Patients Hospitalized for Ischemic Stroke and Intracerebral Hemorrhage in France: Time Trends (2008–2019), In-Hospital Outcomes, Age and Sex Differences
Abstract
:1. Introduction
2. Methods
2.1. Data Sources
2.2. Stroke Definition
2.3. Population Selection
2.4. Data Collection
2.5. Statistical Analyses
2.6. Ethical Approval and Data Availability
3. Results
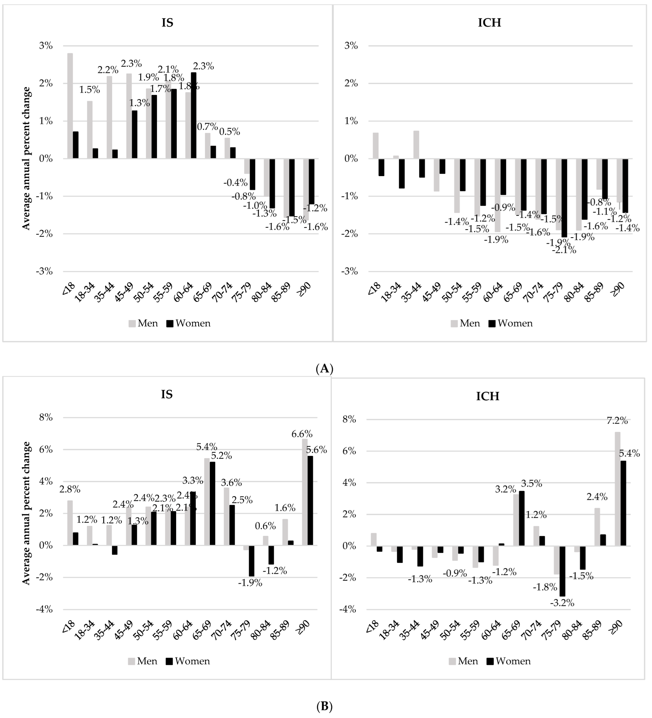
3.1. Epidemiology of Hospitalized Stroke Patients
3.2. Acute Care and In-Hospital Case Fatality Rates
4. Discussion
5. Conclusions
Supplementary Materials
Author Contributions
Funding
Institutional Review Board Statement
Informed Consent Statement
Data Availability Statement
Conflicts of Interest
References
- Feigin, V.L.; Stark, A.B.; Johnson, C.O.; Roth, A.G.; Bisignano, C.; Abady, G.G.; Abbasifard, M.; Abbasi-Kangevari, M.; Abd-Allah, F.; Abedi, V.; et al. Global, regional, and national burden of stroke and its risk factors, 1990–2019: A systematic analysis for the Global Burden of Disease Study 2019. Lancet Neurol. 2021, 20, 795–820. [Google Scholar] [CrossRef]
- Li, L.; Scott, C.A.; Rothwell, P.M. Trends in Stroke Incidence in High-Income Countries in the 21st Century: Population-Based Study and Systematic Review. Stroke 2020, 51, 1372–1380. [Google Scholar] [CrossRef] [PubMed] [Green Version]
- Anderlini, D.; Wallis, G.; Marinovic, W. Incidence of Hospitalization for Stroke in Queensland, Australia: Younger Adults at Risk. J. Stroke Cerebrovasc. Dis. 2020, 29, 104797. [Google Scholar] [CrossRef] [PubMed]
- Béjot, Y.; Delpont, B.; Giroud, M. Rising Stroke Incidence in Young Adults: More Epidemiological Evidence, More Questions to Be Answered. J. Am. Heart Assoc. 2016, 5, e003661. [Google Scholar] [CrossRef] [PubMed] [Green Version]
- Béjot, Y.; Duloquin, G.; Thomas, Q.; Mohr, S.; Garnier, L.; Graber, M.; Giroud, M. Temporal Trends in the Incidence of Ischemic Stroke in Young Adults: Dijon Stroke Registry. Neuroepidemiology 2021, 55, 239–244. [Google Scholar] [CrossRef]
- Ekker, M.S.; Verhoeven, J.I.; Vaartjes, I.; van Nieuwenhuizen, K.M.; Klijn, C.J.M.; de Leeuw, F.E. Stroke incidence in young adults according to age, subtype, sex, and time trends. Neurology 2019, 92, e2444–e2454. [Google Scholar] [CrossRef]
- Joundi., R.A.; Smith, E.E.; Yu, A.Y.; Rashid, M.; Fang, J.; Kapral, M.K. Temporal and Age-Specific Trends in Acute Stroke Incidence: A 15-Year Population-Based Study of Administrative Data in Ontario, Canada. Can. J. Neurol. Sci. 2021, 48, 685–689. [Google Scholar] [CrossRef]
- Lecoffre, C.; de Peretti, C.; Gabet, A.; Grimaud, O.; Woimant, F.; Giroud, M.; Béjot, Y.; Olié, V. National Trends in Patients Hospitalized for Stroke and Stroke Mortality in France, 2008 to 2014. Stroke 2017, 48, 2939–2945. [Google Scholar] [CrossRef] [PubMed]
- Skajaa, N.; Adelborg, K.; Horváth-Puhó, E.; Rothman, K.J.; Henderson, V.W.; Thygesen, L.C.; Sørensen, H.T. Nationwide Trends in Incidence and Mortality of Stroke Among Younger and Older Adults in Denmark. Neurology 2021, 96, e1711–e1723. [Google Scholar] [CrossRef] [PubMed]
- Khan, S.U.; Khan, M.Z.; Mamas, M.A.; Rashid, M.; Blankstein, R.; Virani, S.S.; Johansen, M.C.; Shapiro, M.D.; Blaha, M.J.; Cainzos-Achirica, M.; et al. Clinical and Economic Burden of Stroke Among Young, Midlife, and Older Adults in the United States, 2002–2017. Mayo Clin. Proc. Innov. Qual. Outcomes 2021, 5, 431–441. [Google Scholar] [CrossRef]
- King, D.; Wittenberg, R.; Patel, A.; Quayyum, Z.; Berdunov, V.; Knapp, M. The future incidence, prevalence and costs of stroke in the UK. Age Ageing 2020, 49, 277–282. [Google Scholar] [CrossRef] [PubMed]
- Ovbiagele, B.; Goldstein, L.B.; Higashida, R.T.; Howard, V.J.; Johnston, S.C.; Khavjou, O.A.; Lackland, D.T.; Lichtman, J.H.; Mohl, S.; Sacco, R.L.; et al. Forecasting the future of stroke in the United States: A policy statement from the American Heart Association and American Stroke Association. Stroke 2013, 44, 2361–2375. [Google Scholar] [CrossRef] [PubMed] [Green Version]
- Wafa, H.A.; Wolfe, C.D.; Emmett, E.; Roth, G.A.; Johnson, C.O.; Wang, Y. Burden of Stroke in Europe: Thirty-Year Projections of Incidence, Prevalence, Deaths, and Disability-Adjusted Life Years. Stroke 2020, 51, 2418–2427. [Google Scholar] [CrossRef]
- Béjot, Y.; Bailly, H.; Graber, M.; Garnier, L.; Laville, A.; Dubourget, L.; Mielle, N.; Chevalier, C.; Durier, J.; Giroud, M. Impact of the Ageing Population on the Burden of Stroke: The Dijon Stroke Registry. Neuroepidemiology 2019, 52, 78–85. [Google Scholar] [CrossRef] [PubMed]
- Tuppin, P.; Rudant, J.; Constantinou, P.; Gastaldi-Ménager, C.; Rachas, A.; de Roquefeuil, L.; Maura, G.; Caillol, H.; Tajahmady, A.; Coste, J.; et al. Value of a national administrative database to guide public decisions: From the systeme national d’information interregimes de l’Assurance Maladie (SNIIRAM) to the systeme national des donnees de sante (SNDS) in France. Rev. Epidemiol. Sante Publique 2017, 65, S149–S167. [Google Scholar] [CrossRef] [PubMed]
- Ovbiagele, B.; Goldstein, L.B.; Higashida, R.T.; Howard, V.J.; Johnston, S.C.; Khavjou, O.A.; Lackland, D.T.; Lichtman, J.H.; Mohl, S.; Sacco, R.L.; et al. Updating and validating the Charlson comorbidity index and score for risk adjustment in hospital discharge abstracts using data from 6 countries. Am. J. Epidemiol. 2011, 173, 676–682. [Google Scholar] [CrossRef] [Green Version]
- Maaijwee, N.A.M.M.; Rutten-Jacobs, L.C.A.; Schaapsmeerders, P.; Van Dijk, E.J.; De Leeuw, F.-E. Ischaemic stroke in young adults: Risk factors and long-term consequences. Nat. Rev. Neurol. 2014, 10, 315–325. [Google Scholar] [CrossRef] [PubMed]
- Putaala, J.; Metso, A.J.; Metso, T.M.; Konkola, N.; Kraemer, Y.; Haapaniemi, E.; Kaste, M.; Tatlisumak, T. Analysis of 1008 consecutive patients aged 15 to 49 with first-ever ischemic stroke: The Helsinki young stroke registry. Stroke 2009, 40, 1195–1203. [Google Scholar] [CrossRef] [Green Version]
- Aigner, A.; Grittner, U.; Rolfs, A.; Norrving, B.; Siegerink, B.; Busch, M.A. Contribution of Established Stroke Risk Factors to the Burden of Stroke in Young Adults. Stroke 2017, 48, 1744–1751. [Google Scholar] [CrossRef] [PubMed]
- Kivioja, R.; Pietilä, A.; Martinez-Majander, N.; Gordin, D.; Havulinna, A.S.; Salomaa, V.; Aarnio, K.; Curtze, S.; Leiviskä, J.; Rodríguez-Pardo, J.; et al. Risk Factors for Early-Onset Ischemic Stroke: A Case-Control Study. J. Am. Heart Assoc. 2018, 7, e009774. [Google Scholar] [CrossRef] [PubMed] [Green Version]
- Boot, E.; Ekker, M.S.; Putaala, J.; Kittner, S.; De Leeuw, F.-E.; Tuladhar, A.M. Ischaemic stroke in young adults: A global perspective. J. Neurol. Neurosurg. Psychiatry 2020, 91, 411–417. [Google Scholar] [CrossRef] [PubMed] [Green Version]
- Ekker, M.S.; Boot, E.M.; Singhal, A.B.; Tan, K.S.; Debette, S.; Tuladhar, A.M.; de Leeuw, F.-E. Epidemiology, aetiology, and management of ischaemic stroke in young adults. Lancet Neurol. 2018, 17, 790–801. [Google Scholar] [CrossRef]
- George, M.G. Risk Factors for Ischemic Stroke in Younger Adults: A Focused Update. Stroke 2020, 51, 729–735. [Google Scholar] [CrossRef] [PubMed]
- George, M.G.; Tong, X.; Bowman, B.A. Prevalence of Cardiovascular Risk Factors and Strokes in Younger Adults. JAMA Neurol. 2017, 74, 695–703. [Google Scholar] [CrossRef]
- Vallée, A.; Gabet, A.; Grave, C.; Sorbets, E.; Blacher, J.; Olié, V. Patterns of hypertension management in France in 2015: The ESTEBAN survey. J. Clin. Hypertens. 2020, 22, 663–672. [Google Scholar] [CrossRef] [PubMed] [Green Version]
- Lailler, G.; Piffaretti, C.; Fuentes, S.; Nabe, H.D.; Oleko, A.; Cosson, E.; Fosse-Edorh, S. Prevalence of prediabetes and undiagnosed type 2 diabetes in France: Results from the national survey ESTEBAN, 2014–2016. Diabetes Res. Clin. Pract. 2020, 165, 108252. [Google Scholar] [CrossRef] [PubMed]
- Fuentes, S.; Mandereau-Bruno, L.; Regnault, N.; Bernillon, P.; Bonaldi, C.; Cosson, E.; Fosse-Edorh, S. Is the type 2 diabetes epidemic plateauing in France? A nationwide population-based study. Diabetes Metab. 2020, 46, 472–479. [Google Scholar] [CrossRef] [PubMed]
- Andler, R.; Guignard, R.; Spilka, S.; Le Nézet, O.; Pasquereau, A.; Richard, J.-B.; Nguyen-Thanh, V. Smoking and vaping in France. Rev. Mal. Respir. 2018, 35, 673–685. [Google Scholar] [CrossRef]
- Verdot, C.; Torres, M.; Salanave, B.; Deschamps, V. Corpulence des enfants et des adultes en France métropolitaine en 2015. Résultats de l’étude Esteban et évolution depuis 2006. Bull. Epidémiol. Hebd. 2017, 13, 234–241. Available online: http://invs.santepubliquefrance.fr/beh/2017/13/2017_13_1.html (accessed on 9 December 2021).
- The French Monitoring Centre for Drugs and Drug Addiction. 2019. Available online: https://www.ofdt.fr/BDD/publications/docs/SummaryDDAF2019.pdf (accessed on 9 December 2021).
- Antoine, J.; Berndt, N.; Astudillo, M.; Cairns, D.; Jahr, S.; Jones, A.; Kuijpers, W.; Llorens, N.; Lyons, S.; Maffli, E.; et al. Cocaine treatment demands in 10 western European countries: Observed trends between 2011 and 2018. Addiction 2021, 116, 1131–1143. [Google Scholar] [CrossRef] [PubMed]
- Madsen, T.E.; Khoury, J.C.; Leppert, M.; Alwell, K.; Moomaw, C.J.; Sucharew, H.; Woo, D.; Ferioli, S.; Martini, S.; Adeoye, O.; et al. Temporal Trends in Stroke Incidence Over Time by Sex and Age in the GCNKSS. Stroke 2020, 51, 1070–1076. [Google Scholar] [CrossRef] [PubMed]
- The French Monitoring Centre for Drugs and Drug Addiction. 2017. Available online: https://www.ofdt.fr/BDD/publications/docs/eftxfbx3.pdf (accessed on 9 December 2021).
- Meza, H.T.; Roy, J.A.; Lázaro, C.P.; Cardiel, M.B.; González, O.A.; Juste, C.T.; Quintana, N.H.; Lahoz, L.J.; Muñoz, A.G.; Morer, I.C.; et al. Epidemiology and characteristics of ischaemic stroke in young adults in Aragon. Neurologia 2021. [Google Scholar] [CrossRef]
- Ferro, J.M.; Massaro, A.R.; Mas, J.L. Aetiological diagnosis of ischaemic stroke in young adults. Lancet Neurol. 2010, 9, 1085–1096. [Google Scholar] [CrossRef]
- Singhal, A.B.; Biller, J.; Elkind, M.S.; Fullerton, H.; Jauch, E.C.; Kittner, S.J.; Levine, D.A.; Levine, S.R. Recognition and management of stroke in young adults and adolescents. Neurology 2013, 81, 1089–1097. [Google Scholar] [CrossRef] [PubMed] [Green Version]
- Tibæk, M.; Dehlendorff, C.; Jørgensen, H.S.; Forchhammer, H.B.; Johnsen, S.P.; Kammersgaard, L.P. Increasing Incidence of Hospitalization for Stroke and Transient Ischemic Attack in Young Adults: A Registry-Based Study. J. Am. Heart Assoc. 2016, 5, e003158. [Google Scholar] [CrossRef] [Green Version]
- Koton, S.; Sang, Y.; Schneider, A.L.C.; Rosamond, W.D.; Gottesman, R.F.; Coresh, J. Trends in Stroke Incidence Rates in Older US Adults: An Update from the Atherosclerosis Risk in Communities (ARIC) Cohort Study. JAMA Neurol. 2020, 77, 109–113. [Google Scholar] [CrossRef]
- Béjot, Y. Aging population and stroke: Red flag. Rev. Neurol. 2020, 176, 751–753. [Google Scholar] [CrossRef]
- Béjot, Y.; Yaffe, K. Ageing Population: A Neurological Challenge. Neuroepidemiology 2019, 52, 76–77. [Google Scholar] [CrossRef]
- Guéniat, J.; Brenière, C.; Graber, M.; Garnier, L.; Mohr, S.; Giroud, M.; Delpont, B.; Blanc-Labarre, C.; Durier, J.; Bejot, Y. Increasing Burden of Stroke: The Dijon Stroke Registry (1987–2012). Neuroepidemiology 2018, 50, 47–56. [Google Scholar] [CrossRef]
- Ruff, C.T.; Giugliano, R.P.; Braunwald, E.; Hoffman, E.B.; Deenadayalu, N.; Ezekowitz, M.D.; Camm, A.J.; Weitz, J.I.; Lewis, B.S.; Parkhomenko, A.; et al. Comparison of the efficacy and safety of new oral anticoagulants with warfarin in patients with atrial fibrillation: A meta-analysis of randomised trials. Lancet 2014, 383, 955–962. [Google Scholar] [CrossRef]
- Roth, G.A.; Forouzanfar, M.H.; Moran, A.E.; Barber, R.; Nguyen, G.; Feigin, V.L.; Naghavi, M.; Mensah, G.A.; Murray, C.J. Demographic and epidemiologic drivers of global cardiovascular mortality. N. Engl. J. Med. 2015, 372, 1333–1341. [Google Scholar] [CrossRef] [Green Version]
- Vyas, M.V.; Silver, F.L.; Austin, P.C.; Yu, A.Y.; Pequeno, P.; Fang, J.; Laupacis, A.; Kapral, M.K. Stroke Incidence by Sex Across the Lifespan. Stroke 2021, 52, 447–451. [Google Scholar] [CrossRef] [PubMed]
- Leppert, M.H.; Ho, P.M.; Burke, J.; Madsen, T.E.; Kleindorfer, D.; Sillau, S.; Daugherty, S.; Bradley, C.J.; Poisson, S.N. Young Women Had More Strokes Than Young Men in a Large, United States Claims Sample. Stroke 2020, 51, 3352–3355. [Google Scholar] [CrossRef] [PubMed]
- Ekker, M.S.; De Leeuw, F.-E. Higher Incidence of Ischemic Stroke in Young Women Than in Young Men: Mind the Gap. Stroke 2020, 51, 3195–3196. [Google Scholar] [CrossRef]
- Czernichow, S.; Renuy, A.; Rives-Lange, C.; Carette, C.; Airagnes, G.; Wiernik, E.; Ozguler, A.; Kab, S.; Goldberg, M.; Zins, M.; et al. Evolution of the prevalence of obesity in the adult population in France, 2013–2016: The Constances study. Sci. Rep. 2021, 11, 14152. [Google Scholar] [CrossRef]
- Istvan, M.; Lecoffre, C.; Bayat, S.; Bejot, Y.; Le Strat, Y.; De Peretti, C.; Gao, F.; Olié, V.; Grimaud, O. What is the evolution of stroke unit’s accessibility in metropolitan France from 2009 to 2014? A trend analysis of over 600,000 patients using national hospital databases. BMJ Open 2018, 8, e023599. [Google Scholar] [CrossRef] [Green Version]
- Giroud, M.; Hommel, M.; Benzenine, E.; Fauconnier, J.; Bejot, Y.; Quantin, C. Positive Predictive Value of French Hospitalization Discharge Codes for Stroke and Transient Ischemic Attack. Eur. Neurol. 2015, 74, 92–99. [Google Scholar] [CrossRef]
- Gabet, A.; Grave, C.; Tuppin, P.; Chatignoux, E.; Béjot, Y.; Olié, V. Impact of the COVID-19 pandemic and a national lockdown on hospitalizations for stroke and related 30-day mortality in France: A nationwide observational study. Eur. J. Neurol. 2021, 28, 3279–3288. [Google Scholar] [CrossRef]




| Ischemic Stroke | Intracerebral Hemorrhage | |||||
|---|---|---|---|---|---|---|
| All Sex | Men | Women | All Sex | Men | Women | |
| N | 97,319 | 50,503 | 46,816 | 18,722 | 9703 | 9019 |
| Women, % | 48.1 | 0.0 | 100.0 | 48.2 | 0.0 | 100.0 |
| Age, mean (SD) | 74.2 (14.5) | 71.1 (13.8) | 77.7 (14.5) | 72.3 (16.3) | 69.5 (16.3) | 75.4 (15.8) |
| Age, median | 77 | 72 | 81 | 76 | 72 | 80 |
| Age groups, % | ||||||
| <18 | 0.2 | 0.2 | 0.2 | 0.9 | 1.0 | 0.7 |
| 18–34 | 1.2 | 1.0 | 1.4 | 2.3 | 2.7 | 1.9 |
| 35–44 | 2.4 | 2.6 | 2.1 | 3.2 | 3.8 | 2.6 |
| 44–54 | 6.5 | 8.3 | 4.5 | 7.3 | 8.8 | 5.6 |
| 55–64 | 12.8 | 17.3 | 8.0 | 12.4 | 15.3 | 9.2 |
| 65–74 | 22.0 | 26.8 | 16.7 | 21.4 | 24.9 | 17.7 |
| 75–84 | 27.0 | 26.2 | 27.9 | 27.7 | 26.3 | 29.1 |
| ≥85 | 28.0 | 17.7 | 39.3 | 24.9 | 17.2 | 33.2 |
| Charlson index score (comorbidities), % | ||||||
| 0 | 34.3 | 35.4 | 33.0 | 39.1 | 37.2 | 41.3 |
| 1 | 4.4 | 4.9 | 3.9 | 3.4 | 3.8 | 3.0 |
| 2 | 41.2 | 39.6 | 42.9 | 40.0 | 39.7 | 40.3 |
| 3 | 6.5 | 6.8 | 6.1 | 5.0 | 5.8 | 4.1 |
| ≥4 | 13.7 | 13.2 | 14.1 | 12.5 | 13.5 | 11.4 |
| Stroke characteristics, management, and outcomes | ||||||
| Aphasia, % | 44.0 | 43.1 | 45.1 | 33.0 | 34.3 | 31.7 |
| Hemiplegia or paraplegia, % | 54.1 | 52.4 | 55.9 | 45.7 | 47.1 | 44.3 |
| Admission to acute stroke care unit, % | 60.8 | 65.1 | 56.2 | 40.5 | 44.0 | 36.7 |
| Admission to acute stroke care unit with intensive care, % | 52.7 | 56.6 | 48.4 | 34.1 | 37.6 | 30.4 |
| Admission to intensive care unit †, % | 54.5 | 58.7 | 49.9 | 52.1 | 56.4 | 47.4 |
| Admission to geriatric unit, % | 8.66 | 5.8 | 11.8 | 8.27 | 5.9 | 10.8 |
| Length of stay, mean (SD) | 12.3 (13.2) | 12.2 (14.1) | 12.4 (12.2) | 15.2 (20.8) | 15.9 (21.4) | 14.4 (20.1) |
| Length of stay, median | 9 | 8 | 9 | 10 | 10 | 10 |
| Thrombolysis, % | 9.0 | 9.2 | 8.6 | - | - | - |
| Mechanical thrombectomy, % | 7.1 | 6.8 | 7.3 | - | - | - |
| In-hospital case fatality rates, % | 8.6 | 7.2 | 10.2 | 31.7 | 30.2 | 33.3 |
Publisher’s Note: MDPI stays neutral with regard to jurisdictional claims in published maps and institutional affiliations. |
© 2022 by the authors. Licensee MDPI, Basel, Switzerland. This article is an open access article distributed under the terms and conditions of the Creative Commons Attribution (CC BY) license (https://creativecommons.org/licenses/by/4.0/).
Share and Cite
Olié, V.; Grave, C.; Tuppin, P.; Duloquin, G.; Béjot, Y.; Gabet, A. Patients Hospitalized for Ischemic Stroke and Intracerebral Hemorrhage in France: Time Trends (2008–2019), In-Hospital Outcomes, Age and Sex Differences. J. Clin. Med. 2022, 11, 1669. https://doi.org/10.3390/jcm11061669
Olié V, Grave C, Tuppin P, Duloquin G, Béjot Y, Gabet A. Patients Hospitalized for Ischemic Stroke and Intracerebral Hemorrhage in France: Time Trends (2008–2019), In-Hospital Outcomes, Age and Sex Differences. Journal of Clinical Medicine. 2022; 11(6):1669. https://doi.org/10.3390/jcm11061669
Chicago/Turabian StyleOlié, Valérie, Clémence Grave, Philippe Tuppin, Gauthier Duloquin, Yannick Béjot, and Amélie Gabet. 2022. "Patients Hospitalized for Ischemic Stroke and Intracerebral Hemorrhage in France: Time Trends (2008–2019), In-Hospital Outcomes, Age and Sex Differences" Journal of Clinical Medicine 11, no. 6: 1669. https://doi.org/10.3390/jcm11061669
APA StyleOlié, V., Grave, C., Tuppin, P., Duloquin, G., Béjot, Y., & Gabet, A. (2022). Patients Hospitalized for Ischemic Stroke and Intracerebral Hemorrhage in France: Time Trends (2008–2019), In-Hospital Outcomes, Age and Sex Differences. Journal of Clinical Medicine, 11(6), 1669. https://doi.org/10.3390/jcm11061669

