The Predictive Role of Maternal Biological Markers and Inflammatory Scores NLR, PLR, MLR, SII, and SIRI for the Risk of Preterm Delivery
Abstract
1. Introduction
2. Materials and Methods
2.1. Study Ethics and Design
2.2. Patient Inclusion and Study Groups
2.3. Study Variables and Definitions
2.4. Statistical Analysis
3. Results
3.1. Background Analysis
3.2. Laboratory Analysis
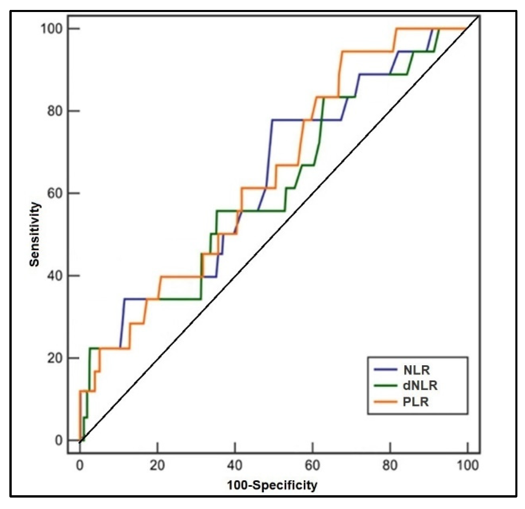
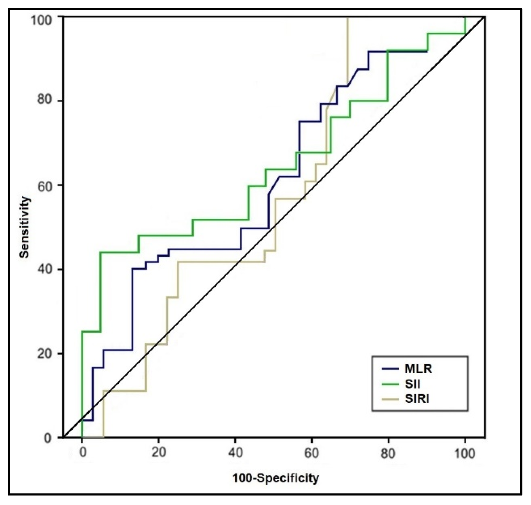
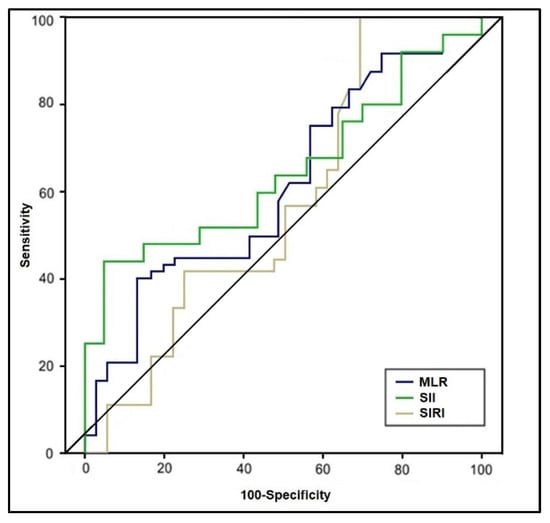
3.3. ROC and AUC Analysis
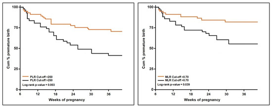
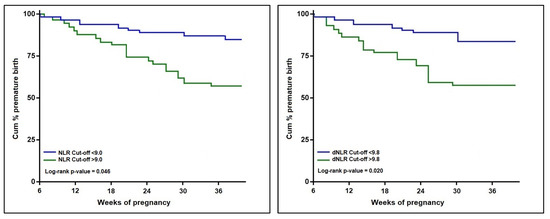
3.4. Risk Analysis
4. Discussion
4.1. Important Findings
4.2. Study Limitations and Future Perspectives
5. Conclusions
Author Contributions
Funding
Institutional Review Board Statement
Informed Consent Statement
Data Availability Statement
Conflicts of Interest
References
- Vakili, S.; Torabinavid, P.; Tabrizi, R.; Shojazadeh, A.; Asadi, N.; Hessami, K. The Association of Inflammatory Biomarker of Neutrophil-to-Lymphocyte Ratio with Spontaneous Preterm Delivery: A Systematic Review and Meta-analysis. Mediat. Inflamm. 2021, 2021, 6668381. [Google Scholar] [CrossRef] [PubMed]
- Purisch, S.E.; Gyamfi-Bannerman, C. Epidemiology of preterm birth. Semin. Perinatol. 2017, 41, 387–391. [Google Scholar] [CrossRef] [PubMed]
- Dahma, G.; Neamtu, R.; Nitu, R.; Gluhovschi, A.; Bratosin, F.; Grigoras, M.L.; Silaghi, C.; Citu, C.; Orlu, I.N.; Bhattarai, S.; et al. The Influence of Maternal Vitamin D Supplementation in Pregnancies Associated with Preeclampsia: A Case-Control Study. Nutrients 2022, 14, 3008. [Google Scholar] [CrossRef] [PubMed]
- The Alliance for Maternal and Newborn Health Improvement (AMANHI) GA Study Group Population-based rates, risk factors and consequences of preterm births in South-Asia and sub-Saharan Africa: A multi-country prospective cohort study. J. Glob. Health 2022, 12, 04011. [CrossRef]
- Blencowe, H.; Cousens, S.; Oestergaard, M.Z.; Chou, D.; Moller, A.-B.; Narwal, R.; Adler, A.; Garcia, C.V.; Rohde, S.; Say, L.; et al. National, regional, and worldwide estimates of preterm birth rates in the year 2010 with time trends since 1990 for selected countries: A systematic analysis and implications. Lancet 2012, 379, 2162–2172. [Google Scholar] [CrossRef]
- Beck, S.; Wojdyla, D.; Say, L.; Bertran, A.P.; Merialdi, M.; Requejo, J.H.; Rubens, C.; Menon, R.A.; Van Look, P.F. The worldwide incidence of preterm birth: A systematic review of maternal mortality and morbidity. Bull. World Health Organ. 2010, 88, 31–38. [Google Scholar] [CrossRef]
- Rubens, C.E.; Sadovsky, Y.; Muglia, L.; Gravett, M.G.; Lackritz, E.; Gravett, C. Prevention of preterm birth: Harnessing science to address the global epidemic. Sci. Transl. Med. 2014, 6, 262sr5. [Google Scholar] [CrossRef]
- Citu, I.M.; Citu, C.; Gorun, F.; Sas, I.; Bratosin, F.; Motoc, A.; Burlea, B.; Rosca, O.; Malita, D.; Gorun, O.M. The Risk of Spontaneous Abortion Does Not Increase Following First Trimester mRNA COVID-19 Vaccination. J. Clin. Med. 2022, 11, 1698. [Google Scholar] [CrossRef]
- Shafiq, M.; Mathad, J.S.; Naik, S.; Alexander, M.; Yadana, S.; Araújo-Pereira, M.; Kulkarni, V.; Deshpande, P.; Kumar, N.P.; Babu, S.; et al. Association of Maternal Inflammation During Pregnancy With Birth Outcomes and Infant Growth Among Women With or Without HIV in India. JAMA Netw. Open 2021, 4, e2140584. [Google Scholar] [CrossRef]
- Lombardi, A.; Duiella, S.; Piani, L.L.; Comelli, A.; Ceriotti, F.; Oggioni, M.; Muscatello, A.; Bandera, A.; Gori, A.; Ferrazzi, E. Inflammatory biomarkers in pregnant women with COVID-19: A retrospective cohort study. Sci. Rep. 2021, 11, 13350. [Google Scholar] [CrossRef]
- Rugină, C.; Mărginean, C.O.; Meliţ, L.E.; Huţanu, A.; Ghiga, D.V.; Modi, V.; Mărginean, C. Systemic inflammatory status—A bridge between gestational weight gain and neonatal outcomes (STROBE-compliant article). Medicine 2021, 100, e24511. [Google Scholar] [CrossRef] [PubMed]
- Hamilton, S.; Oomomian, Y.; Stephen, G.; Shynlova, O.; Tower, C.L.; Garrod, A.; Lye, S.J.; Jones, R.L. Macrophages Infiltrate the Human and Rat Decidua During Term and Preterm Labor: Evidence That Decidual Inflammation Precedes Labor1. Biol. Reprod. 2012, 86, 39. [Google Scholar] [CrossRef] [PubMed]
- Citu, I.M.; Citu, C.; Margan, M.-M.; Craina, M.; Neamtu, R.; Gorun, O.M.; Burlea, B.; Bratosin, F.; Rosca, O.; Grigoras, M.L.; et al. Calcium, Magnesium, and Zinc Supplementation during Pregnancy: The Additive Value of Micronutrients on Maternal Immune Response after SARS-CoV-2 Infection. Nutrients 2022, 14, 1445. [Google Scholar] [CrossRef] [PubMed]
- Humberg, A.; Fortmann, I.; Siller, B.; Kopp, M.V.; Herting, E.; Göpel, W.; Härtel, C.; German Neonatal Network, German Center for Lung Research and Priming Immunity at the beginning of life (PRIMAL) Consortium. Preterm birth and sustained inflammation: Consequences for the neonate. Semin. Immunopathol. 2020, 42, 451–468. [Google Scholar] [CrossRef] [PubMed]
- Citu, I.M.; Citu, C.; Gorun, F.; Neamtu, R.; Motoc, A.; Burlea, B.; Rosca, O.; Bratosin, F.; Hosin, S.; Manolescu, D.; et al. Using the NYHA Classification as Forecasting Tool for Hospital Readmission and Mortality in Heart Failure Patients with COVID-19. J. Clin. Med. 2022, 11, 1382. [Google Scholar] [CrossRef]
- Salunkhe, A.H.; Salunkhe, J.A.; Mohite, V.R.; More, U.; Pratinidhi, A.K.; Kakade, S.V. Development of Risk Scoring Scale Tool for Prediction of Preterm Birth. Indian J. Community Med.Off. Publ. Indian Assoc. Prev. Soc. Med. 2019, 44, 102–106. [Google Scholar] [CrossRef]
- Pilut, C.N.; Citu, C.; Gorun, F.; Bratosin, F.; Gorun, O.M.; Burlea, B.; Citu, I.M.; Grigoras, M.L.; Manolescu, D.; Gluhovschi, A. The Utility of Laboratory Parameters for Cardiac Inflammation in Heart Failure Patients Hospitalized with SARS-CoV-2 Infection. Diagnostics 2022, 12, 824. [Google Scholar] [CrossRef]
- Citu, C.; Gorun, F.; Motoc, A.; Ratiu, A.; Gorun, O.M.; Burlea, B.; Neagoe, O.; Citu, I.M.; Rosca, O.; Bratosin, F.; et al. Evaluation and Comparison of the Predictive Value of 4C Mortality Score, NEWS, and CURB-65 in Poor Outcomes in COVID-19 Patients: A Retrospective Study from a Single Center in Romania. Diagnostics 2022, 12, 703. [Google Scholar] [CrossRef]
- Morisaki, N.; Piedvache, A.; Nagata, C.; Michikawa, T.; Morokuma, S.; Kato, K.; Sanefuji, M.; Shibata, E.; Tsuji, M.; Shimono, M.; et al. Maternal blood count parameters of chronic inflammation by gestational age and their associations with risk of preterm delivery in the Japan Environment and Children’s Study. Sci. Rep. 2021, 11, 15522. [Google Scholar] [CrossRef]
- Mureșan, A.V.; Russu, E.; Arbănași, E.M.; Kaller, R.; Hosu, I.; Arbănași, E.M.; Voidăzan, S.T. The Predictive Value of NLR, MLR, and PLR in the Outcome of End-Stage Kidney Disease Patients. Biomedicines 2022, 10, 1272. [Google Scholar] [CrossRef]
- Akgun, N.; Kalem, M.N.; Yuce, E.; Kalem, Z.; Aktas, H. Correlations of maternal neutrophil to lymphocyte ratio (NLR) and platelet to lymphocyte ratio (PLR) with birth weight. J. Matern. Neonatal Med. 2017, 30, 2086–2091. [Google Scholar] [CrossRef] [PubMed]
- Daglar, H.K.; Kirbas, A.; Kaya, B.; Kilincoglu, F. The value of complete blood count parameters in predicting preterm de-livery. Eur. Rev. Med. Pharmacol. Sci. 2016, 20, 801–805. [Google Scholar] [PubMed]
- Quinn, J.-A.; Munoz, F.M.; Gonik, B.; Frau, L.; Cutland, C.; Mallett-Moore, T.; Kissou, A.; Wittke, F.; Das, M.; Nunes, T.; et al. Preterm birth: Case definition & guidelines for data collection, analysis, and presentation of immunisation safety data. Vaccine 2016, 34, 6047–6056. [Google Scholar] [CrossRef] [PubMed]
- Citu, C.; Gorun, F.; Motoc, A.; Sas, I.; Gorun, O.M.; Burlea, B.; Tuta-Sas, I.; Tomescu, L.; Neamtu, R.; Malita, D.; et al. The Predictive Role of NLR, d-NLR, MLR, and SIRI in COVID-19 Mortality. Diagnostics 2022, 12, 122. [Google Scholar] [CrossRef] [PubMed]
- Xi, F.; Chen, H.; Chen, Q.; Chen, D.; Chen, Y.; Sagnelli, M.; Chen, G.; Zhao, B.; Luo, Q. Second-trimester and third-trimester maternal lipid profiles significantly correlated to LGA and macrosomia. Arch. Gynecol. Obstet. 2021, 304, 885–894. [Google Scholar] [CrossRef] [PubMed]
- Citu, C.; Chiriac, V.D.; Citu, I.M.; Gorun, O.M.; Burlea, B.; Bratosin, F.; Popescu, D.-E.; Ratiu, A.; Buca, O.; Gorun, F. Appraisal of COVID-19 Vaccination Acceptance in the Romanian Pregnant Population. Vaccines 2022, 10, 952. [Google Scholar] [CrossRef] [PubMed]
- Toprak, E.; Bozkurt, M.; Çakmak, B.D.; Özçimen, E.E.; Silahlı, M.; Yumru, A.E.; Çalışkan, E. Platelet-to-lymphocyte ratio: A new inflammatory marker for the diagnosis of preterm premature rupture of membranes. J. Turk. Gynecol. Assoc. 2017, 18, 122–126. [Google Scholar] [CrossRef]
- Kacan, T.; Babacan, N.A.; Seker, M.; Yucel, B.; Bahceci, A.; Eren, A.A.; Eren, M.; Kilickap, S. Could the neutrophil to lymphocyte ratio be a poor prognostic factor for non small cell lung cancers? Asian Pac. J. Cancer Prev. 2014, 15, 2089–2094. [Google Scholar] [CrossRef]
- Xiao, W.-K.; Chen, D.; Li, S.-Q.; Fu, S.-J.; Peng, B.-G.; Liang, L.-J. Prognostic significance of neutrophil-lymphocyte ratio in hepatocellular carcinoma: A meta-analysis. BMC Cancer 2014, 14, 117. [Google Scholar] [CrossRef]
- Kurtoglu, E.; Kokcu, A.; Celik, H.; Tosun, M.; Malatyalioglu, E. May ratio of neutrophil to lymphocyte be useful in predicting the risk of developing preeclampsia? A pilot study. J. Matern. Neonatal Med. 2014, 28, 97–99. [Google Scholar] [CrossRef]
- Kurt, R.; Güler, A.; Silfeler, D.; Özçil, M.; Karateke, A.; Hakverdi, A. Relation of inflammatory markers with both presence and severity of hyperemesis gravidarum. Ginekol. Polska 2014, 85, 589–593. [Google Scholar] [CrossRef] [PubMed]
- Kirbas, A.; Biberoglu, E.; Daglar, K.; Iskender, C.; Erkaya, S.; Dede, H.; Uygur, D.; Danisman, N. Neutrophil-to-lymphocyte ratio as a diagnostic marker of intrahepatic cholestasis of pregnancy. Eur. J. Obstet. Gynecol. Reprod. Biol. 2014, 180, 12–15. [Google Scholar] [CrossRef] [PubMed]
- Köseoğlu, S.; Guzel, A.; Deveer, R.; Tokmak, A.; Engin-Ustun, Y.; Özdas, S.; Danışman, N. Maternal serum amyloid A levels in pregnancies complicated with preterm prelabour rupture of membranes. Ginekol. Polska 2014, 85, 516–520. [Google Scholar] [CrossRef] [PubMed]
- Lira, S.C.; Espinosa, M.G. Differences in the neutrophil/lymphocyte ratio and the platelet/lymphocyte ratio in pregnant women with and without COVID-19. Int. J. Gynecol. Obstet. 2021, 157, 296–302. [Google Scholar] [CrossRef] [PubMed]
- Kim, M.-A.; Lee, B.S.; Park, Y.-W.; Seo, K. Serum markers for prediction of spontaneous preterm delivery in preterm labour. Eur. J. Clin. Investig. 2011, 41, 773–780. [Google Scholar] [CrossRef]
- Ma, M.; Zhu, M.; Zhuo, B.; Li, L.; Chen, H.; Xu, L.; Wu, Z.; Cheng, F.; Xu, L.; Yan, J. Use of complete blood count for predicting preterm birth in asymptomatic pregnant women: A propensity score-matched analysis. J. Clin. Lab. Anal. 2020, 34, e23313. [Google Scholar] [CrossRef]
- Xiang, Y.; Wang, D.; Yang, J.-X.; Cao, D.-Y.; Wan, X.-R.; Feng, F.-Z.; Huang, H.-F.; Shen, K. Preoperative neutrophil-lymphocyte and platelet-lymphocyte ratios as independent predictors of cervical stromal involvement in surgically treated endometrioid adenocarcinoma. OncoTargets Ther. 2013, 6, 211–216. [Google Scholar] [CrossRef]
- Zhou, X.; Du, Y.; Huang, Z.; Xu, J.; Qiu, T.; Wang, J.; Wang, T.; Zhu, W.; Liu, P. Prognostic Value of PLR in Various Cancers: A Meta-Analysis. PLoS ONE 2014, 9, e101119. [Google Scholar] [CrossRef]
- Ekin, A.; Gezer, C.; Kulhan, G.; Avcı, M.E.; Taner, C.E. Can platelet count and mean platelet volume during the first trimester of pregnancy predict preterm premature rupture of membranes? J. Obstet. Gynaecol. Res. 2015, 41, 23–28. [Google Scholar] [CrossRef]
- Fois, A.G.; Paliogiannis, P.; Scano, V.; Cau, S.; Babudieri, S.; Perra, R.; Ruzzittu, G.; Zinellu, E.; Pirina, P.; Carru, C.; et al. The Systemic Inflammation Index on Admission Predicts In-Hospital Mortality in COVID-19 Patients. Molecules 2020, 25, 5725. [Google Scholar] [CrossRef]
- Auger, N.; Le, T.U.N.; Park, A.L.; Luo, Z.-C. Association between maternal comorbidity and preterm birth by severity and clinical subtype: Retrospective cohort study. BMC Pregnancy Childbirth 2011, 11, 67. [Google Scholar] [CrossRef] [PubMed]
- Tedesco, R.P.; Galvão, R.B.; Guida, J.P.; Passini-Júnior, R.; Lajos, G.J.; Nomura, M.L.; Rehder, P.M.; Dias, T.Z.; Souza, R.T.; Cecatti, J.G. The role of maternal infection in preterm birth: Evidence from the Brazilian Multicentre Study on Preterm Birth (EMIP). Clinics 2020, 75, e1508. [Google Scholar] [CrossRef] [PubMed]
- Belei, O.; Ancusa, O.; Mara, A.; Olariu, L.; Amaricai, E.; Folescu, R.; Zamfir, C.L.; Gurgus, D.; Motoc, A.G.; Stânga, L.C.; et al. Current Paradigm of Hepatitis E Virus Among Pediatric and Adult Patients. Front. Pediatr. 2021, 9, 721918. [Google Scholar] [CrossRef] [PubMed]
- Ellulu, M.S.; Patimah, I.; KhazáAi, H.; Rahmat, A.; Abed, Y. Obesity and inflammation: The linking mechanism and the complications. Arch. Med. Sci. 2017, 13, 851–863. [Google Scholar] [CrossRef] [PubMed]
- Twanow, J.-D.E.; McCabe, C.; Ream, M.A. The COVID-19 Pandemic and Pregnancy: Impact on Mothers and Newborns. Semin. Pediatr. Neurol. 2022, 42, 100977. [Google Scholar] [CrossRef] [PubMed]
- Atak, Z.; Ocakoğlu, S.R.; Uyanıklar, Ö.; Üstünyurt, E. The effect of COVID-19 infection on hematological parameters and early pregnancy loss. Périnat. J. 2022, 30, 172–178. [Google Scholar] [CrossRef]
- Piekos, S.N.; Roper, R.T.; Hwang, Y.M.; Sorensen, T.; Price, N.D.; Hood, L.; Hadlock, J.J. The effect of maternal SARS-CoV-2 infection timing on birth outcomes: A retrospective multicentre cohort study. Lancet Digit. Health 2022, 4, e95–e104. [Google Scholar] [CrossRef]
- Gulersen, M.; Blitz, M.J.; Rochelson, B.; Nimaroff, M.; Shan, W.; Bornstein, E. Clinical Implications of SARS-CoV-2 Infection in the Viable Preterm Period. Am. J. Perinatol. 2020, 37, 1077–1083. [Google Scholar] [CrossRef]
- Dileep, A.; ZainAlAbdin, S.; AbuRuz, S. Investigating the association between severity of COVID-19 infection during pregnancy and neonatal outcomes. Sci. Rep. 2022, 12, 3024. [Google Scholar] [CrossRef]
- Mahassadi, A.K.; Kissi, H.A.-K.; Attia, A.K. The Prognostic Values of Neutrophil-to-lymphocyte Ratio and Platelet-to-Lymphocyte Ratio at Baseline in Predicting the In-hospital Mortality in Black African Patients with Advanced Hepatocellular Carcinoma in Palliative Treatment: A Comparative Cohort Study. Hepatic Med. Évid. Res. 2021, 13, 123–134. [Google Scholar] [CrossRef]
- Hong, Y.M.; Yoon, K.T.; Hwang, T.H.; Cho, M. Pretreatment peripheral neutrophils, lymphocytes and monocytes predict long term survival in hepatocellular carcinoma. BMC Cancer 2020, 20, 937. [Google Scholar] [CrossRef] [PubMed]





| Variables * | Prematurity Group (n = 243) | No Prematurity Group (n = 243) | Significance |
|---|---|---|---|
| General characteristics | |||
| Age (years), mean ± SD | 29.6 ± 4.9 | 29.9 ± 5.0 | 0.504 |
| BMI (kg/m2), mean ± SD | 26.2 ± 3.3 | 22.4 ± 3.1 | <0.001 |
| Previous pregnancies | 0.892 | ||
| 1 | 152 (61.3%) | 157 (61.7%) | |
| 2 | 62 (23.4%) | 59 (25.9%) | |
| ≥3 | 29 (15.3%) | 27 (12.3%) | |
| Number of births | 0.099 | ||
| 1 | 187 (77.0%) | 171 (70.4%) | |
| ≥2 | 56 (23.0%) | 72 (29.6%) | |
| Comorbidities ** | 0.274 | ||
| 0 | 176 (72.4%) | 189 (77.8%) | |
| 1 | 54 (22.2%) | 40 (16.5%) | |
| ≥2 | 13 (5.3%) | 14 (5.8%) | |
| Obstetrical characteristics | |||
| Week of birth, mean ± SD | 35.9 ± 4.7 | 37.7 ± 5.1 | <0.001 |
| PPROM | 18 (7.4%) | 4 (1.6%) | 0.002 |
| Abnormal placental implantation | 24 (9.9%) | 18 (7.4%) | 0.332 |
| Cesarean delivery | 36 (14.8%) | 41 (21.0%) | 0.075 |
| UTIs during pregnancy | 44 (18.1%) | 28 (11.5%) | 0.041 |
| History of pregnancy loss | 4 (5.8%) | 9 (3.7%) | 0.285 |
| History of induced abortion | 11 (4.5%) | 7 (2.9%) | 0.336 |
| COVID-19 during pregnancy | 17 (7.0%) | 6 (2.5%) | 0.018 |
| COVID-19 vaccination status | 31 (12.8%) | 44 (18.1%) | 0.102 |
| Smoking status | 24 (9.9%) | 9 (3.7%) | 0.006 |
| Variables * | Prematurity Group (n = 243) | No Prematurity Group (n = 243) | Significance |
|---|---|---|---|
| Trimester of analysis | 0.783 | ||
| 2nd trimester | 103 (42.4%) | 106 (43.6%) | |
| 3rd trimester | 140 (57.6%) | 137 (56.4%) | |
| Serum parameters | |||
| WBC (×109/L) | 9.22 ± 5.70 | 8.94 ± 5.21 | 0.048 |
| Lymphocytes (×109/L) | 0.76 ± 0.48 | 1.05 ± 0.89 | <0.001 |
| Neutrophils (×109/L) | 8.10 ± 5.13 | 7.24 ± 4.97 | 0.061 |
| Monocytes (×109/L) | 0.56 ± 0.17 | 0.52 ± 0.19 | 0.014 |
| PLT (×109/L) | 210.8 ± 72.3 | 232.1 ± 79.6 | 0.002 |
| Hb (g/dL) | 11.72 ± 1.54 | 12.99 ± 1.60 | <0.001 |
| Inflammatory scores | |||
| NLR | 13.75 ± 9.13 | 9.06 ± 7.17 | <0.001 |
| dNLR | 6.92 ± 3.17 | 5.11 ± 3.09 | <0.001 |
| PLR | 286.2 ± 195.4 | 237.0 ± 203.8 | 0.007 |
| MLR | 0.86 ± 0.33 | 0.79 ± 0.21 | 0.005 |
| SII | 2351 ± 1044 | 2185 ± 1142 | 0.095 |
| SIRI | 6.94 ± 4.86 | 6.12 ± 4.91 | 0.064 |
| Inflammatory Scores | AUC | 95% CI | SE | Sensitivity | Specificity | Significance | |
|---|---|---|---|---|---|---|---|
| Lower Bound | Upper Bound | ||||||
| NLR dNLR | 0.694 0.655 | 0.561 0.538 | 0.843 | 0.078 | 71% | 66% | 0.009 |
| 0.822 | 0.074 | 65% | 70% | 0.022 | |||
| PLR | 0.682 | 0.556 | 0.857 | 0.081 | 70% | 69% | 0.015 |
| MLR | 0.607 | 0.462 | 0.705 | 0.093 | 66% | 63% | 0.048 |
| SII | 0.580 | 0.494 | 0.736 | 0.125 | 52% | 65% | 0.113 |
| SIRI | 0.496 | 0.317 | 0.692 | 0.183 | 48% | 69% | 0.157 |
| Risk | (95% CI) | Significance | |
|---|---|---|---|
| Hazard Ratio | |||
| NLR | 3.61 | 1.94–6.15 | <0.001 |
| dNLR | 3.13 | 1.82–5.34 | <0.001 |
| PLR | 4.07 | 1.25–7.84 | <0.001 |
| MLR | 1.96 | 1.44–3.78 | 0.002 |
| SII | 1.50 | 0.94–1.45 | 0.134 |
| SIRI | 1.24 | 0.92–1.97 | 0.090 |
| Adjusted Odds Ratio * | |||
| NLR | 4.23 | 1.81–7.36 | <0.001 |
| dNLR | 3.09 | 1.72–5.94 | <0.001 |
| PLR | 5.65 | 2.30–8.05 | <0.001 |
| MLR | 2.17 | 1.39–2.51 | 0.046 |
| SII | 1.58 | 0.99–1.93 | 0.217 |
| SIRI | 1.66 | 0.89–1.87 | 0.195 |
Publisher’s Note: MDPI stays neutral with regard to jurisdictional claims in published maps and institutional affiliations. |
© 2022 by the authors. Licensee MDPI, Basel, Switzerland. This article is an open access article distributed under the terms and conditions of the Creative Commons Attribution (CC BY) license (https://creativecommons.org/licenses/by/4.0/).
Share and Cite
Hrubaru, I.; Motoc, A.; Moise, M.L.; Miutescu, B.; Citu, I.M.; Pingilati, R.A.; Popescu, D.-E.; Dumitru, C.; Gorun, F.; Olaru, F.; et al. The Predictive Role of Maternal Biological Markers and Inflammatory Scores NLR, PLR, MLR, SII, and SIRI for the Risk of Preterm Delivery. J. Clin. Med. 2022, 11, 6982. https://doi.org/10.3390/jcm11236982
Hrubaru I, Motoc A, Moise ML, Miutescu B, Citu IM, Pingilati RA, Popescu D-E, Dumitru C, Gorun F, Olaru F, et al. The Predictive Role of Maternal Biological Markers and Inflammatory Scores NLR, PLR, MLR, SII, and SIRI for the Risk of Preterm Delivery. Journal of Clinical Medicine. 2022; 11(23):6982. https://doi.org/10.3390/jcm11236982
Chicago/Turabian StyleHrubaru, Ingrid, Andrei Motoc, Marius Liviu Moise, Bogdan Miutescu, Ioana Mihaela Citu, Raja Akshay Pingilati, Daniela-Eugenia Popescu, Catalin Dumitru, Florin Gorun, Flavius Olaru, and et al. 2022. "The Predictive Role of Maternal Biological Markers and Inflammatory Scores NLR, PLR, MLR, SII, and SIRI for the Risk of Preterm Delivery" Journal of Clinical Medicine 11, no. 23: 6982. https://doi.org/10.3390/jcm11236982
APA StyleHrubaru, I., Motoc, A., Moise, M. L., Miutescu, B., Citu, I. M., Pingilati, R. A., Popescu, D.-E., Dumitru, C., Gorun, F., Olaru, F., Erdelean, I., Forga, M., Nicolae, N., & Citu, C. (2022). The Predictive Role of Maternal Biological Markers and Inflammatory Scores NLR, PLR, MLR, SII, and SIRI for the Risk of Preterm Delivery. Journal of Clinical Medicine, 11(23), 6982. https://doi.org/10.3390/jcm11236982

