Corneal Dendritic Cell Dynamics Are Associated with Clinical Factors in Type 1 Diabetes
Abstract
:1. Introduction
2. Materials and Methods
2.1. Study Design
2.2. Participant Demographics and Lifestyle Measures
2.3. Assessment of Neuropathy
2.4. In Vivo Corneal Confocal Microscopy
2.5. Image Selection
2.6. Cell Movement Analysis
2.7. Cell Counts and Density Calculation
2.8. Corneal Parameters
2.9. Blood Biochemistry and Metabolic Measures
2.10. Statistical Analysis
3. Results
3.1. Participant Demographics and Lifestyle Measures
3.2. Neuropathy Measures
3.3. In Vivo Corneal Confocal Microscopy Measures
3.4. Corneal Nerve Parameters
3.5. Dendritic Cell Parameters
4. Correlations
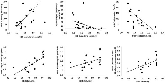
4.1. Associations between Dendritic Cell Parameters and Participant Characteristics
4.2. Associations between Dendritic Cell Parameters and Metabolic Measures in Type 1 Diabetes
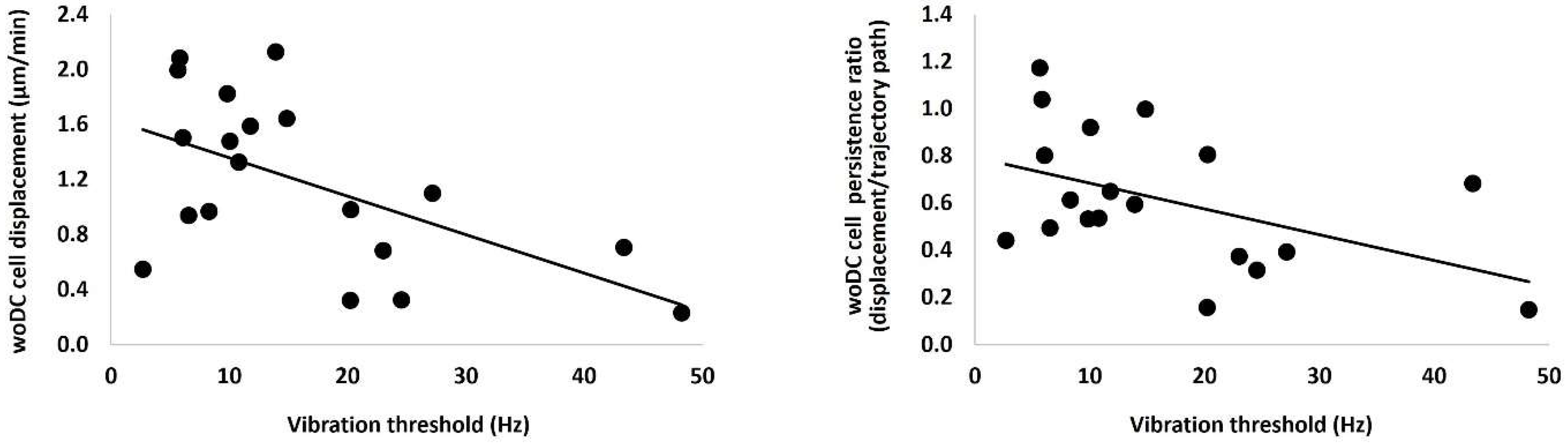
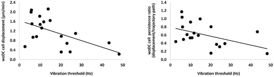
4.3. Associations between Dendritic Cell Parameters and Neuropathy Measures in Type 1 Diabetes
4.4. Associations between Dendritic Cell Parameters and Other IVCCM Measures
5. Discussion
6. Conclusions
Author Contributions
Funding
Institutional Review Board Statement
Informed Consent Statement
Data Availability Statement
Acknowledgments
Conflicts of Interest
References
- Zhivov, A.; Stave, J.; Vollmar, B.; Guthoff, R. In vivo confocal microscopic evaluation of Langerhans cell density and distribution in the normal human corneal epithelium. Graefes Arch. Clin. Exp. Ophthalmol. 2005, 243, 1056–1061. [Google Scholar] [CrossRef] [PubMed]
- Zhivov, A.; Stachs, O.; Kraak, R.; Stave, J.; Guthoff, R.F. In vivo confocal microscopy of the ocular surface. Ocul. Surf. 2006, 4, 81–93. [Google Scholar] [CrossRef]
- Kalogeropoulos, D.; Papoudou-Bai, A.; Lane, M.; Goussia, A.; Charchanti, A.; Moschos, M.M.; Kanavaros, P.; Kalogeropoulos, C. Antigen-presenting cells in ocular surface diseases. Int. Ophthalmol. 2020, 40, 1603–1618. [Google Scholar] [CrossRef] [PubMed]
- Alzahrani, Y.; Colorado, L.H.; Pritchard, N.; Efron, N. Longitudinal changes in Langerhans cell density of the cornea and conjunctiva in contact lens-induced dry eye. Clin. Exp. Optom. 2016, 100, 33–40. [Google Scholar] [CrossRef] [PubMed] [Green Version]
- Colorado, L.H.; Pritchard, N.; Alzahrani, Y.; Edwards, K.; Efron, N. Association between conjunctival goblet cells and corneal resident dendritic cell density changes in new contact lens wearers. Clin. Exp. Optom. 2020, 103, 787–791. [Google Scholar] [CrossRef] [PubMed]
- Qazi, Y.; Kheirkhah, A.; Dohlman, T.H.; Cruzat, A.; Cavalcanti, B.; Colon, C.; Dana, R.; Hamrah, P. Corneal dendritic cells as a surrogate biomarker of therapeutic efficacy in dry eye-associated corneal inflammation. Investig. Ophthalmol. Vis. Sci. 2015, 56, 291. [Google Scholar]
- Zarei-Ghanavati, M.; Mousavi, E.; Nabavi, A.; Latifi, G.; Mehrjardi, H.Z.; Mohebbi, M.; Ghassemi, H.; Mirzaie, F.; Zare, M.A. Changes in in vivo confocal microscopic findings of ocular surface squamous neoplasia during treatment with topical interferon alfa-2b. Ocul. Surf. 2018, 16, 235–241. [Google Scholar] [CrossRef]
- Pahuja, N.K.; Shetty, R.; Deshmukh, R.; Sharma, A.; Nuijts, R.M.; Jhanji, V.; Sethu, S.; Ghosh, A. In vivo confocal microscopy and tear cytokine analysis in post-LASIK ectasia. Br. J. Ophthalmol. 2017, 101, 1604–1610. [Google Scholar] [CrossRef]
- Kamel, J.T.; Zhang, A.C.; Downie, L.E. Corneal epithelial dendritic cell response as a putative marker of neuro-inflammation in small fiber neuropathy. Ocul. Immunol. Inflamm. 2020, 28, 898–907. [Google Scholar] [CrossRef]
- Shimizu, S.; Sato, S.; Taniguchi, H.; Shimizu, E.; He, J.; Hayashi, S.; Negishi, K.; Ogawa, Y.; Shimmura, S. Observation of Chronic Graft-versus-Host Disease Mouse Model Cornea with In Vivo Confocal Microscopy. Diagnostics 2021, 11, 1515. [Google Scholar] [CrossRef]
- Hori, J.; Yamaguchi, T.; Keino, H.; Hamrah, P.; Maruyama, K. Immune privilege in corneal transplantation. Prog. Retin. Eye Res. 2019, 72, 100758. [Google Scholar] [CrossRef] [PubMed]
- Chinnery, H.R.; Zhang, X.Y.; Wu, C.Y.; Downie, L.E. Corneal immune cell morphometry as an indicator of local and systemic pathology: A review. Clin. Exp. Ophthalmol. 2021, 49, 729–740. [Google Scholar] [CrossRef] [PubMed]
- Jiao, H.; Golborne, C.N.; Dando, S.J.; McMenamin, P.G.; Downie, L.E.; Chinnery, H.R. Topographical and morphological differences of corneal dendritic cells during steady state and inflammation. Ocul. Immunol. Inflamm. 2020, 28, 898–907. [Google Scholar] [CrossRef] [PubMed]
- Leppin, K.; Behrendt, A.K.; Reichard, M.; Stachs, O.; Guthoff, R.F.; Baltrusch, S.; Eule, J.C.; Vollmar, B. Diabetes mellitus leads to accumulation of dendritic cells and nerve fiber damage of the subbasal nerve plexus in the cornea. Investig. Ophthalmol. Vis. Sci. 2014, 55, 3603–3615. [Google Scholar] [CrossRef] [PubMed]
- Gao, N.; Yan, C.; Lee, P.; Sun, H.; Yu, F.S. Dendritic cell dysfunction and diabetic sensory neuropathy in the cornea. J. Clin. Investig. 2016, 126, 1998–2011. [Google Scholar] [CrossRef] [PubMed] [Green Version]
- Ferdousi, M.; Romanchuk, K.; Mah, J.K.; Virtanen, H.; Millar, C.; Malik, R.A.; Pacaud, D. Early corneal nerve fibre damage and increased Langerhans cell density in children with type 1 diabetes mellitus. Sci. Rep. 2019, 9, 8758. [Google Scholar] [CrossRef] [Green Version]
- Tavakoli, M.; Boulton, A.; N, E.; Malik, R. Increased Langerhan cell density and corneal nerve damage in diabetic patients: Role of immune mechanisms in human diabetic neuropathy. Contactlens Anterior Eye 2011, 34, 7–11. [Google Scholar] [CrossRef] [Green Version]
- D’Onofrio, L.; Kalteniece, A.; Ferdousi, M.; Azmi, S.; Petropoulos, I.N.; Ponirakis, G.; Alam, U.; Asghar, O.; Marshall, A.; Boulton, A.J. Small Nerve Fiber Damage and Langerhans Cells in Type 1 and Type 2 Diabetes and LADA Measured by Corneal Confocal Microscopy. Investig. Ophthalmol. Vis. Sci. 2021, 62, 5. [Google Scholar] [CrossRef]
- Colorado, L.H.; Edwards, K.; Chinnery, H.R.; Bazan, H.E. In vivo immune cell dynamics in the human cornea. Exp. Eye Res. 2020, 199, 108168. [Google Scholar] [CrossRef]
- Liu, J.; Zhang, X.; Cheng, Y.; Cao, X. Dendritic cell migration in inflammation and immunity. Cell. Mol. Immunol. 2021, 18, 2461–2471. [Google Scholar] [CrossRef]
- Worbs, T.; Hammerschmidt, S.I.; Foerster, R. Dendritic cell migration in health and disease. Nat. Rev. Immunol. 2017, 17, 30–48. [Google Scholar] [CrossRef] [PubMed]
- Colorado, L.H.; Dando, S.J.; Harkin, D.G.; Edwards, K. Label-free imaging of the kinetics of round-shaped immune cells in the human cornea using in vivo confocal microscopy. Clin. Exp. Ophthalmol. 2021, 49, 628–630. [Google Scholar] [CrossRef] [PubMed]
- Al Rashah, K.; Pritchard, N.; Dehghani, C.; Ruggeri, A.; Guimaraes, P.; Russell, A.; Malik, R.A.; Efron, N.; Edwards, K. Corneal nerve migration rate in a healthy control population. Optom. Vis. Sci. 2018, 95, 672–677. [Google Scholar] [CrossRef] [PubMed] [Green Version]
- Edwards, K.; Pritchard, N.; Vagenas, D.; Russell, A.; Malik, R.A.; Efron, N.J.C. Utility of corneal confocal microscopy for assessing mild diabetic neuropathy: Baseline findings of the LANDMark study. Clin. Exp. Optom. 2012, 95, 348–354. [Google Scholar] [CrossRef]
- Edwards, K.; Pritchard, N.; Poole, C.; Dehghani, C.; Al Rashah, K.; Russell, A.; Malik, R.A.; Efron, N. Development of a Novel Technique to Measure Corneal Nerve Migration Rate. Cornea 2016, 35, 700–705. [Google Scholar] [CrossRef]
- Lagali, N.S.; Badian, R.A.; Liu, X.; Feldreich, T.R.; Ärnlöv, J.; Utheim, T.P.; Dahlin, L.B.; Rolandsson, O. Dendritic cell maturation in the corneal epithelium with onset of type 2 diabetes is associated with tumor necrosis factor receptor superfamily member 9. Sci. Rep. 2018, 8, 14248. [Google Scholar] [CrossRef] [Green Version]
- Ostrovski, I.; Lovblom, L.E.; Farooqi, M.A.; Scarr, D.; Boulet, G.; Hertz, P.; Wu, T.; Halpern, E.M.; Ngo, M.; Ng, E. Reproducibility of in vivo corneal confocal microscopy using an automated analysis program for detection of diabetic sensorimotor polyneuropathy. PLoS ONE 2015, 10, e0142309. [Google Scholar] [CrossRef] [Green Version]
- Choi, K.L.; Sauder, D.N. Epidermal Langerhans cell density and contact sensitivity in young and aged BALB/c mice. Mech. Ageing Dev. 1987, 39, 69–79. [Google Scholar] [CrossRef]
- Bhushan, M.; Cumberbatch, M.; Dearman, R.; Andrew, S.; Kimber, I.; Griffiths, C. Tumour necrosis factor-α-induced migration of human Langerhans cells: The influence of ageing. Br. J. Dermatol. 2002, 146, 32–40. [Google Scholar] [CrossRef]
- Rogers, N.M.; Ferenbach, D.A.; Isenberg, J.S.; Thomson, A.W.; Hughes, J. Dendritic cells and macrophages in the kidney: A spectrum of good and evil. Nat. Rev. Nephrol. 2014, 10, 625–643. [Google Scholar] [CrossRef]
- Lehner, T. Special regulatory T cell review: The resurgence of the concept of contrasuppression in immunoregulation. Immunology 2008, 123, 40–44. [Google Scholar] [CrossRef] [PubMed]
- Hughes, A.D.; Lakkis, F.G.; Oberbarnscheidt, M.H. Four-dimensional imaging of T cells in kidney transplant rejection. J. Am. Soc. Nephrol. 2018, 29, 1596–1600. [Google Scholar] [CrossRef] [PubMed]
- Petropoulos, I.N.; Ponirakis, G.; Ferdousi, M.; Azmi, S.; Kalteniece, A.; Khan, A.; Gad, H.; Bashir, B.; Marshall, A.; Boulton, A.J.M.; et al. Corneal Confocal Microscopy: A Biomarker for Diabetic Peripheral Neuropathy. Clin. Ther. 2021, 43, 1457–1475. [Google Scholar] [CrossRef] [PubMed]
- Dehghani, C.; Frost, S.; Jayasena, R.; Fowler, C.; Masters, C.L.; Kanagasingam, Y.; Jiao, H.; Lim, J.K.H.; Chinnery, H.R.; Downie, L.E. Morphometric Changes to Corneal Dendritic Cells in Individuals with Mild Cognitive Impairment. Front. Neurosci. 2020, 14, 556137. [Google Scholar] [CrossRef] [PubMed]
- Colorado, L.H.; Markoulli, M.; Edwards, K. The Relationship between Corneal Dendritic Cells, Corneal Nerve Morphology and Tear Inflammatory Mediators and Neuropeptides in Healthy Individuals. Curr. Eye Res. 2019, 44, 840–848. [Google Scholar] [CrossRef] [Green Version]




| Type 1 Diabetes (n = 20) | Controls (n = 10) | p | |
|---|---|---|---|
| Participant Characteristics | |||
| Demographic and lifestyle measures | |||
| Age (years) | 55.0 ± 11.0 | 55.0 ± 17.0 | 0.94 |
| Sex | 10/10 | 5/5 | 1.00 |
| Height (cm) | 171.6 ± 11.3 | 167.1 ± 7.1 | 0.26 * |
| Weight (kg) | 85.0 ± 17.6 | 74.2 ± 10.0 | 0.08 |
| BMI | 28.9 ± 5.0 | 26.6 ± 3.4 | 0.21 |
| Current smoker (Y/N) | 0/10 | 3/17 | 0.53 |
| Alcohol (units/week) | 9 ± 14 | 4 ± 6 | 0.25 * |
| Duration of diabetes (yrs) | 29 ± 14 | - | - |
| Neuropathy measures | |||
| Diabetic neuropathy symptom score (0–4) | 0.9 ± 1.2 | 0.0 ± 0.0 | <0.01 * |
| Neuropathy disability score (0–10) | 2.9 ± 3.2 | 0.5 ± 0.7 | <0.01 * |
| Peroneal nerve conduction velocity (m/s) | 41.2 ± 6.1 | - | |
| Quantitative sensory tests | |||
| Cold pain threshold (°C) | 6.1 ± 7.8 | - | - |
| Warm pain threshold (°C) | 48.7 ± 2.0 | - | - |
| Vibration threshold (Hz) | 16.5 ± 12.4 | - | - |
| Biochemistry measures | |||
| HbA1C (%) | 8.1 ± 1.0 | - | - |
| HbA1C (mmol/mol) | 65.2 ± 11.1 | - | - |
| Creatinine (mmol/L) | 7.2 ± 4.3 | - | - |
| Albumin (mg/L) | 22.53 ± 55.95 | - | - |
| Albumin-to-creatinine ratio (mg/mmol) | 3.26 ± 7.07 | - | - |
| eGFR (mL/min) | 78.84 ± 12.63 | - | - |
| Total cholesterol (mmol/L) | 5.09 ± 0.81 | - | - |
| HDL (mmol/L) | 1.58 ± 0.45 | - | - |
| LDL (mmol/L) | 3.01 ± 0.64 | - | - |
| Triglycerides (mmol/L) | 1.13 ± 0.51 | - | - |
| IVCCM Measures | Type 1 Diabetes (n = 20) | Controls (n = 10) | p |
|---|---|---|---|
| Corneal nerve parameters (central cornea) | |||
| CNBD (no./mm2) | 25.21 ± 15.59 | 34.77 ± 16.48 | 0.24 |
| CNFL (mm/mm2) | 15.32 ± 3.50 | 18.05 ± 3.54 | 0.13 |
| CNMR (μm/week) | 37.89 ± 14.92 | 39.24 ± 12.62 | 0.83 |
| Dendritic cell parameters (whorl region) | |||
| Corneal immune cell density | |||
| woDCs (cell/mm2) | 115 ± 150 | 85 ± 106 | 0.53 * |
| wDCs (cell/mm2) | 13 ± 13 | 4 ± 4 | 0.02 * |
| Round-shaped cells (cell/mm2) | 24 ± 37 | 30 ± 52 | 0.72 * |
| Dynamics of cells without dendrites | |||
| Displacement speed (μm/min) | 1.1 ± 0.6 | 0.9 ± 0.5 | 0.29 * |
| Trajectory path (μm/min) | 1.9 ± 0.6 | 2.0 ± 1.0 | 0.77 * |
| Persistence (ratio) | 0.6 ± 0.3 | 0.5 ± 0.3 | 0.29 |
Publisher’s Note: MDPI stays neutral with regard to jurisdictional claims in published maps and institutional affiliations. |
© 2022 by the authors. Licensee MDPI, Basel, Switzerland. This article is an open access article distributed under the terms and conditions of the Creative Commons Attribution (CC BY) license (https://creativecommons.org/licenses/by/4.0/).
Share and Cite
Colorado, L.H.; Beecher, L.; Pritchard, N.; Al Rashah, K.; Dehghani, C.; Russell, A.; Malik, R.A.; Efron, N.; Edwards, K. Corneal Dendritic Cell Dynamics Are Associated with Clinical Factors in Type 1 Diabetes. J. Clin. Med. 2022, 11, 2611. https://doi.org/10.3390/jcm11092611
Colorado LH, Beecher L, Pritchard N, Al Rashah K, Dehghani C, Russell A, Malik RA, Efron N, Edwards K. Corneal Dendritic Cell Dynamics Are Associated with Clinical Factors in Type 1 Diabetes. Journal of Clinical Medicine. 2022; 11(9):2611. https://doi.org/10.3390/jcm11092611
Chicago/Turabian StyleColorado, Luisa H., Lauren Beecher, Nicola Pritchard, Khaled Al Rashah, Cirous Dehghani, Anthony Russell, Rayaz A. Malik, Nathan Efron, and Katie Edwards. 2022. "Corneal Dendritic Cell Dynamics Are Associated with Clinical Factors in Type 1 Diabetes" Journal of Clinical Medicine 11, no. 9: 2611. https://doi.org/10.3390/jcm11092611
APA StyleColorado, L. H., Beecher, L., Pritchard, N., Al Rashah, K., Dehghani, C., Russell, A., Malik, R. A., Efron, N., & Edwards, K. (2022). Corneal Dendritic Cell Dynamics Are Associated with Clinical Factors in Type 1 Diabetes. Journal of Clinical Medicine, 11(9), 2611. https://doi.org/10.3390/jcm11092611

