Resistance to Antimalarial Monotherapy Is Cyclic
Abstract
1. Introduction
2. Methods
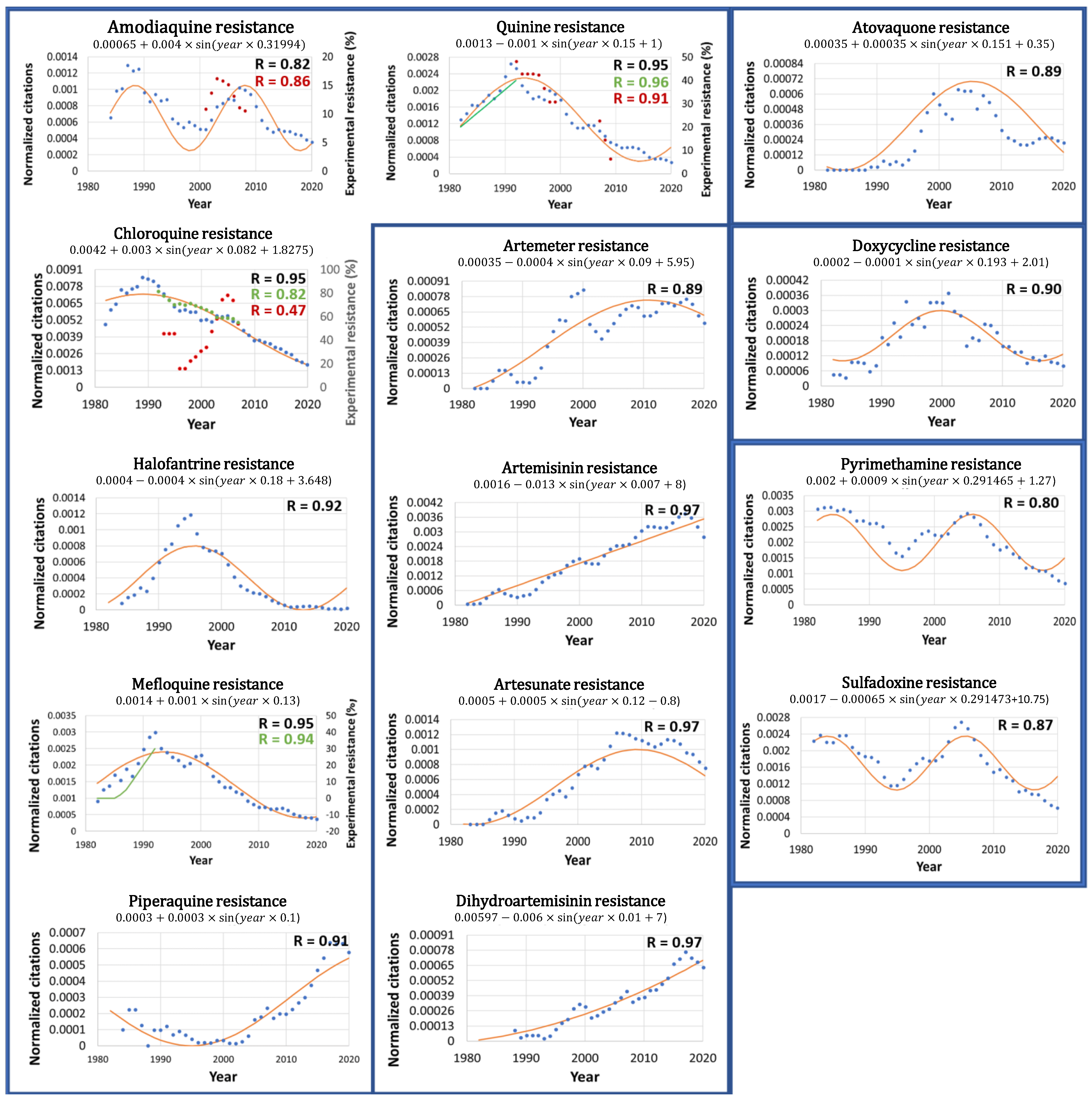
3. Results
4. Discussion
5. Conclusions
Author Contributions
Funding
Institutional Review Board Statement
Informed Consent Statement
Data Availability Statement
Conflicts of Interest
References
- White, N.J. Antimalarial drug resistance. J. Clin. Investig. 2004, 113, 1084–1092. [Google Scholar] [CrossRef] [PubMed]
- Plowe, C.V. Combination Therapy for Malaria: Mission Accomplished? Clin. Infect. Dis. 2007, 44, 1075–1077. [Google Scholar] [CrossRef] [PubMed][Green Version]
- Dondorp, A.M.; Nosten, F.; Yi, P.; Das, D.; Phyo, A.P.; Tarning, J.; Lwin, K.M.; Ariey, F.; Hanpithakpong, W.; Lee, S.J.; et al. Artemisinin Resistance in Plasmodium falciparum Malaria. N. Engl. J. Med. 2009, 361, 455–467. [Google Scholar] [CrossRef] [PubMed]
- Price, R.N.; Dorsey, G.; Ashley, E.A.; Barnes, K.I.; Baird, J.K.; d’Alessandro, U.; Guerin, P.J.; Laufer, M.K.; Naidoo, I.; Nosten, F.; et al. World Antimalarial Resistance Network I: Clinical efficacy of antimalarial drugs. Malar. J. 2007, 6, 1–9. [Google Scholar] [CrossRef] [PubMed]
- Menard, D.; Dondorp, A. Antimalarial Drug Resistance: A Threat to Malaria Elimination. Cold Spring Harb. Perspect. Med. 2017, 7, a025619. [Google Scholar] [CrossRef]
- Buyon, L.E.; Elsworth, B.; Duraisingh, M.T. The molecular basis of antimalarial drug resistance in Plasmodium vivax. Int. J. Parasitol. Drugs Drug Resist. 2021, 16, 23–37. [Google Scholar] [CrossRef]
- Eastman, R.T.; Fidock, D.A. Artemisinin-based combination therapies: A vital tool in efforts to eliminate malaria. Nat. Rev. Genet. 2009, 7, 864–874. [Google Scholar] [CrossRef]
- Hempelmann, E. Hemozoin Biocrystallization in Plasmodium falciparum and the antimalarial activity of crystallization inhibitors. Parasitol. Res. 2006, 100, 671–676. [Google Scholar] [CrossRef]
- Cravo, P.; Napolitano, H.; Culleton, R. How genomics is contributing to the fight against artemisinin-resistant malaria parasites. Acta Trop. 2015, 148, 1–7. [Google Scholar] [CrossRef]
- Hess, K.M.; Goad, J.A.; Arguin, P.M. Intravenous Artesunate for the Treatment of Severe Malaria. Ann. Pharmacother. 2010, 44, 1250–1258. [Google Scholar] [CrossRef]
- Warhurst, D.; Adagu, I.; Beck, H.; Duraisingh, M.; Kirby, G.; von Seidlein, L.; Wright, C. Mode of action of artemether lumefantrine (COARTEM): The sole, fixed, oral ADCC and its role in combatting multidrug resistance. Southeast Asian J. Trop. Med. Public Health 2001, 32, 4–8. [Google Scholar]
- Goodson, J.R.; Klupt, S.; Zhang, C.; Straight, P.; Winkler, W.C. LoaP is a broadly conserved antiterminator protein that regulates antibiotic gene clusters in Bacillus amyloliquefaciens. Nat. Microbiol. 2017, 2, 1–10. [Google Scholar] [CrossRef]
- Gaillard, T.; Madamet, M.; Pradines, B. Tetracyclines in malaria. Malar. J. 2015, 14, 1–10. [Google Scholar] [CrossRef]
- Matondo, S.I.; Temba, G.S.; Kavishe, A.A.; Kauki, J.S.; Kalinga, A.; van Zwetselaar, M.; Reyburn, H.; Kavishe, R.A. High levels of sulphadoxine-pyrimethamine resistance Pfdhfr-Pfdhps quintuple mutations: A cross sectional survey of six regions in Tanzania. Malar. J. 2014, 13, 152. [Google Scholar] [CrossRef]
- Nixon, G.L.; Moss, D.M.; Shone, A.E.; Lalloo, D.G.; Fisher, N.; O’Neill, P.M.; Ward, S.A.; Biagini, G.A. Antimalarial pharmacology and therapeutics of atovaquone. J. Antimicrob. Chemother. 2013, 68, 977–985. [Google Scholar] [CrossRef]
- Dziekan, J.M.; Yu, H.; Chen, D.; Dai, L.; Wirjanata, G.; Larsson, A.; Prabhu, N.; Sobota, R.M.; Bozdech, Z.; Nordlund, P. Identifying purine nucleoside phosphorylase as the target of quinine using cellular thermal shift assay. Sci. Transl. Med. 2019, 11, eaau3174. [Google Scholar] [CrossRef]
- Dabour, R.; Meirson, T.; Samson, A.O. Global antibiotic resistance is mostly periodic. J. Glob. Antimicrob. Resist. 2016, 7, 132–134. [Google Scholar] [CrossRef]
- Yayan, J.; Ghebremedhin, B.; Rasche, K. Antibiotic Resistance of Pseudomonas aeruginosa in Pneumonia at a Single University Hospital Center in Germany over a 10-Year Period. PLoS ONE 2015, 10, e0139836. [Google Scholar] [CrossRef]
- Rhomberg, P.; Jones, R.N. Summary trends for the Meropenem Yearly Susceptibility Test Information Collection Program: A 10-year experience in the United States (1999–2008). Diagn. Microbiol. Infect. Dis. 2009, 65, 414–426. [Google Scholar] [CrossRef]
- Asbell, P.A.; Sanfilippo, C.M. Antibiotic Resistance Trends Among Ocular Pathogens in the US—Cumulative Results from the Antibiotic Resistance Monitoring in Ocular Microorganisms (ARMOR) Surveillance Study. US Ophthalmic Rev. 2017, 10. [Google Scholar] [CrossRef]
- Kuhn, M.; Campillos, M.; Letunic, I.; Jensen, L.J.; Bork, P. A side effect resource to capture phenotypic effects of drugs. Mol. Syst. Biol. 2010, 6, 343. [Google Scholar] [CrossRef]
- Pletscher-Frankild, S.; Pallejà, A.; Tsafou, K.; Binder, J.X.; Jensen, L.J. DISEASES: Text mining and data integration of disease–gene associations. Methods 2015, 74, 83–89. [Google Scholar] [CrossRef]
- Singhasivanon, P. Mekong malaria. Malaria, multi-drug resistance and economic development in the greater Mekong subregion of Southeast Asia. Southeast Asian J. Trop. Med. Public Health 1999, 30, i–iv. [Google Scholar]
- Frosch, A.E.; Venkatesan, M.; Laufer, M.K. Patterns of chloroquine use and resistance in sub-Saharan Africa: A systematic review of household survey and molecular data. Malar. J. 2011, 10, 116. [Google Scholar] [CrossRef]
- Wang, J.; Xu, C.; Liao, F.L.; Jiang, T.; Krishna, S.; Tu, Y. A Temporizing Solution to “Artemisinin Resistance”. N. Engl. J. Med. 2019, 380, 2087–2089. [Google Scholar] [CrossRef]
- Pelleau, S.; Moss, E.L.; Dhingra, S.; Volney, B.; Casteras, J.; Gabryszewski, S.J.; Volkman, S.K.; Wirth, D.F.; Legrand, E.; Fidock, D.; et al. Adaptive evolution of malaria parasites in French Guiana: Reversal of chloroquine resistance by acquisition of a mutation in pfcrt. Proc. Natl. Acad. Sci. USA 2015, 112, 11672–11677. [Google Scholar] [CrossRef]
- Carrara, V.; Lwin, K.M.; Phyo, A.P.; Ashley, E.; Wiladphaingern, J.; Sriprawat, K.; Rijken, M.; Boel, M.; Mcgready, R.; Proux, S.; et al. Malaria Burden and Artemisinin Resistance in the Mobile and Migrant Population on the Thai–Myanmar Border, 1999–2011: An Observational Study. PLoS Med. 2013, 10, e1001398. [Google Scholar] [CrossRef]
- White, L.J.; Flegg, J.A.; Phyo, A.P.; Wiladpai-Ngern, J.H.; Bethell, D.; Plowe, C.; Anderson, T.; Nkhoma, S.; Nair, S.; Tripura, R.; et al. Defining the In Vivo Phenotype of Artemisinin-Resistant Falciparum Malaria: A Modelling Approach. PLoS Med. 2015, 12, e1001823. [Google Scholar] [CrossRef]
- Hemming-Schroeder, E.; Umukoro, E.; Lo, E.; Fung, B.; Tomás-Domingo, P.; Zhou, G.; Zhong, D.; Dixit, A.; Atieli, H.; Githeko, A.; et al. Impacts of Antimalarial Drugs on Plasmodium falciparum Drug Resistance Markers, Western Kenya, 2003–2015. Am. J. Trop. Med. Hyg. 2018, 98, 692–699. [Google Scholar] [CrossRef]
- Aweeka, F.T.; German, P.I. Clinical Pharmacology of Artemisinin-Based Combination Therapies. Clin. Pharmacokinet. 2008, 47, 91–102. [Google Scholar] [CrossRef]
- van der Pluijm, R.W.; Tripura, R.; Hoglund, R.M.; Phyo, A.P.; Lek, D.; Islam, A.U.; Anvikar, A.R.; Satpathi, P.; Satpathi, S.; Behera, P.K.; et al. Triple artemisinin-based combination therapies versus artemisinin-based combination therapies for uncomplicated Plasmodium falciparum malaria: A multicentre, open-label, randomised clinical trial. Lancet 2020, 395, 1345–1360. [Google Scholar] [CrossRef]
- Alven, S.; Aderibigbe, B. Combination Therapy Strategies for the Treatment of Malaria. Molecules 2019, 24, 3601. [Google Scholar] [CrossRef] [PubMed]
- Rathmes, G.; Rumisha, S.F.; Lucas, T.C.D.; Twohig, K.A.; Python, A.; Nguyen, M.; Nandi, A.K.; Keddie, S.H.; Collins, E.L.; Rozier, J.A.; et al. Global estimation of anti-malarial drug effectiveness for the treatment of uncomplicated Plasmodium falciparum malaria 1991–2019. Malar. J. 2020, 19, 1–15. [Google Scholar] [CrossRef] [PubMed]
- Dutta, S.; Biswas, A.; Ahrens, J. Multivariate Pointwise Information-Driven Data Sampling and Visualization. Entropy 2019, 21, 699. [Google Scholar] [CrossRef]

| Antimalarial Drug | Mechanism of Action | Yearly Frequency |
|---|---|---|
| Pyrimethamine, Sulfadoxine | Folic acid synthesis inhibitors | ~0.3 |
| Doxycycline (prophylactic) | Protein synthesis inhibitors | ~0.2 |
| Atovaquone | Electron transport chain inhibitor | ~0.15 |
| Quinine, Chloroquine, Piperaquine, Halofantrine, Mefloquine | Heme biocrystallization inhibitors | ~0.15 |
| Artemether, Artemisinin, Dihydroartemisinin, Artesunate, | Binds to hemozoin and releases toxic free radicals | ~0.05 |
Publisher’s Note: MDPI stays neutral with regard to jurisdictional claims in published maps and institutional affiliations. |
© 2022 by the authors. Licensee MDPI, Basel, Switzerland. This article is an open access article distributed under the terms and conditions of the Creative Commons Attribution (CC BY) license (https://creativecommons.org/licenses/by/4.0/).
Share and Cite
Weitzman, R.; Calfon-Peretz, O.; Saha, T.; Bloch, N.; Ben Zaken, K.; Rosenfeld, A.; Amitay, M.; Samson, A.O. Resistance to Antimalarial Monotherapy Is Cyclic. J. Clin. Med. 2022, 11, 781. https://doi.org/10.3390/jcm11030781
Weitzman R, Calfon-Peretz O, Saha T, Bloch N, Ben Zaken K, Rosenfeld A, Amitay M, Samson AO. Resistance to Antimalarial Monotherapy Is Cyclic. Journal of Clinical Medicine. 2022; 11(3):781. https://doi.org/10.3390/jcm11030781
Chicago/Turabian StyleWeitzman, Rachel, Ortal Calfon-Peretz, Trishna Saha, Naamah Bloch, Karin Ben Zaken, Avi Rosenfeld, Moshe Amitay, and Abraham O. Samson. 2022. "Resistance to Antimalarial Monotherapy Is Cyclic" Journal of Clinical Medicine 11, no. 3: 781. https://doi.org/10.3390/jcm11030781
APA StyleWeitzman, R., Calfon-Peretz, O., Saha, T., Bloch, N., Ben Zaken, K., Rosenfeld, A., Amitay, M., & Samson, A. O. (2022). Resistance to Antimalarial Monotherapy Is Cyclic. Journal of Clinical Medicine, 11(3), 781. https://doi.org/10.3390/jcm11030781

