Associations between Cardiovascular Outcomes and Rheumatoid Arthritis: A Nationwide Population-Based Cohort Study
Abstract
1. Introduction
2. Materials and Methods
2.1. Data Source
2.2. Study Population
2.3. Data Collection
2.4. Study Outcomes and Follow up
2.5. Statistical Analysis
2.6. Data Availability Statement
3. Results
3.1. Study Population
3.2. Baseline Characteristics
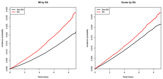
3.3. Clinical Outcomes in the Original Cohort
3.4. Clinical Outcomes in the Propensity Score-Matched Cohort
3.5. Stratified Analysis
4. Discussion
5. Conclusions
Supplementary Materials
Author Contributions
Funding
Institutional Review Board Statement
Informed Consent Statement
Data Availability Statement
Acknowledgments
Conflicts of Interest
References
- Avina-Zubieta, J.A.; Thomas, J.; Sadatsafavi, M.; Lehman, A.J.; Lacaille, D. Risk of incident cardiovascular events in patients with rheumatoid arthritis: A meta-analysis of observational studies. Ann. Rheum. Dis. 2012, 71, 1524–1529. [Google Scholar] [CrossRef] [PubMed]
- Peters, M.J.; van Halm, V.P.; Voskuyl, A.E.; Smulders, Y.M.; Boers, M.; Lems, W.F.; Visser, M.; Stehouwer, C.D.A.; Dekker, J.M.; Nijpels, G.; et al. Does rheumatoid arthritis equal diabetes mellitus as an independent risk factor for cardiovascular disease? A prospective study. Arthritis Rheum. 2009, 61, 1571–1579. [Google Scholar] [CrossRef] [PubMed]
- Van Halm, V.P.; Peters, M.J.; Voskuyl, A.E.; Boers, M.; Lems, W.F.; Visser, M.; Stehouwer, C.D.A.; Spijkerman, A.M.W.; Dekker, J.M.; Nijpels, G.; et al. Rheumatoid arthritis versus diabetes as a risk factor for cardiovascular disease: A cross-sectional study, the CARRE Investigation. Ann. Rheum. Dis. 2009, 68, 1395–1400. [Google Scholar] [CrossRef] [PubMed]
- Nikiphorou, E.; de Lusignan, S.; Mallen, C.D.; Khavandi, K.; Bedarida, G.; Buckley, C.D.; Galloway, J.; Raza, K. Cardiovascular risk factors and outcomes in early rheumatoid arthritis: A population-based study. Heart 2020, 106, 1566–1572. [Google Scholar] [CrossRef]
- Chung, W.S.; Lin, C.L.; Peng, C.L.; Chen, Y.F.; Lu, C.C.; Sung, F.C.; Kao, C.-H. Rheumatoid arthritis and risk of acute myocardial infarction—A nationwide retrospective cohort study. Int. J. Cardiol. 2013, 168, 4750–4754. [Google Scholar] [CrossRef]
- Fischer, L.M.; Schlienger, R.G.; Matter, C.; Jick, H.; Meier, C.R. Effect of rheumatoid arthritis or systemic lupus erythematosus on the risk of first-time acute myocardial infarction. Am. J. Cardiol. 2004, 93, 198–200. [Google Scholar] [CrossRef]
- Holmqvist, M.; Gränsmark, E.; Mantel, A.; Alfredsson, L.; Jacobsson, L.T.; Wallberg-Jonsson, S.; Askling, J. Occurrence and relative risk of stroke in incident and prevalent contemporary rheumatoid arthritis. Ann. Rheum. Dis. 2013, 72, 541–546. [Google Scholar] [CrossRef]
- Lee, T.H.; Song, G.G.; Choi, S.J.; Seok, H.; Jung, J.H. Relationship of rheumatoid arthritis and coronary artery disease in the Korean population: A nationwide cross-sectional study. Adv. Rheumatol. 2019, 59, 40. [Google Scholar] [CrossRef]
- Lindhardsen, J.; Ahlehoff, O.; Gislason, G.H.; Madsen, O.R.; Olesen, J.B.; Torp-Pedersen, C.; Hansen, P.R. The risk of myocardial infarction in rheumatoid arthritis and diabetes mellitus: A Danish nationwide cohort study. Ann. Rheum. Dis. 2011, 70, 929–934. [Google Scholar] [CrossRef]
- Maradit-Kremers, H.; Crowson, C.S.; Nicola, P.J.; Ballman, K.V.; Roger, V.L.; Jacobsen, S.J.; Gabriel, S.E. Increased unrecognized coronary heart disease and sudden deaths in rheumatoid arthritis: A population-based cohort study. Arthritis Rheum. 2005, 52, 402–411. [Google Scholar] [CrossRef]
- Nadareishvili, Z.; Michaud, K.; Hallenbeck, J.M.; Wolfe, F. Cardiovascular, rheumatologic, and pharmacologic predictors of stroke in patients with rheumatoid arthritis: A nested, case-control study. Arthritis Rheum. 2008, 59, 1090–1096. [Google Scholar] [CrossRef] [PubMed]
- Naranjo, A.; Sokka, T.; Descalzo, M.A.; Calvo-Alén, J.; Hørslev-Petersen, K.; Luukkainen, R.K.; Combe, B.; Burmester, G.R.; Devlin, J.; Ferraccioli, G.; et al. Cardiovascular disease in patients with rheumatoid arthritis: Results from the QUEST-RA study. Arthritis Res. Ther. 2008, 10, R30. [Google Scholar] [CrossRef]
- Solomon, D.H.; Goodson, N.J.; Katz, J.N.; Weinblatt, M.E.; Avorn, J.; Setoguchi, S.; Canning, C.; Schneeweiss, S. Patterns of cardiovascular risk in rheumatoid arthritis. Ann. Rheum. Dis. 2006, 65, 1608–1612. [Google Scholar] [CrossRef] [PubMed]
- Solomon, D.H.; Karlson, E.W.; Rimm, E.B.; Cannuscio, C.C.; Mandl, L.A.; Manson, J.E.; Stampfer, M.J.; Curhan, G.C. Cardiovascular morbidity and mortality in women diagnosed with rheumatoid arthritis. Circulation 2003, 107, 1303–1307. [Google Scholar] [CrossRef] [PubMed]
- Lee, D.H.; Sheen, S.H.; Lee, D.G.; Jang, J.W.; Lee, D.C.; Shin, S.H.; Han, I.-b.; Hong, J.B.; Kim, H.; Sohn, S. Association between ischemic stroke and seropositive rheumatoid arthritis in Korea: A nationwide longitudinal cohort study. PLoS ONE 2021, 16, e0251851. [Google Scholar] [CrossRef] [PubMed]
- Lee, J.K.; Kim, H.; Hong, J.B.; Sheen, S.H.; Han, I.B.; Sohn, S. Association of acute myocardial infarction with seropositive rheumatoid arthritis in Korea: A nationwide longitudinal cohort study. J. Clin. Neurosci. 2020, 78, 97–101. [Google Scholar] [CrossRef]
- Mackey, R.H.; Kuller, L.H.; Deane, K.D.; Walitt, B.T.; Chang, Y.F.; Holers, V.M.; Robinson, W.H.; Tracy, R.P.; Hlatky, M.A.; Eaton, C.B.; et al. Rheumatoid Arthritis, Anti-Cyclic Citrullinated Peptide Positivity, and Cardiovascular Disease Risk in the Women’s Health Initiative. Arthritis Rheumatol. 2015, 67, 2311–2322. [Google Scholar] [CrossRef]
- López-Longo, F.J.; Oliver-Miñarro, D.; de la Torre, I.; González-Díaz de Rábago, E.; Sánchez-Ramón, S.; Rodríguez-Mahou, M.; Paravisini, A.; Monteagudo, I.; González, C.-M.; García-Castro, M.; et al. Association between anti-cyclic citrullinated peptide antibodies and ischemic heart disease in patients with rheumatoid arthritis. Arthritis Rheum. 2009, 61, 419–424. [Google Scholar] [CrossRef]
- Sokolove, J.; Brennan, M.J.; Sharpe, O.; Lahey, L.J.; Kao, A.H.; Krishnan, E.; Edmundowicz, D.; Lepus, C.M.; Wasko, M.C.; Robinson, W.H. Brief report: Citrullination within the atherosclerotic plaque: A potential target for the anti-citrullinated protein antibody response in rheumatoid arthritis. Arthritis Rheum. 2013, 65, 1719–1724. [Google Scholar] [CrossRef]
- Bacani, A.K.; Gabriel, S.E.; Crowson, C.S.; Heit, J.A.; Matteson, E.L. Noncardiac vascular disease in rheumatoid arthritis: Increase in venous thromboembolic events? Arthritis Rheum. 2012, 64, 53–61. [Google Scholar] [CrossRef]
- Semb, A.G.; Kvien, T.K.; Aastveit, A.H.; Jungner, I.; Pedersen, T.R.; Walldius, G.; Holme, I. Lipids, myocardial infarction and ischaemic stroke in patients with rheumatoid arthritis in the Apolipoprotein-related Mortality RISk (AMORIS) Study. Ann. Rheum. Dis. 2010, 69, 1996–2001. [Google Scholar] [CrossRef] [PubMed]
- Södergren, A.; Stegmayr, B.; Ohman, M.L.; Wållberg-Jonsson, S. Increased incidence of stroke and impaired prognosis after stroke among patients with seropositive rheumatoid arthritis. Clin. Exp. Rheumatol. 2009, 27, 641–644. [Google Scholar] [PubMed]
- Turesson, C.; Jarenros, A.; Jacobsson, L. Increased incidence of cardiovascular disease in patients with rheumatoid arthritis: Results from a community based study. Ann. Rheum. Dis. 2004, 63, 952–955. [Google Scholar] [CrossRef] [PubMed]
- Nam, G.E.; Kim, W.; Han, K.; Lee, C.W.; Kwon, Y.; Han, B.; Park, S.; Park, J.-H.; Kim, Y.-H.; Kim, D.-H.; et al. Body Weight Variability and the Risk of Cardiovascular Outcomes and Mortality in Patients with Type 2 Diabetes: A Nationwide Cohort Study. Diabetes Care 2020, 43, 2234–2241. [Google Scholar] [CrossRef]
- Kim, S.; Kim, M.S.; You, S.H.; Jung, S.Y. Conducting and Reporting a Clinical Research Using Korean Healthcare Claims Database. Korean J. Fam. Med. 2020, 41, 146–152. [Google Scholar] [CrossRef]
- Kyoung, D.S.; Kim, H.S. Understanding and Utilizing Claim Data from the Korean National Health Insurance Service (NHIS) and Health Insurance Review & Assessment (HIRA) Database for Research. J. Lipid Atheroscler. 2022, 11, 103–110. [Google Scholar]
- Cho, S.K.; Sung, Y.K.; Choi, C.B.; Kwon, J.M.; Lee, E.K.; Bae, S.C. Development of an algorithm for identifying rheumatoid arthritis in the Korean National Health Insurance claims database. Rheumatol. Int. 2013, 33, 2985–2992. [Google Scholar] [CrossRef]
- Curtis, J.R.; Xie, F.; Zhou, H.; Salchert, D.; Yun, H. Use of ICD-10 diagnosis codes to identify seropositive and seronegative rheumatoid arthritis when lab results are not available. Arthritis Res. Ther. 2020, 22, 242. [Google Scholar] [CrossRef]
- Lee, S.R.; Choi, E.K.; Jung, J.H.; Han, K.D.; Oh, S.; Lip, G.Y.H. Lower risk of stroke after alcohol abstinence in patients with incident atrial fibrillation: A nationwide population-based cohort study. Eur. Heart J. 2021, 42, 4759–4768. [Google Scholar] [CrossRef]
- Choi, E.K. Cardiovascular Research Using the Korean National Health Information Database. Korean Circ. J. 2020, 50, 754–772. [Google Scholar] [CrossRef]
- Austin, P.C. An Introduction to Propensity Score Methods for Reducing the Effects of Confounding in Observational Studies. Multivar. Behav. Res. 2011, 46, 399–424. [Google Scholar] [CrossRef]
- Appelman, Y.; van Rijn, B.B.; Ten Haaf, M.E.; Boersma, E.; Peters, S.A. Sex differences in cardiovascular risk factors and disease prevention. Atherosclerosis 2015, 241, 211–218. [Google Scholar] [CrossRef] [PubMed]
- Baka, Z.; Buzás, E.; Nagy, G. Rheumatoid arthritis and smoking: Putting the pieces together. Arthritis Res. Ther. 2009, 11, 238. [Google Scholar] [CrossRef] [PubMed]
- Gonzalez, A.; Maradit Kremers, H.; Crowson, C.S.; Ballman, K.V.; Roger, V.L.; Jacobsen, S.J.; O’Fallon, W.M.; Gabriel, S.E. Do cardiovascular risk factors confer the same risk for cardiovascular outcomes in rheumatoid arthritis patients as in non-rheumatoid arthritis patients? Ann. Rheum. Dis. 2008, 67, 64–69. [Google Scholar] [CrossRef] [PubMed]
- Liao, K.P.; Solomon, D.H. Traditional cardiovascular risk factors, inflammation and cardiovascular risk in rheumatoid arthritis. Rheumatology 2013, 52, 45–52. [Google Scholar] [CrossRef]
- Kerola, A.M.; Rollefstad, S.; Semb, A.G. Atherosclerotic Cardiovascular Disease in Rheumatoid Arthritis: Impact of Inflammation and Antirheumatic Treatment. Eur. Cardiol. 2021, 16, e18. [Google Scholar] [CrossRef]
- Schieir, O.; Tosevski, C.; Glazier, R.H.; Hogg-Johnson, S.; Badley, E.M. Incident myocardial infarction associated with major types of arthritis in the general population: A systematic review and meta-analysis. Ann. Rheum. Dis. 2017, 76, 1396–1404. [Google Scholar] [CrossRef]
- Atzeni, F.; Rodríguez-Carrio, J.; Popa, C.D.; Nurmohamed, M.T.; Szűcs, G.; Szekanecz, Z. Cardiovascular effects of approved drugs for rheumatoid arthritis. Nat. Rev. Rheumatol. 2021, 17, 270–290. [Google Scholar] [CrossRef]
- Van den Oever, I.A.; van Sijl, A.M.; Nurmohamed, M.T. Management of cardiovascular risk in patients with rheumatoid arthritis: Evidence and expert opinion. Ther. Adv. Musculoskelet. Dis. 2013, 5, 166–181. [Google Scholar] [CrossRef]
- Bartoloni, E.; Shoenfeld, Y.; Gerli, R. Inflammatory and autoimmune mechanisms in the induction of atherosclerotic damage in systemic rheumatic diseases: Two faces of the same coin. Arthritis Care Res. 2011, 63, 178–183. [Google Scholar] [CrossRef]
- Crowson, C.S.; Rollefstad, S.; Ikdahl, E.; Kitas, G.D.; van Riel, P.; Gabriel, S.E.; Matteson, E.L.; Kvien, T.K.; Douglas, K.; Sandoo, A.; et al. Impact of risk factors associated with cardiovascular outcomes in patients with rheumatoid arthritis. Ann. Rheum. Dis. 2018, 77, 48–54. [Google Scholar] [CrossRef] [PubMed]
- Libby, P. Inflammation and cardiovascular disease mechanisms. Am. J. Clin. Nutr. 2006, 83, 456s–460s. [Google Scholar] [CrossRef] [PubMed]
- Skeoch, S.; Bruce, I.N. Atherosclerosis in rheumatoid arthritis: Is it all about inflammation? Nat. Rev. Rheumatol. 2015, 11, 390–400. [Google Scholar] [CrossRef] [PubMed]
- Gonzalez-Juanatey, C.; Testa, A.; Garcia-Castelo, A.; Garcia-Porrua, C.; Llorca, J.; Gonzalez-Gay, M.A. Active but transient improvement of endothelial function in rheumatoid arthritis patients undergoing long-term treatment with anti-tumor necrosis factor alpha antibody. Arthritis Rheum. 2004, 51, 447–450. [Google Scholar] [CrossRef] [PubMed]
- Myasoedova, E.; Chandran, A.; Ilhan, B.; Major, B.T.; Michet, C.J.; Matteson, E.L.; Crowson, C.S. The role of rheumatoid arthritis (RA) flare and cumulative burden of RA severity in the risk of cardiovascular disease. Ann. Rheum. Dis. 2016, 75, 560–565. [Google Scholar] [CrossRef]
- Navarro-Millán, I.; Yang, S.; DuVall, S.L.; Chen, L.; Baddley, J.; Cannon, G.W.; Delzell, E.S.; Zhang, J.; Safford, M.M.; Ptkar, N.M.; et al. Association of hyperlipidaemia, inflammation and serological status and coronary heart disease among patients with rheumatoid arthritis: Data from the National Veterans Health Administration. Ann. Rheum. Dis. 2016, 75, 341–347. [Google Scholar] [CrossRef]
- Gonzalez-Gay, M.A.; Gonzalez-Juanatey, C.; Lopez-Diaz, M.J.; Piñeiro, A.; Garcia-Porrua, C.; Miranda-Filloy, J.A.; Ollier, W.E.R.; Martin, J.; Llorca, J. HLA-DRB1 and persistent chronic inflammation contribute to cardiovascular events and cardiovascular mortality in patients with rheumatoid arthritis. Arthritis Rheum. 2007, 57, 125–132. [Google Scholar] [CrossRef]
- Mantel, Ä.; Holmqvist, M.; Nyberg, F.; Tornling, G.; Frisell, T.; Alfredsson, L.; Askling, J. Risk factors for the rapid increase in risk of acute coronary events in patients with new-onset rheumatoid arthritis: A nested case-control study. Arthritis Rheumatol. 2015, 67, 2845–2854. [Google Scholar] [CrossRef]
- Solomon, D.H.; Reed, G.W.; Kremer, J.M.; Curtis, J.R.; Farkouh, M.E.; Harrold, L.R.; Hochberg, M.C.; Tsao, P.; Greenberg, J.D. Disease activity in rheumatoid arthritis and the risk of cardiovascular events. Arthritis Rheumatol. 2015, 67, 1449–1455. [Google Scholar] [CrossRef]
- Myasoedova, E.; Gabriel, S.E.; Matteson, E.L.; Davis, J.M.; Therneau, T.M., 3rd; Crowson, C.S. Decreased Cardiovascular Mortality in Patients with Incident Rheumatoid Arthritis (RA) in Recent Years: Dawn of a New Era in Cardiovascular Disease in RA? J. Rheumatol. 2017, 44, 732–739. [Google Scholar] [CrossRef]
- Arts, E.E.; Fransen, J.; Den Broeder, A.A.; van Riel, P.; Popa, C.D. Low disease activity (DAS28 ≤ 3.2) reduces the risk of first cardiovascular event in rheumatoid arthritis: A time-dependent Cox regression analysis in a large cohort study. Ann. Rheum. Dis. 2017, 76, 1693–1699. [Google Scholar] [CrossRef]
- Fransen, J.; Kazemi-Bajestani, S.M.; Bredie, S.J.; Popa, C.D. Rheumatoid Arthritis Disadvantages Younger Patients for Cardiovascular Diseases: A Meta-Analysis. PLoS ONE 2016, 11, e0157360. [Google Scholar] [CrossRef] [PubMed]
- Rohrich, D.C.; van de Wetering, E.H.M.; Rennings, A.J.; Arts, E.E.; Meek, I.L.; den Broeder, A.A.; Fransen, J.; Popa, C.D. Younger age and female gender are determinants of underestimated cardiovascular risk in rheumatoid arthritis patients: A prospective cohort study. Arthritis Res. Ther. 2021, 23, 2. [Google Scholar] [CrossRef] [PubMed]
- Cutolo, M.; Straub, R.H. Stress as a risk factor in the pathogenesis of rheumatoid arthritis. Neuroimmunomodulation 2006, 13, 277–282. [Google Scholar] [CrossRef]
- Kerola, A.M.; Kerola, T.; Kauppi, M.J.; Kautiainen, H.; Virta, L.J.; Puolakka, K.; Nieminen, T.V. Cardiovascular comorbidities antedating the diagnosis of rheumatoid arthritis. Ann. Rheum. Dis. 2013, 72, 1826–1829. [Google Scholar] [CrossRef] [PubMed]
- Medeiros, G.; Azevedo, K.P.M.; Mesquita, G.X.B.; Lima, S.; Silva, D.F.O.; Pimenta, I.; Gonçalves, A.K.d.; Lyra, C.d.; Piuvezam, G. Red meat consumption, risk of incidence of cardiovascular disease and cardiovascular mortality, and the dose-response effect: Protocol for a systematic review and meta-analysis of longitudinal cohort studies. Medicine 2019, 98, e17271. [Google Scholar] [CrossRef]
- Jin, J.; Li, J.; Gan, Y.; Liu, J.; Zhao, X.; Chen, J.; Zhang, R.; Zhong, Y.; Chen, X.; Wu, L.; et al. Red meat intake is associated with early onset of rheumatoid arthritis: A cross-sectional study. Sci. Rep. 2021, 11, 5681. [Google Scholar] [CrossRef] [PubMed]
- Santilli, F.; D’Ardes, D.; Guagnano, M.T.; Davi, G. Metabolic Syndrome: Sex-Related Cardiovascular Risk and Therapeutic Approach. Curr. Med. Chem. 2017, 24, 2602–2627. [Google Scholar] [CrossRef]
- Arts, E.; Fransen, J.; Lemmers, H.; Stalenhoef, A.; Joosten, L.; van Riel, P.; Popa, C.D. High-density lipoprotein cholesterol subfractions HDL2 and HDL3 are reduced in women with rheumatoid arthritis and may augment the cardiovascular risk of women with RA: A cross-sectional study. Arthritis Res. Ther. 2012, 14, R116. [Google Scholar] [CrossRef]
- Sammaritano, L.R. Menopause in patients with autoimmune diseases. Autoimmun. Rev. 2012, 11, A430–A436. [Google Scholar] [CrossRef]
- Bove, R. Autoimmune diseases and reproductive aging. Clin. Immunol. 2013, 149, 251–264. [Google Scholar] [CrossRef] [PubMed]
- Pfeifer, E.C.; Crowson, C.S.; Amin, S.; Gabriel, S.E.; Matteson, E.L. The influence of early menopause on cardiovascular risk in women with rheumatoid arthritis. J. Rheumatol. 2014, 41, 1270–1275. [Google Scholar] [CrossRef] [PubMed]


| Variables | Patients with RA (n = 136,469) | Non-RA Matched Controls (n = 682,345) | p-Value |
|---|---|---|---|
| Age (years) | 54.6 ± 11.6 | 54.6 ± 11.6 | 1 |
| <40 | 12,943 (9.5) | 64,715 (9.5) | |
| 40–64 | 95,857 (70.2) | 479,285 (70.2) | |
| ≥65 | 27,669 (20.3) | 138,345 (20.3) | |
| Sex | 1 | ||
| Male | 36,075 (26.4) | 180,375 (26.4) | |
| Female | 100,394 (73.6) | 501,970 (73.6) | |
| Obesity | 44,023 (32.3) | 224,689 (33.0) | <0.0001 |
| Comorbidities | |||
| Hypertension | 46,501 (34.1) | 218,246 (32.0) | <0.0001 |
| Diabetes mellitus | 15,100 (11.1) | 73,297 (10.7) | 0.0005 |
| Hyperlipidemia | 42,222 (31.0) | 195,482 (28.7) | <0.0001 |
| CKD | 7171 (5.3) | 34,272 (5.0) | 0.0004 |
| Low income (lowest 25%) | 27,557 (20.2) | 138,664 (20.3) | 0.2801 |
| BMI (kg/m2) | 23.7 ± 3.2 | 23.8 ± 3.3 | <0.0001 |
| Smoking | 16,352 (12.0) | 84,278 (12.4) | 0.0002 |
| Alcohol drinking | 41,929 (30.7) | 227,156 (33.4) | <0.0001 |
| Regular exercise | 25,124 (18.4) | 136,120 (20.0) | <0.0001 |
| WC (cm) | 79.4 ± 9.1 | 79.4 ± 9.1 | 0.3348 |
| Systolic BP (mmHg) | 121.5 ± 14.9 | 122.2 ± 15.2 | <0.0001 |
| Diastolic BP (mmHg) | 75.3 ± 9.8 | 75.7 ± 10.0 | <0.0001 |
| Fasting glucose (mg/dL) | 97.6 ± 22.1 | 98.9 ± 23.3 | <0.0001 |
| Total C (mg/dL) | 196.8 ± 38.7 | 199.4 ± 37.6 | <0.0001 |
| eGFR (mL/min/1.73 m2) | 90.7 ± 37.1 | 90.0 ± 37.7 | <0.0001 |
| Subjects (n) | Events (n) | Follow-Up Duration (PYs) | Incident Rate * | Hazard Ratio (95% Confidence Interval) | ||||
|---|---|---|---|---|---|---|---|---|
| Model 1 | Model 2 | Model 3 | Model 4 | |||||
| MI | ||||||||
| Control | 682,345 | 6751 | 3238,554.1 | 2.08 | 1 (Ref.) | 1 (Ref.) | 1 (Ref.) | 1 (Ref.) |
| RA | 136,469 | 2061 | 643,279.58 | 3.20 | 1.53 (1.46, 1.61) | 1.55 (1.48, 1.63) | 1.55 (1.48, 1.63) | 1.54 (1.47, 1.62) |
| Stroke | ||||||||
| Control | 682,345 | 7552 | 3233,820.4 | 2.33 | 1 (Ref.) | 1 (Ref.) | 1 (Ref.) | 1 (Ref.) |
| RA | 136,469 | 1830 | 643,216.59 | 2.84 | 1.23 (1.17, 1.29) | 1.23 (1.17, 1.30) | 1.23 (1.17, 1.30) | 1.23 (1.16, 1.29) |
Publisher’s Note: MDPI stays neutral with regard to jurisdictional claims in published maps and institutional affiliations. |
© 2022 by the authors. Licensee MDPI, Basel, Switzerland. This article is an open access article distributed under the terms and conditions of the Creative Commons Attribution (CC BY) license (https://creativecommons.org/licenses/by/4.0/).
Share and Cite
Kang, S.; Han, K.; Jung, J.-H.; Eun, Y.; Kim, I.Y.; Hwang, J.; Koh, E.-M.; Lee, S.; Cha, H.-S.; Kim, H.; et al. Associations between Cardiovascular Outcomes and Rheumatoid Arthritis: A Nationwide Population-Based Cohort Study. J. Clin. Med. 2022, 11, 6812. https://doi.org/10.3390/jcm11226812
Kang S, Han K, Jung J-H, Eun Y, Kim IY, Hwang J, Koh E-M, Lee S, Cha H-S, Kim H, et al. Associations between Cardiovascular Outcomes and Rheumatoid Arthritis: A Nationwide Population-Based Cohort Study. Journal of Clinical Medicine. 2022; 11(22):6812. https://doi.org/10.3390/jcm11226812
Chicago/Turabian StyleKang, Seonyoung, Kyungdo Han, Jin-Hyung Jung, Yeonghee Eun, In Young Kim, Jiwon Hwang, Eun-Mi Koh, Seulkee Lee, Hoon-Suk Cha, Hyungjin Kim, and et al. 2022. "Associations between Cardiovascular Outcomes and Rheumatoid Arthritis: A Nationwide Population-Based Cohort Study" Journal of Clinical Medicine 11, no. 22: 6812. https://doi.org/10.3390/jcm11226812
APA StyleKang, S., Han, K., Jung, J.-H., Eun, Y., Kim, I. Y., Hwang, J., Koh, E.-M., Lee, S., Cha, H.-S., Kim, H., & Lee, J. (2022). Associations between Cardiovascular Outcomes and Rheumatoid Arthritis: A Nationwide Population-Based Cohort Study. Journal of Clinical Medicine, 11(22), 6812. https://doi.org/10.3390/jcm11226812

