Effect of Parathyroidectomy on Metabolic Homeostasis in Primary Hyperparathyroidism
Abstract
1. Introduction
2. Materials and Methods
2.1. Subjects
2.2. Ethics’ Statement
2.3. Biological Measurements
2.4. Statistics
3. Results
3.1. Population Baseline Characteristics
3.1.1. Effects of PTX on Phosphocalcic and General Parameters
3.1.2. Effects of PTX on Glucose Metabolism
3.1.3. Effects of PTX on Plasma Lipid Parameters
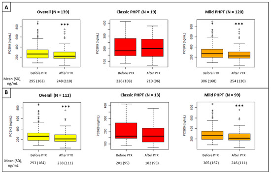
3.1.4. Effects of PTX on Plasma PCSK9 Concentrations
3.1.5. Relationships between the Parathyroidectomy and Phosphocalcic, Lipid, and Glucose Metabolism Parameters
4. Discussion
5. Conclusions
Supplementary Materials
Author Contributions
Funding
Institutional Review Board Statement
Informed Consent Statement
Data Availability Statement
Acknowledgments
Conflicts of Interest
References
- Gopinath, P.; Sadler, G.P.; Mihai, R. Persistent symptomatic improvement in the majority of patients undergoing parathyroidectomy for primary hyperparathyroidism. Langenbecks Arch. Surg. 2010, 395, 941–946. [Google Scholar] [CrossRef]
- Al Zahrani, A.; Levine, M.A. Primary hyperparathyroidism. Lancet 1997, 349, 1233–1238. [Google Scholar] [CrossRef]
- Applewhite, M.K.; Schneider, D.F. Mild primary hyperparathyroidism: A literature review. Oncologist 2014, 19, 919–929. [Google Scholar] [CrossRef] [PubMed]
- Vestergaard, P.; Mollerup, C.L.; Frøkjær, V.G.; Christiansen, P.; Blichert-Toft, M.; Mosekilde, L. Cardiovascular events before and after surgery for primary hyperparathyroidism. World J. Surg. 2003, 27, 216–222. [Google Scholar] [CrossRef] [PubMed]
- Clifton-Bligh, P.B.; Nery, M.L.; Supramaniam, R.; Reeve, T.S.; Delbridge, L.; Stiel, J.N.; McElduff, A.; Wilmshurst, E.G.; Robinson, B.G.; Fulcher, G.R.; et al. Mortality associated with primary hyperparathyroidism. Bone 2015, 74, 121–124. [Google Scholar] [CrossRef]
- Yu, N.; Donnan, P.T.; Leese, G.P. A record linkage study of outcomes in patients with mild primary hyperparathyroidism: The Parathyroid Epidemiology and Audit Research Study (PEARS): Outcomes of mild PHPT. Clin. Endocrinol. 2011, 75, 169–176. [Google Scholar] [CrossRef]
- Yu, N.; Leese, G.P.; Donnan, P.T. What predicts adverse outcomes in untreated primary hyperparathyroidism? The Parathyroid Epidemiology and Audit Research Study (PEARS). Clin. Endocrinol. 2013, 79, 27–34. [Google Scholar] [CrossRef]
- Yu, N.; Donnan, P.T.; Flynn, R.W.; Murphy, M.J.; Smith, D.; Rudman, A.; Leese, G.P. Increased mortality and morbidity in mild primary hyperparathyroid patients. The Parathyroid Epidemiology and Audit Research Study (PEARS). Clin. Endocrinol. 2010, 73, 30–34. [Google Scholar]
- Nainby-Luxmoore, J.C.; Langford, H.G.; Nelson, N.C.; Watson, R.L.; Barnes, T.Y. A case-comparison study of hypertension and hyperparathyroidism. J. Clin. Endocrinol. Metab. 1982, 55, 303–306. [Google Scholar] [CrossRef]
- Duran, C.; Sevinc, B.; Kutlu, O.; Karahan, O. Parathyroidectomy decreases insulin resistance index in patients with primary hyperparathyroidism. Indian J. Surg. 2017, 79, 101–105. [Google Scholar] [CrossRef][Green Version]
- Hagström, E.; Lundgren, E.; Lithell, H.; Berglund, L.; Ljunghall, S.; Hellman, P.; Rastad, J. Normalized dyslipidaemia after parathyroidectomy in mild primary hyperparathyroidism: Population-based study over five years. Clin. Endocrinol. 2002, 56, 253–260. [Google Scholar] [CrossRef] [PubMed]
- Bilezikian, J.P.; Brandi, M.L.; Eastell, R.; Silverberg, S.J.; Udelsman, R.; Marcocci, C.; Potts, J.T., Jr. Guidelines for the management of asymptomatic primary hyperparathyroidism: Summary statement from the Fourth International Workshop. J. Clin. Endocrinol. Metab. 2014, 99, 3561–3569. [Google Scholar] [CrossRef] [PubMed]
- Frey, S.; Mirallié, É.; Cariou, B.; Blanchard, C. Impact of parathyroidectomy on cardiovascular risk in primary hyperparathyroidism: A narrative review. Nutr. Metab. Cardiovasc. Dis. 2021, 31, 981–996. [Google Scholar] [CrossRef]
- Norenstedt, S.; Pernow, Y.; Brismar, K.; Sääf, M.; Ekip, A.; Granath, F.; Zedenius, J.; Nilsson, I.L. Primary hyperparathyroidism and metabolic risk factors, impact of parathyroidectomy and vitamin D supplementation, and results of a randomized double-blind study. Eur. J. Endocrinol. 2013, 169, 795–804. [Google Scholar] [CrossRef] [PubMed]
- Beysel, S.; Caliskan, M.; Kizilgul, M.; Apaydin, M.; Kan, S.; Ozbek, M.; Cakal, E. Parathyroidectomy improves cardiovascular risk factors in normocalcemic and hypercalcemic primary hyperparathyroidism. BMC Cardiovasc. Disord. 2019, 19, 106. [Google Scholar] [CrossRef]
- Farahnak, P.; Lärfars, G.; Sten-Linder, M.; Nilsson, I.-L. Mild primary hyperparathyroidism: Vitamin d deficiency and cardiovascular risk markers. J. Clin. Endocrinol Metab. 2011, 96, 2112–2118. [Google Scholar] [CrossRef] [PubMed]
- Bollerslev, J.; Rosen, T.; Mollerup, C.L.; Nordenström, J.; Baranowski, M.; Franco, C.; Pernow, Y.; Isaksen, G.A.; Godang, K.; Ueland, T.; et al. Effect of surgery on cardiovascular risk factors in mild primary hyperparathyroidism. J. Clin. Endocrinol. Metab. 2009, 94, 2255–2261. [Google Scholar] [CrossRef]
- Godang, K.; Lundstam, K.; Mollerup, C.; Fougner, F.; Pernow, Y.; Nordenström, J.; Rosén, T.; Jansson, S.; Hellström, M.; Bollerslev, J.; et al. The effect of surgery on fat mass, lipid and glucose metabolism in mild primary hyperparathyroidism. Endocr. Connect. 2018, 7, 941–948. [Google Scholar] [CrossRef]
- Matthews, D.R.; Hosker, J.P.; Rudenski, A.S.; Naylor, B.A.; Treacher, D.F.; Turner, R.C. Homeostasis model assessment: Insulin resistance and beta-cell function from fasting plasma glucose and insulin concentrations in man. Diabetologia 1985, 28, 412–419. [Google Scholar] [CrossRef]
- Yanai, H.; Yoshida, H. Beneficial effects of adiponectin on glucose and lipid metabolism and atherosclerotic progression: Mechanisms and perspectives. Int. J. Mol. Sci. 2019, 20, 1190. [Google Scholar] [CrossRef]
- Karras, S.; Annweiler, C.; Kiortsis, D.; Koutelidakis, I.; Kotsa, K. Improving glucose homeostasis after parathyroidectomy for normocalcemic primary hyperparathyroidism with co-existing prediabetes. Nutrients 2020, 12, 3522. [Google Scholar] [CrossRef] [PubMed]
- Cariou, B.; Le May, C.; Costet, P. Clinical aspects of PCSK9. Atherosclerosis 2011, 216, 258–265. [Google Scholar] [CrossRef]
- Cohen, J.C.; Hobbs, H.H. Sequence Variations in PCSK9, Low LDL, and Protection against Coronary Heart Disease. N. Engl. J. Med. 2006, 354, 1264–1272. [Google Scholar] [CrossRef] [PubMed]
- Sabatine, M.S.; Giugliano, R.P.; Keech, A.C.; Honarpour, N.; Wiviott, S.D.; Murphy, S.A.; Kuder, J.F.; Wang, H.; Liu, T.; Wasserman, S.M.; et al. Evolocumab and clinical outcomes in patients with cardiovascular disease. N. Engl. J. Med. 2017, 376, 1713–1722. [Google Scholar] [CrossRef] [PubMed]
- Schwartz, G.G.; Steg, P.G.; Szarek, M.; Bhatt, D.L.; Bittner, V.A.; Diaz, R.; Edelberg, J.M.; Goodman, S.G.; Hanotin, C.; Harrington, R.A.; et al. Alirocumab and cardiovascular outcomes after acute coronary syndrome. N. Engl. J. Med. 2018, 379, 2097–2107. [Google Scholar] [CrossRef]
- Trébouet, E.; Bannani, S.; Wargny, M.; Leux, C.; Caillard, C.; Kraeber-Bodéré, F.; Renaudin, K.; Chaillous, L.; Mirallié, É.; Ansquer, C. Mild sporadic primary hyperparathyroidism: High rate of multiglandular disease is associated with lower surgical cure rate. Langenbecks Arch. Surg. 2019, 404, 431–438. [Google Scholar] [CrossRef]
- Bannani, S.; Christou, N.; Guérin, C.; Hamy, A.; Sebag, F.; Mathonnet, M.; Guillot, P.; Caillard, C.; Blanchard, C.; Mirallié, E. Effect of parathyroidectomy on quality of life and non-specific symptoms in normocalcaemic primary hyperparathyroidism. Br. J. Surg. 2018, 105, 223–229. [Google Scholar] [CrossRef]
- Karakose, M.; Caliskan, M.; Arslan, M.S.; Demirci, T.; Karakose, S.; Cakal, E. The impact of parathyroidectomy on serum ADAMTS1, ADAMTS4 levels, insulin resistance, and subclinical cardiovascular disease in primary hyperparathyroidism. Endocrine 2017, 55, 283–288. [Google Scholar] [CrossRef]
- Almqvist, E.G.; Bondeson, A.G.; Bondeson, L.; Mellström, D.; Svensson, J. Factors influencing insulin sensitivity in patients with mild primary hyperparathyroidism before and after parathyroidectomy. Scand. J. Clin. Lab. Investig. 2012, 72, 92–99. [Google Scholar] [CrossRef]
- Putnam, R.; Dhibar, D.P.; Varshney, S.; Behera, A.; Mittal, B.R.; Bhansali, A.; Rao, S.D.; Bhadada, S.K. Effect of curative parathyroidectomy on insulin resistance. Indian J. Endocrinol. Metab. 2016, 20, 784–789. [Google Scholar]
- Stefan, N.; Vozarova, B.; Funahashi, T.; Matsuzawa, Y.; Weyer, C.; Lindsay, R.S.; Youngren, J.F.; Havel, P.J.; Pratley, R.E.; Bogardus, C.; et al. Plasma adiponectin concentration is associated with skeletal muscle insulin receptor tyrosine phosphorylation, and low plasma concentration precedes a decrease in whole-body insulin sensitivity in humans. Diabetes 2002, 51, 1884–1888. [Google Scholar] [CrossRef] [PubMed]
- Antonopoulou, V.; Karras, S.N.; Koufakis, T.; Yavropoulou, M.; Katsiki, N.; Gerou, S.; Papavramidis, T.; Kotsa, K. Rising Glucagon-Like Peptide 1 Concentrations After Parathyroidectomy in Patients With Primary Hyperparathyroidism. J. Surg. Res. 2020, 245, 22–230. [Google Scholar] [CrossRef] [PubMed]
- Khaleeli, A.A.; Johnson, J.N.; Taylor, W.H. Prevalence of glucose intolerance in primary hyperparathyroidism and the benefit of parathyroidectomy. Diabetes Metab. Res. Rev. 2007, 23, 43–48. [Google Scholar] [CrossRef] [PubMed]
- Kang, E.S.; Yun, Y.S.; Park, S.W.; Kim, H.J.; Ahn, C.W.; Song, Y.D.; Cha, B.S.; Lim, S.K.; Kim, K.R.; Lee, H.C. Limitation of the validity of the homeostasis model assessment as an index of insulin resistance in Korea. Metabolism 2005, 54, 206–211. [Google Scholar] [CrossRef] [PubMed]
- Chang, A.M.; Smith, M.J.; Bloem, C.J.; Galecki, A.T.; Halter, J.B.; Supiano, M.A. Limitation of the homeostasis model assessment to predict insulin resistance and beta-cell dysfunction in older people. J. Clin. Endocrinol. Metab. 2006, 91, 629–634. [Google Scholar] [CrossRef]
- Gallo, L.; Faniello, M.C.; Canino, G.; Tripolino, C.; Gnasso, A.; Cuda, G.; Costanzo, F.S.; Irace, C. Serum Calcium Increase Correlates With Worsening of Lipid Profile: An Observational Study on a Large Cohort From South Italy. Medicine 2016, 95, e2774. [Google Scholar] [CrossRef]
- Yao, Y.; He, L.; Jin, Y.; Chen, Y.; Tang, H.; Song, X.; Ding, L.; Qi, Q.; Huang, Z.; Wang, Q.; et al. The relationship between serum calcium level, blood lipids, and blood pressure in hypertensive and normotensive subjects who come from a normal university in east of China. Biol. Trace Elem. Res. 2013, 153, 35–40. [Google Scholar] [CrossRef]
- Abbasalizad, F.M.; Ostadrahimi, A.; Mahboob, S. Serum calcium, magnesium, phosphorous and lipid profile in healthy Iranian premenopausal women. Biochem. Med. 2011, 21, 312–320. [Google Scholar] [CrossRef]
- Ejlsmark-Svensson, H.; Rolighed, L.; Rejnmark, L. Effect of Parathyroidectomy on Cardiovascular Risk Factors in Primary Hyperparathyroidism: A Randomized Clinical Trial. J. Clin. Endocrinol. Metab. 2019, 104, 3223–3232. [Google Scholar] [CrossRef]
- Broulik, P.D.; Brouliková, A.; Adámek, S.; Libanský, P.; Tvrdoň, J.; Broulikova, K.; Kubinyi, J. Improvement of hypertension after parathyroidectomy of patients suffering from primary hyperparathyroidism. Int. J. Endocrinol. 2011, 2011, 309068. [Google Scholar] [CrossRef]
- Yavari, M.; Feizi, A.; Haghighatdoost, F.; Ghaffari, A.; Rezvanian, H. The influence of parathyroidectomy on cardiometabolic risk factors in patients with primary hyperparathyroidism: A systematic review and meta-analysis. Endocrine 2021, 72, 72–85. [Google Scholar] [CrossRef] [PubMed]
- Ejlsmark-Svensson, H.; Sikjaer, T.; Webb, S.M.; Rejnmark, L.; Rolighed, L. Health-related quality of life improves 1 year after parathyroidectomy in primary hyperparathyroidism: A prospective cohort study. Clin. Endocrinol. 2019, 90, 184–191. [Google Scholar] [CrossRef] [PubMed]
- Thomas, S.S.; Mitch, W.E. Parathyroid hormone stimulates adipose tissue browning: A pathway to muscle wasting. Curr. Opin. Clin. Nutr. Metab. Care 2017, 20, 153–157. [Google Scholar] [CrossRef]
- Rao, D.S.; Honasoge, M.; Divine, G.W.; Phillips, E.R.; Lee, M.W.; Ansari, M.R.; Talpos, G.B.; Parfitt, A.M. Effect of vitamin D nutrition on parathyroid adenoma weight: Pathogenetic and clinical implications. J. Clin. Endocrinol. Metab. 2000, 85, 1054–1058. [Google Scholar]
- Anderson, J.L.; Vanwoerkom, R.C.; Horne, B.D.; Bair, T.L.; May, H.T.; Lappé, D.L. Parathyroid hormone, vitamin D, renal dysfunction, and cardiovascular disease: Dependent or independent risk factors? Am. Heart J. 2011, 162, 331–339.e2. [Google Scholar] [CrossRef]
- Abbas, M.A. Physiological functions of Vitamin D in adipose tissue. J. Steroid Biochem. Mol. Biol. 2017, 165, 369–381. [Google Scholar] [CrossRef] [PubMed]
- Hirschler, V.; Maccallini, G.; Molinari, C.; Inés, U.; Castano, L.A.; Sanchez, M. Association between vitamin D and Apo B concentrations in Argentinean Indian children. Clin. Chim. Acta 2014, 429, 147–151. [Google Scholar] [CrossRef] [PubMed]
- Yang, S.H.; Li, S.; Zhang, Y.; Xu, R.X.; Guo, Y.L.; Zhu, C.G.; Wu, N.Q.; Cui, C.J.; Sun, J.; Li, J.J. Positive correlation of plasma PCSK9 levels with HbA1c in patients with type 2 diabetes. Diabetes Metab. Res. Rev. 2016, 32, 193–199. [Google Scholar] [CrossRef]
- Cariou, B.; Langhi, C.; Le Bras, M.; Bortolotti, M.; Lê, K.-A.; Theytaz, F. Plasma PCSK9 concentrations during an oral fat load and after short term high-fat, high-fat high-protein and high-fructose diets. Nutr. Metab. 2013, 10, 4. [Google Scholar] [CrossRef]
- Vergès, B.; Duvillard, L.; Brindisi, M.C.; Gautier, E.; Krempf, M.; Costet, P.; Cariou, B. Lack of association between plasma PCSK9 and LDL-apoB100 catabolism in patients with uncontrolled type 2 diabetes. Atherosclerosis 2011, 219, 342–348. [Google Scholar] [CrossRef]
- Banerjee, Y.; Santos, R.D.; Al-Rasadi, K.; Rizzo, M. Targeting PCSK9 for therapeutic gains: Have we addressed all the concerns? Atherosclerosis 2016, 248, 62–75. [Google Scholar] [CrossRef] [PubMed]
- Leander, K.; Mälarstig, A.; Van’t, H.F.M.; Hyde, C.; Hellénius, M.L.; Troutt, J.S.; Konrad, R.J.; Öhrvik, J.; Hamsten, A.; de Faire, U. Circulating Proprotein Convertase Subtilisin/Kexin Type 9 (PCSK9) Predicts Future Risk of Cardiovascular Events Independently of Established Risk Factors. Circulation 2016, 133, 1230–1239. [Google Scholar] [CrossRef] [PubMed]
- Villarroel, P.; Mattar, P.; D’Espessailles, A.; Arrese, M.; Arreguin, A.; Fuentes, C.; Reyes, M.; Cifuentes, M. Calcium sensing receptor effects in adipocytes and liver cells: Implications for an adipose-hepatic crosstalk. Arch. Biochem. Biophys. 2016, 607, 47–54. [Google Scholar] [CrossRef]
- Zaid, A.; Roubtsova, A.; Essalmani, R.; Marcinkiewicz, J.; Chamberland, A.; Hamelin, J.; Tremblay, M.; Jacques, H.; Jin, W.; Davignon, J.; et al. Proprotein convertase subtilisin/kexin type 9 (PCSK9): Hepatocyte-specific low-density lipoprotein receptor degradation and critical role in mouse liver regeneration. Hepatology 2008, 48, 646–654. [Google Scholar] [CrossRef]
- Kifor, O.; MacLeod, R.J.; Diaz, R.; Bai, M.; Yamaguchi, T.; Yao, T.; Kifor, I.; Brown, E.M. Regulation of MAP kinase by calcium-sensing receptor in bovine parathyroid and CaR-transfected HEK293 cells. Am. J. Physiol. Ren. Physiol. 2001, 280, F291–F302. [Google Scholar] [CrossRef] [PubMed]
- Glerup, S.; Schulz, R.; Laufs, U.; Schlüter, K.D. Physiological and therapeutic regulation of PCSK9 activity in cardiovascular disease. Basic Res. Cardiol. 2017, 112, 32. [Google Scholar] [CrossRef] [PubMed]
- Mitnick, M.A.; Grey, A.; Masiukiewicz, U.; Bartkiewicz, M.; Rios-Velez, L.; Friedman, S.; Xu, L.; Horowitz, M.C.; Insogna, K. Parathyroid hormone induces hepatic production of bioactive interleukin-6 and its soluble receptor. Am. J. Physiol. Endocrinol. Metab. 2001, 280, E405–E412. [Google Scholar] [CrossRef]
- Hwang, H.S.; Kim, J.S.; Kim, Y.G.; Lee, S.Y.; Ahn, S.Y.; Lee, H.J.; Lee, D.Y.; Lee, S.H.; Moon, J.Y.; Jeong, K.H. Circulating PCSK9 Level and Risk of Cardiovascular Events and Death in Hemodialysis Patients. J. Clin. Med. 2020, 9, 244. [Google Scholar] [CrossRef]
- Langhi, C.; Le May, C.; Kourimate, S.; Caron, S.; Staels, B.; Krempf, M.; Costet, P.; Cariou, B. Activation of the farnesoid X receptor represses PCSK9 expression in human hepatocytes. FEBS Lett. 2008, 582, 949–955. [Google Scholar] [CrossRef]


| Overall (N = 139) | Classic PHPT (N = 19) | Mild PHPT (N = 120) | ||||
|---|---|---|---|---|---|---|
| Pre-Operative | Post-Operative | Pre-Operative | Post-Operative | Pre-Operative | Post-Operative | |
| Age at PTX, years | 63.0 (13.4) | 60.0 (15.0) | 63.5 (13.1) | |||
| Female, N (%) | 117 (84.0) | 13 (68.0) | 104 (86.6) | |||
| BMI, kg/m2 | 25.9 (4.9) | 26.2 (5.1) * | 25.8 (4.1) | 26.9 (5.1) ** | 25.9 (5.1) | 26.1 (5.1) |
| SBP, mmHg | 130 (13) | 127 (13) ** | 131 (12) | 128 (13) | 130 (13) | 126 (13) ** |
| DBP, mmHg | 78 (9) | 78 (9) | 80 (12) | 79 (11) | 78 (8) | 78 (9) |
| SCa (albumin-corrected), mmol/L | 2.68 (0.21) | 2.36 (0.13) *** | 3.05 (0.25) | 2.39 (0.17) *** | 2.62 (0.14) | 2.36 (0.12) *** |
| SP, mmol/L | 0.78 (0.15) | 0.97 (0.17) *** | 0.65 (0.20) | 0.87 (0.20) *** | 0.80 (0.13) | 0.99 (0.16) *** |
| Serum vitamin D, ng/mL | 24.7 (10.0) | 30.0 (8.9) *** | 22.3 (9.1) | 29.6 (10.9) * | 25.1 (10.1) | 30.1 (8.6) *** |
| PTH, pg/mL | 93.4 [77.6–121.1] | 47.4 [35.4–59.4] *** | 145.4 [107.6–223.0] | 39.6 [27.8–70.4] *** | 87.8 [76.0–112.5] | 47.5 [37.2–59.4] *** |
| Calciuria, mmol/24 h | 4.95 (2.81) | 2.28 (1.36) *** | 6.01 (3.59) | 2.10 (1.07) *** | 4.77 (2.65) | 2.31 (1.41) *** |
| eGFR, mL/min | 83.0 (17.2) | 82.5 (15.4) | 78.3 (15.3) | 83.0 (13.5) ** | 83.8 (17.4) | 82.4 (15.7) |
| Overall (N = 139) | Classic PHPT (N = 19) | Mild PHPT (N = 120) | ||||
|---|---|---|---|---|---|---|
| Pre-Operative | Post-Operative | Pre-Operative | Post-Operative | Pre-Operative | Post-Operative | |
| FPG, mmol/L | 5.4 (0.6) | 5.2 (0.7) *** | 5.5 (0.7) | 5.2 (0.9) | 5.4 (0.6) | 5.2 (0.7) ** |
| Fasting plasma insulin, mIU/L | 9.4 (5.7) | 7.8 (4.9) *** | 9.8 (5.2) | 7.8 (2.8) | 9.3 (5.8) | 7.9 (5.1) ** |
| HOMA-IR | 2.3 (1.6) | 1.9 (1.3) *** | 2.5 (1.6) | 1.9 (1.0) | 2.3 (1.7) | 1.9 (1.3) |
| HOMA-B | 99.4 (50.7) | 94.9 (55.9) | 103.3 (54.1) | 102.2 (45.6) | 98.9 (50.5) | 94.0 (57.2) |
| Plasma adiponectin, µg/mL | 6.2 (3.6) | 7.2 (3.9) *** | 5.8 (3.5) | 6.7 (3.3) ** | 6.3 (3.6) | 7.3 (4.0) *** |
| Overall (N = 139) | Classic PHPT (N = 19) | Mild PHPT (N = 120) | ||||
|---|---|---|---|---|---|---|
| Pre-Operative | Post-Operative | Pre-Operative | Post-Operative | Pre-Operative | Post-Operative | |
| TG, mg/dL | 102.9 (45.2) | 98.6 (41.9) | 111.1 (37.2) | 96.3 (37.6) * | 101.6 (46.3) | 99.0 (42.6) |
| TC, mg/dL | 214.1 (39.7) | 220.3 (42.6) * | 202.8 (44.9) | 220.6 (51.5) * | 215.9 (38.7) | 220.2 (41.3) |
| LDL-C, mg/dL | 127.6 (33.2) | 142.3 (38.7) *** | 120.9 (45.7) | 141.6 (41.6) ** | 128.5 (31.6) | 142.3 (38.6) *** |
| HDL-C, mg/dL | 67.8 (17.8) | 67.1 (18.1) | 60.8 (17.9) | 64.9 (18.4) | 68.9 (17.6) | 67.4 (18.1) |
| ApoB-100, mg/dL | 122.2 (27.6) | 131.4 (31.2) *** | 122.9 (33.3) | 136.4 (32.9) ** | 122.0 (26.8) | 130.7 (31.0) *** |
| Overall | Classic PHPT | Mild PHPT | ||||||||||
|---|---|---|---|---|---|---|---|---|---|---|---|---|
| All Patients (N = 139) | Without Lipid-Lowering Therapy (N = 112) | All Patients (N = 19) | Without Lipid-Lowering Therapy (N = 13) | All Patients (N = 120) | Without Lipid-Lowering Therapy (N = 99) | |||||||
| R | p-Value | R | p-Value | R | p-Value | R | p-Value | R | p-Value | R | p-Value | |
| SCa (albumin-corrected) | −0.25 | 0.003 | −0.27 | 0.005 | −0.13 | 0.61 | 0.09 | 0.76 | −0.18 | 0.046 | −0.18 | 0.073 |
| SP | 0.12 | 0.16 | 0.10 | 0.31 | −0.09 | 0.71 | −0.24 | 0.44 | 0.12 | 0.21 | 0.09 | 0.39 |
| Serum PTH | −0.11 | 0.20 | −0.10 | 0.27 | −0.01 | 0.97 | −0.03 | 0.94 | −0.08 | 0.37 | −0.07 | 0.50 |
| Serum vitamin D | −0.01 | 0.88 | −0.01 | 0.91 | −0.14 | 0.56 | −0.17 | 0.59 | 0.00 | 0.97 | −0.01 | 0.94 |
| TG | 0.07 | 0.39 | 0.11 | 0.25 | 0.25 | 0.31 | 0.26 | 0.40 | 0.10 | 0.28 | 0.14 | 0.16 |
| TC | 0.27 | 0.001 | 0.31 | <0.001 | 0.37 | 0.12 | 0.56 | 0.047 | 0.26 | 0.003 | 0.25 | 0.011 |
| LDL-C | 0.26 | 0.011 | 0.26 | 0.018 | 0.53 | 0.094 | 0.76 | 0.027 | 0.24 | 0.027 | 0.22 | 0.067 |
| HDL-C | 0.12 | 0.14 | 0.11 | 0.25 | 0.23 | 0.33 | 0.31 | 0.30 | 0.06 | 0.52 | 0.03 | 0.77 |
| ApoB-100 | 0.06 | 0.45 | 0.14 | 0.14 | 0.22 | 0.38 | 0.42 | 0.17 | 0.06 | 0.50 | 0.10 | 0.31 |
| FPG | 0.15 | 0.14 | 0.19 | 0.084 | 0.40 | 0.22 | 0.43 | 0.28 | 0.14 | 0.19 | 0.21 | 0.070 |
| Fasting plasma insulin | 0.21 | 0.041 | 0.27 | 0.014 | 0.28 | 0.39 | 0.38 | 0.34 | 0.21 | 0.047 | 0.31 | 0.008 |
| HOMA-IR | 0.21 | 0.034 | 0.28 | 0.012 | 0.29 | 0.38 | 0.33 | 0.41 | 0.21 | 0.051 | 0.31 | 0.008 |
| HOMA-B | 0.18 | 0.084 | 0.24 | 0.030 | −0.07 | 0.84 | 0.10 | 0.80 | 0.20 | 0.057 | 0.29 | 0.013 |
| Adiponectin | 0.04 | 0.68 | 0.04 | 0.72 | −0.01 | 0.99 | −0.07 | 0.89 | 0.03 | 0.76 | 0.01 | 0.92 |
| Overall (N = 139) | Classic PHPT (N = 19) | Mild PHPT (N = 120) | |||||
|---|---|---|---|---|---|---|---|
| Change | R | p-Value | R | p-Value | R | p-Value | |
| SCa (albumin-corrected) change | PCSK9 | −0.1 | 0.26 | 0.16 | 0.51 | −0.13 | 0.16 |
| TG | 0.29 | <0.001 | 0.53 | 0.020 | 0.21 | 0.024 | |
| TC | 0.03 | 0.76 | 0.12 | 0.63 | 0.11 | 0.25 | |
| LDL-C | −0.13 | 0.19 | 0.18 | 0.58 | −0.11 | 0.32 | |
| HDL-C | 0.01 | 0.91 | −0.04 | 0.89 | 0.10 | 0.28 | |
| Serum PTH change | PCSK9 | −0.01 | 0.92 | 0.15 | 0.53 | −0.03 | 0.71 |
| TG | 0.17 | 0.047 | 0.30 | 0.21 | 0.13 | 0.16 | |
| TC | −0.02 | 0.83 | 0.04 | 0.87 | −0.02 | 0.86 | |
| LDL-C | −0.06 | 0.53 | 0.32 | 0.34 | −0.12 | 0.27 | |
| HDL-C | −0.01 | 0.88 | 0.09 | 0.72 | 0.01 | 0.91 | |
| PCSK9 change | TG | 0.01 | 0.94 | 0.08 | 0.76 | −0.01 | 0.92 |
| TC | 0.03 | 0.73 | 0.24 | 0.32 | 0.02 | 0.82 | |
| LDL-C | 0.00 | 0.99 | 0.13 | 0.70 | −0.05 | 0.66 | |
| HDL-C | 0.01 | 0.87 | 0.20 | 0.40 | −0.04 | 0.65 | |
| Overall (N = 139) | Classic PHPT (N = 19) | Mild PHPT (N = 120) | |||||
|---|---|---|---|---|---|---|---|
| Change | R | p-Value | R | p-Value | R | p-Value | |
| SCa (albumin-corrected) change | FPG | 0.00 | 0.96 | −0.06 | 0.86 | −0.05 | 0.62 |
| Fasting plasma insulin | −0.01 | 0.90 | 0.29 | 0.38 | −0.04 | 0.69 | |
| HOMA-IR | −0.03 | 0.80 | 0.18 | 0.58 | −0.07 | 0.55 | |
| HOMA-B | −0.06 | 0.56 | 0.32 | 0.34 | −0.04 | 0.7 | |
| Adiponectin | −0.10 | 0.32 | −0.32 | 0.35 | −0.03 | 0.76 | |
| Serum PTH change | FPG | 0.03 | 0.78 | −0.24 | 0.49 | 0.02 | 0.88 |
| Fasting plasma insulin | 0.05 | 0.65 | 0.10 | 0.76 | 0.03 | 0.78 | |
| HOMA-IR | 0.03 | 0.76 | −0.05 | 0.88 | 0.02 | 0.88 | |
| HOMA-B | −0.02 | 0.84 | 0.53 | 0.094 | −0.03 | 0.78 | |
| Adiponectin | −0.04 | 0.70 | −0.05 | 0.88 | 0.00 | 0.97 | |
| PCSK9 change | FPG | 0.05 | 0.66 | −0.15 | 0.68 | 0.08 | 0.44 |
| Fasting plasma insulin | 0.15 | 0.15 | −0.15 | 0.66 | 0.19 | 0.074 | |
| HOMA-IR | 0.14 | 0.17 | −0.18 | 0.60 | 0.19 | 0.08 | |
| HOMA-B | 0.12 | 0.25 | −0.09 | 0.8 | 0.13 | 0.23 | |
| Adiponectin | −0.09 | 0.39 | −0.31 | 0.36 | −0.08 | 0.48 | |
Publisher’s Note: MDPI stays neutral with regard to jurisdictional claims in published maps and institutional affiliations. |
© 2022 by the authors. Licensee MDPI, Basel, Switzerland. This article is an open access article distributed under the terms and conditions of the Creative Commons Attribution (CC BY) license (https://creativecommons.org/licenses/by/4.0/).
Share and Cite
Frey, S.; Bourgade, R.; Le May, C.; Croyal, M.; Bigot-Corbel, E.; Renaud-Moreau, N.; Wargny, M.; Caillard, C.; Mirallié, E.; Cariou, B.; et al. Effect of Parathyroidectomy on Metabolic Homeostasis in Primary Hyperparathyroidism. J. Clin. Med. 2022, 11, 1373. https://doi.org/10.3390/jcm11051373
Frey S, Bourgade R, Le May C, Croyal M, Bigot-Corbel E, Renaud-Moreau N, Wargny M, Caillard C, Mirallié E, Cariou B, et al. Effect of Parathyroidectomy on Metabolic Homeostasis in Primary Hyperparathyroidism. Journal of Clinical Medicine. 2022; 11(5):1373. https://doi.org/10.3390/jcm11051373
Chicago/Turabian StyleFrey, Samuel, Raphaël Bourgade, Cédric Le May, Mikaël Croyal, Edith Bigot-Corbel, Nelly Renaud-Moreau, Matthieu Wargny, Cécile Caillard, Eric Mirallié, Bertrand Cariou, and et al. 2022. "Effect of Parathyroidectomy on Metabolic Homeostasis in Primary Hyperparathyroidism" Journal of Clinical Medicine 11, no. 5: 1373. https://doi.org/10.3390/jcm11051373
APA StyleFrey, S., Bourgade, R., Le May, C., Croyal, M., Bigot-Corbel, E., Renaud-Moreau, N., Wargny, M., Caillard, C., Mirallié, E., Cariou, B., & Blanchard, C. (2022). Effect of Parathyroidectomy on Metabolic Homeostasis in Primary Hyperparathyroidism. Journal of Clinical Medicine, 11(5), 1373. https://doi.org/10.3390/jcm11051373

