quantitative Evaluation of Parkinson Tremor. In Proceedings of the Annual International Conference of the IEEE Engineering in Medicine and Biology Society, EMBS, Boston, MA, USA, 30 August—3 September 2011; pp. 393–396. [Google Scholar]
- Salarian, A.; Russmann, H.; Wider, C.; Burkhard, P.R.; Vingerhoets, F.J.G.; Aminian, K. Quantification of Tremor and Bradykinesia in Parkinson’s Disease Using a Novel Ambulatory Monitoring System. IEEE Trans. Biomed. Eng. 2007, 54, 313–322. [Google Scholar] [CrossRef] [PubMed]
- Koo, T.K.; Li, M.Y. A Guideline of Selecting and Reporting Intraclass Correlation Coefficients for Reliability Research. J. Chiropr. Med. 2016, 15, 155–163. [Google Scholar] [CrossRef]
- Elble, R.J.; Pullman, S.L.; Matsumoto, J.Y.; Raethjen, J.; Deuschl, G.; Tintner, R. Tremor Amplitude Is Logarithmically Related to 4- and 5-Point Tremor Rating Scales. Brain 2006, 129, 2660–2666. [Google Scholar] [CrossRef]
- McHugh, M. Interrater Reliability—The Kappa Statistic. Biochem. Med. 2012, 22, 276–282. [Google Scholar] [CrossRef]
- Ranganathan, P.; Pramesh, C.; Aggarwal, R. Common Pitfalls in Statistical Analysis: Measures of Agreement. Perspect. Clin. Res. 2017, 8, 187–191. [Google Scholar] [CrossRef]
- Hooper, J.; Taylor, R.; Pentland, B.; Whittle, I.R. Rater Reliability of Fahn’s Tremor Rating Scale in Patients with Multiple Sclerosis. Arch. Phys. Med. Rehabil. 1998, 79, 1076–1079. [Google Scholar] [CrossRef] [PubMed]
- Shah, A.; Coste, J.; Lemaire, J.J.; Taub, E.; Schüpbach, W.M.M.; Pollo, C.; Schkommodau, E.; Guzman, R.; Hemm-Ode, S. Intraoperative Acceleration Measurements to Quantify Improvement in Tremor during Deep Brain Stimulation Surgery. Med. Biol. Eng. Comput. 2017, 55, 845–858. [Google Scholar] [CrossRef]
- Papapetropoulos, S.; Gallo, B.V.; Guevara, A.; Singer, C.; Mitsi, G.; Lyssikatos, C.; Jagid, J.R. Objective Tremor Registration during DBS Surgery for Essential Tremor. Clin. Neurol. Neurosurg. 2009, 111, 376–379. [Google Scholar] [CrossRef] [PubMed]
- Journee, H.L.; Postma, A.A.; Staal, M.J. Intraoperative Neurophysiological Assessment of Disabling Symptoms in DBS Surgery. Neurophysiol. Clin. 2007, 37, 467–475. [Google Scholar] [CrossRef] [PubMed]
- Kremer, N.I.; Smid, A.; Lange, S.F.; Mateus Marçal, I.; Tamasi, K.; Marc, J.; Van Dijk, C.; Van Laar, T.; Drost, G. Supine MDS-UPDRS-III Assessment: An Explorative Study. J. Clin. Med. 2023, 12, 3108. [Google Scholar] [CrossRef]
- Smid, A.; Elting, J.; van Dijk, J.; Otten, E.; Oterdoom, D.; Tamasi, K.; Heida, T.; van Laar, T.; Drost, G. Intraoperative quantification of MDS-UPDRS tremor measurements using 3D accelerometr. Mov. Disord. 2022, 37 (Suppl. S1), 2275. Available online: https://www.mdsabstracts.org/abstract/intraoperative-quantification-of-mds-updrs-tremor-measurements-using-3d-accelerometry/ (accessed on 24 January 2023).
- Jeon, H.; Lee, W.; Park, H.; Lee, H.J.; Kim, S.K.; Kim, H.B.; Jeon, B.; Park, K.S. High-Accuracy Automatic Classification of Parkinsonian Tremor Severity Using Machine Learning Method. Physiol. Meas. 2017, 38, 1980–1999. [Google Scholar] [CrossRef]
- Chan, P.Y.; Ripin, Z.M.; Halim, S.A.; Arifin, W.N.; Yahya, A.S.; Eow, G.B.; Tan, K.; Hor, J.Y.; Wong, C.K. Motion Characteristics of Subclinical Tremors in Parkinson’s Disease and Normal Subjects. Sci. Rep. 2022, 12, 4021. [Google Scholar] [CrossRef] [PubMed]





| FTM Test | Outcome Measure | R | R2 * | Coefficient ** | 95% CI | p |
|---|---|---|---|---|---|---|
| Resting tremor | Ln (AUCP) | 0.801 | 0.642 | 8.042 | 5.716, 10.368 | <0.001 |
| Ln (amplitude) | 0.639 | 0.408 | 2.887 | 1.541, 4.233 | <0.001 | |
| Postural tremor | Ln (AUCP) | 0.851 | 0.724 | 7.765 | 2.908, 9.622 | <0.001 |
| Ln (amplitude) | 0.857 | 0.735 | 2.784 | 1.779, 3.790 | <0.001 | |
| Intention tremor | Ln (AUCP) | 0.845 | 0.714 | 5.884 | 4.444, 7.325 | <0.001 |
| Ln (amplitude) | 0.854 | 0.729 | 2.463 | 1.882, 3.044 | <0.001 |
| FTM Test | Concordance | Cohen’s κ | 95% CI | RMSE | MAE |
|---|---|---|---|---|---|
| Resting tremor | 75.0% | 0.581 | 0.470, 0.692 | 0.77 | 0.36 |
| Postural tremor | 59.1% | 0.459 | 0.334, 0.584 | 0.74 | 0.45 |
| Intention tremor | 72.7% | 0.632 | 0.516, 0.748 | 0.52 | 0.27 |
| FTM Test | Outcome Measure | ICC | 95% CI | p |
|---|---|---|---|---|
| Resting tremor | AUCP | 0.887 | 0.793, 0.938 | <0.001 |
| Amplitude | 0.772 | 0.583, 0.875 | <0.001 | |
| ACC score | 0.753 | 0.512, 0.856 | <0.001 | |
| Postural tremor | AUCP | 0.954 | 0.915, 0.975 | <0.001 |
| Amplitude | 0.936 | 0.875, 0.966 | <0.001 | |
| ACC score | 0.890 | 0.799, 0.940 | <0.001 |
Disclaimer/Publisher’s Note: The statements, opinions and data contained in all publications are solely those of the individual author(s) and contributor(s) and not of MDPI and/or the editor(s). MDPI and/or the editor(s) disclaim responsibility for any injury to people or property resulting from any ideas, methods, instructions or products referred to in the content. |
© 2023 by the authors. Licensee MDPI, Basel, Switzerland. This article is an open access article distributed under the terms and conditions of the Creative Commons Attribution (CC BY) license (https://creativecommons.org/licenses/by/4.0/).
Share and Cite
Smid, A.; Pauwels, R.W.J.; Elting, J.W.J.; Everlo, C.S.J.; van Dijk, J.M.C.; Oterdoom, D.L.M.; van Laar, T.; Tamasi, K.; van der Stouwe, A.M.M.; Drost, G. A Novel Accelerometry Method to Perioperatively Quantify Essential Tremor Based on Fahn–Tolosa–Marin Criteria. J. Clin. Med. 2023, 12, 4235. https://doi.org/10.3390/jcm12134235
Smid A, Pauwels RWJ, Elting JWJ, Everlo CSJ, van Dijk JMC, Oterdoom DLM, van Laar T, Tamasi K, van der Stouwe AMM, Drost G. A Novel Accelerometry Method to Perioperatively Quantify Essential Tremor Based on Fahn–Tolosa–Marin Criteria. Journal of Clinical Medicine. 2023; 12(13):4235. https://doi.org/10.3390/jcm12134235
Chicago/Turabian StyleSmid, Annemarie, Rik W. J. Pauwels, Jan Willem J. Elting, Cheryl S. J. Everlo, J. Marc C. van Dijk, D. L. Marinus Oterdoom, Teus van Laar, Katalin Tamasi, A. M. Madelein van der Stouwe, and Gea Drost. 2023. "A Novel Accelerometry Method to Perioperatively Quantify Essential Tremor Based on Fahn–Tolosa–Marin Criteria" Journal of Clinical Medicine 12, no. 13: 4235. https://doi.org/10.3390/jcm12134235
APA StyleSmid, A., Pauwels, R. W. J., Elting, J. W. J., Everlo, C. S. J., van Dijk, J. M. C., Oterdoom, D. L. M., van Laar, T., Tamasi, K., van der Stouwe, A. M. M., & Drost, G. (2023). A Novel Accelerometry Method to Perioperatively Quantify Essential Tremor Based on Fahn–Tolosa–Marin Criteria. Journal of Clinical Medicine, 12(13), 4235. https://doi.org/10.3390/jcm12134235

