Evaluation of Fecal Calprotectin, Serum C-Reactive Protein, Erythrocyte Sedimentation Rate, Seromucoid and Procalcitonin in the Diagnostics and Monitoring of Crohn’s Disease in Children
Abstract
1. Introduction
2. Objectives
3. Material and Methods
4. Statistical Analysis
5. Results
6. Discussion
7. Summary
8. Conclusions
- The determination of FC, CRP, ESR and AAG was useful in the differential diagnosis of CD and non-inflammatory gastrointestinal tract diseases in children;
- FC, CRP, ESR and AAG positively correlated with the clinical activity of CD in children assessed by PCDAI;
- The determination of FC, CRP and AAG was useful in the differentiation between active and inactive endoscopic changes in CD in children according to SES-CD;
- The determination of inflammatory markers was not useful in evaluating the location and phenotype of CD lesions in children.
Author Contributions
Funding
Institutional Review Board Statement
Informed Consent Statement
Conflicts of Interest
References
- Setty, M.; Russell, G.H.; Bousvaros, A. Clinical manifestations of Crohn disease in children and adolescents. In UpToDate: Industry-Leading Clinical Decision Support; Hoppin, A.G., Post , T.W., Eds.; UpToDate: Waltham, MA, USA, 2016; Available online: http://www.uptodate.com/home (accessed on 1 December 2016).
- Gomollón, F.; Dignass, A.; Annese, V.; Tilg, H.; Van Assche, G.; Lindsay, J.O.; Peyrin-Biroulet, L.; Cullen, G.J.; Daperno, M.; Kucharzik, T.; et al. 3rd European Evidence-based Consensus on the Diagnosis and Management of Crohn’s Disease 2016: Part 1: Diagnosis and Medical Management. J. Crohns Colitis 2017, 11, 3–25. [Google Scholar] [CrossRef] [PubMed]
- Schoepfer, A.; Dehlavi, M.; Fournier, N.; Safroneeva, E.; Straumann, A.; Pittet, V.; Peyrin-Biroulet, L.; Michetti, P.; Rogler, G.; Vavricka, S.; et al. Diagnostic delay in Crohn’s disease is associated with a complicated disease course and increased operation rate. Am. J. Gastroenterol. 2013, 108, 1744–1753. [Google Scholar] [CrossRef] [PubMed]
- Ruemmele, F.; Veres, G.; Kolho, K.; Griffiths, A.; Levine, A.; Escher, J.; Amil Dias, J.; Barabino, A.; Braegger, C.P.; Bronskyet, J.; et al. Consensus guidelines of ECCO/ESPGHAN on the medical management of pediatric Crohn’s disease. J. Crohns Colitis 2014, 8, 1179–1207. [Google Scholar] [CrossRef] [PubMed]
- Levine, A.; Griffiths, A.; Markowitz, J.; Wilson, D.; Turner, D.; Russell, R.; Fell, J.; Ruemmele, F.M.; Walters, T.; Sherlock, M.; et al. Pediatric modification of the Montreal classification for inflammatory bowel disease: The Paris classification. Inflamm. Bowel. Dis. 2011, 17, 1314–1321. [Google Scholar] [CrossRef] [PubMed]
- Degraeuwe, P.; Beld, M.; Ashorn, M.; Canani, R.B.; Day, A.; Diamanti, A.; Fagerberg, U.L.; Henderson, P.; Kolho, K.-L.; Van de Vijver, E.; et al. Faecal calprotectin in suspected paediatric inflammatory bowel disease. J. Pediatr. Gastroenterol. Nutr. 2015, 60, 339–346. [Google Scholar] [CrossRef] [PubMed]
- Vrabie, R.; Kane, S. Noninvasive Markers of Disease Activity in Inflammatory Bowel Disease. Gastroenterol. Hepatol. 2014, 10, 576–584. [Google Scholar]
- Shaoul, R.; Sladek, M.; Turner, D.; Paeregaard, A.; Veres, G.; Wauters, G.; Escher, J.; Dias, J.A.; Dias, J.A.; Lionetti, P.; et al. Limitations of fecal calprotectin at diagnosis in untreated pediatric Crohn’s disease. Inflamm. Bowel. Dis. 2012, 18, 1493–1497. [Google Scholar] [CrossRef] [PubMed]
- Tibble, J.; Bjarnason, I. Non-invasive investigation of inflammatory bowel disease. World J. Gastroenterol. 2001, 7, 460–465. [Google Scholar] [CrossRef] [PubMed]
- Müller, K.; Lakatos, P.; Papp, M.; Veres, G. Incidence and Paris Classification of Pediatric Inflammatory Bowel Disease. Gastroenterol. Res. Pract. 2014, 2014, 904307. [Google Scholar] [CrossRef]
- Ryżko, J.; Woynarowski, M. Zastosowanie skali punktowej w ocenie aktywności choroby Leśniowskiego-Crohna i wrzodziejącego zapalenia jelita grubego u dzieci. Pediatr. Pol. 1995, 70, 585–589. [Google Scholar]
- Daperno, M.; D’haens, G.; Van Assche, G.; Baert, F.; Bulois, P.; Maunoury, V.; Sostegni, R.; Rocca, R.; Pera, A.; Gevers, A.; et al. Development and validation of a new, simplified endoscopic activity score for Crohn’s disease: The SES-CD. Gastrointest. Endosc. 2004, 60, 505–512. [Google Scholar] [CrossRef]
- Koutroumpakis, E.; Katsanos, K. Implementation of the Simple Endoscopic Activity Score in Crohn’s Disease. Saudi J. Gastroenterol. Off. J. Saudi Gastroenterol. Assoc. 2016, 22, 183–191. [Google Scholar] [CrossRef] [PubMed]
- Henderson, P.; Anderson, N.; Wilson, D. The diagnostic accuracy of fecal calprotectin during the investigation of suspected pediatric inflammatory bowel disease: A systematic review and meta-analysis. Am. J. Gastroenterol. 2014, 109, 637–645. [Google Scholar] [CrossRef] [PubMed]
- Pfefferkorn, M.; Boone, J.; Nguyen, J.; Juliar, B.; Davis, M.; Parker, K. Utility of fecal lactoferrin in identifying Crohn disease activity in children. J. Pediatr. Gastroenterol. Nutr. 2010, 51, 425–428. [Google Scholar] [CrossRef] [PubMed]
- Krzesiek, E. Fecal Calprotectin as an Activity Marker of Inflammatory Bowel Disease in Children. Adv. Clin. Exp. Med. 2015, 24, 815–822. [Google Scholar] [CrossRef] [PubMed]
- Van Rheenen, P.; Van De Vijver, E.; Fidler, V. Faecal calprotectin for screening of patients with suspected inflammatory bowel disease: Diagnostic meta-analysis. BMJ 2010, 341, c3369. [Google Scholar] [CrossRef] [PubMed]
- Langhorst, J.; Elsenbruch, S.; Koelzer, J.; Rueffer, A.; Michalsen, A.; Dobos, G. Noninvasive markers in the assessment of intestinal inflammation in inflammatory bowel diseases: Performance of fecal lactoferrin, calprotectin, and PMN-elastase, CRP, and clinical indices. Am. J. Gastroenterol. 2008, 103, 162–169. [Google Scholar] [CrossRef]
- Sładek, M.; Ćmiel, A. Ocena wybranych badań laboratoryjnych u pacjentów z noworozpoznaną chorobą Leśniowskiego- Crohna mającą początek przed 18 rokiem życia. Pediatr Współcz Gastroenterol Hepatol Zyw. Dziecka 2011, 13, 143–149. [Google Scholar]
- Buderus, S.; Boone, J.; Lentze, M. Fecal lactoferrin: Reliable biomarker for intestinal inflammation in pediatric IBD. Gastroenterol. Res. Pract. 2015, 2015, 578527. [Google Scholar] [CrossRef] [PubMed]
- Mosli, M.; Zou, G.; Garg, S.; Feagan, S.; Macdonald, J.; Chande, N.; Sandborn, W.J.; Feagan, B.G. C-Reactive Protein, Fecal Calprotectin, and Stool Lactoferrin for Detection of Endoscopic Activity in Symptomatic Inflammatory Bowel Disease Patients: A Systematic Review and Meta-Analysis. Am. J. Gastroenterol. 2015, 110, 802–819. [Google Scholar] [CrossRef] [PubMed]
- Schoepfer, A.; Beglinger, C.; Straumann, A.; Trummler, M.; Vavricka, S.; Bruegger, L.; Seibold, F. Fecal calprotectin correlates more closely with the Simple Endoscopic Score for Crohn’s disease (SES-CD) than CRP, blood leukocytes, and the CDAI. Am. J. Gastroenterol. 2010, 105, 162–169. [Google Scholar] [CrossRef]
- Daniluk, U.; Daniluk, J.; Krasnodebska, M.; Lotowska, J.M.; Sobaniec-Lotowska, M.E.; Lebensztejn, D.M. The combination of fecal calprotectin with ESR, CRP and albumin discriminates more accurately children with Crohn’s disease. Adv. Med. Sci. 2019, 64, 9–14. [Google Scholar] [CrossRef] [PubMed]
- Turner, D.; Griffiths, A.M.; Walters, T.D.; Seah, T.; Markowitz, J.; Pfefferkorn, M.; Keljo, D.; Waxman, J.; Otley, A.; LeLeikoet, N.S.; et al. Mathematical weighting of the pediatric Crohn’s disease activity index (PCDAI) and comparison with its other short versions. Inflamm. Bowel. Dis. 2012, 18, 55–62. [Google Scholar] [CrossRef]
- Komraus, M.; Wos, H.; Wiecek, S.; Kajor, M.; Grzybowska-Chlebowczyk, U. Usefulness of Faecal Calprotectin Measurement in Children with Various Types of Inflammatory Bowel Disease. Mediat. Inflamm. 2012, 2012, 608249. [Google Scholar] [CrossRef] [PubMed]
- Roszak, D.; Galecka, M.; Cichy, W.; Szachta, P. Determination of faecal inflammatory marker concentration as a noninvasive method of evaluation of pathological activity in children with inflammatory bowel diseases. Adv. Med. Sci. 2015, 60, 246–252. [Google Scholar] [CrossRef]
- Scaioli, E.; Cardamone, C.; Scagliarini, M.; Zagari Rm Bazzoli, F.; Belluzzi, A. Can fecal calprotectin better stratify Crohn’s disease activity index? Ann. Gastroenterol. 2015, 28, 247–252. [Google Scholar]
- Zubin, G.; Peter, L. Predicting Endoscopic Crohn’s Disease Activity Before and After Induction Therapy in Children: A Comprehensive Assessment of PCDAI, CRP, and Fecal Calprotectin. Inflamm. Bowel. Dis. 2015, 21, 1386–1391. [Google Scholar] [PubMed]
- Tilakaratne, S.; Lemberg, D.; Leach, S.; Day, A. C-reactive protein and disease activity in children with Crohn’s disease. Dig. Dis. Sci. 2010, 55, 131–136. [Google Scholar] [CrossRef]
- Shentova-Eneva, R.; Velikova, T. Laboratory Assessment of Disease Activity in Pediatric Patients with Inflammatory Bowel Disease: What’s New? Gastroenterol. Insights 2020, 11, 58–71. [Google Scholar] [CrossRef]
- Chen, J.; Liu, T.; Gao, S.; Tong, X.; Deng, F.; Nie, B. Efficacy of noninvasive evaluations in monitoring inflammatory bowel disease activity: A prospective study in China. World J. Gastroenterol. 2017, 23, 8235–8247. [Google Scholar] [CrossRef] [PubMed]
- Hoekman, D.; Diederen, K.; Koot, B.; Tabbers, M.; Kindermann, A.; Benninga, M. Relationship of clinical symptoms with biomarkers of inflammation in pediatric inflammatory bowel disease. Eur. J. Pediatr. 2016, 175, 1335–1342. [Google Scholar] [CrossRef] [PubMed]
- Aomatsu, T.; Yoden, A.; Matsumoto, K.; Kimura, E.; Inoue, K.; Andoh, A.; Tamai, H. Fecal calprotectin is a useful marker for disease activity in pediatric patients with inflammatory bowel disease. Dig. Dis. Sci. 2011, 56, 2372–2377. [Google Scholar] [CrossRef] [PubMed]
- Sipponen, T.; Karkkainen, P.; Savilahti, E.; Kolho, K.L.; Nuutinen, H.; Turunen, U.; Färkkilä, M. Correlation of faecal calprotectin and lactoferrin with an endoscopic score for Crohn’s disease and histological findings. Aliment. Pharmacol. Ther. 2008, 28, 1221–1229. [Google Scholar] [CrossRef] [PubMed]
- Szczepański, M.; Dądalski, M.; Szymańska, E.; Meglicka, M.; Woynarowski, M.; Kierkuś, J. Fecal calprotectin is a good biomarker of mucosal healing in monitoring of children with IBD. Postępy Nauk. Medycznych. 2014, 3, 150–153. [Google Scholar]
- Sipponen, T.; Nuutinen, H.; Turunen, U.; Farkkila, M. Endoscopic evaluation of Crohn’s disease activity: Comparison of the CDEIS and the SES-CD. Inflamm. Bowel. Dis. 2010, 16, 2131–2136. [Google Scholar] [CrossRef]
- Koulaouzidis, A.; Douglas, S.; Rogers, M.; Arnott, I.; Plevris, J. Fecal calprotectin: A selection tool for small bowel capsule endoscopy in suspected IBD with prior negative bi-directional endoscopy. Scand. J. Gastroenterol. 2011, 46, 561–566. [Google Scholar] [CrossRef] [PubMed]
- Thia, K.; Chan, E.; Ling, K.; Ng, W.; Jacob, E.; Ooi, C. Role of procalcitonin in infectious gastroenteritis and inflammatory bowel disease. Dig. Dis. Sci. 2008, 53, 2960–2968. [Google Scholar] [CrossRef] [PubMed]
- Lippi, G.; Sanchis-Gomar, F. Procalcitonin in inflammatory bowel disease: Drawbacks and opportunities. World J. Gastroenterol. 2017, 23, 8283–8290. [Google Scholar] [CrossRef] [PubMed]



| Crohn’s Disease (n = 54) | Control Group (n = 47) | |
|---|---|---|
| Gender: n (%) | male: 30 (55.56%) female: 24 (44.44%) | male: 30 (63.83%) female: 17 (36.1%) |
| Age [years]: median (range) | 14.83 (5.58–18.00) | 13.94 (3.75–17.66) |
| Weight [kg]: median (range) | 44.7 (16.1–96.8) | 49.5 (13.6–116.6) |
| Growth [cm]: median (range) | 157.25 (109.0–191.0) | 160.0 (104.0–188.0 ) |
| Disease location: n (%) - L1 (distal 1/3 ileum ± limited cecal disease) - L2 (colonic) - L3 (ileocolonic) - L4 (upper disease; L4a- proximal to the ligament of Treitz; L4b- distal to the ligament of Treitz and proximal to distal 1/3 ileum) | - 6 (11.11%) - 24 (44.44%) - 23 (42.59%) - 1 (1.85%) | - |
| Disease behavior: n (%) - B1 (non-stricturing, non-penetrating) - B2 (structuring) - B3 (penetrating) + B2B3 (both penetrating and stricturing disease; either at the same or different times) | - 33 (61.11%) - 12 (22.22%) - 9 (16.66%) | - |
| p: perianal disease modifier | 30 (44.44%) | - |
| Growth - G0 (no evidence of growth delay) - G1 (growth delay) | - 42 (77.78%) - 12 (22.22%) | - |
| Group | Crohn’s Disease | Control Group | p-Value; p-Value (Mann–Whitney Test) | ||||||||
|---|---|---|---|---|---|---|---|---|---|---|---|
| n | Mean | ± SD | Range | Median | n | Mean | ± SD | Range | Median | ||
| FC 1 (µg/g) | 54 | 920.12 | 487.15 | 29.4–2126.47 | 936.85 | 47 | 60.24 | 77.96 | 1.9–397.74 | 33.18 | <0.0001; <0.0001 |
| CRP 2 (mg/L) | 54 | 17.72 | 21.61 | 0.2–101.7 | 10.75 | 47 | 1.36 | 3.67 | 0.2–25.1 | 0.3 | <0.0001; <0.0001 |
| ESR 3 (mm/h) | 54 | 24.64 | 14.3 | 5–84 | 25 | 46 | 6.09 | 4.6 | 2–19 | 5 | <0.0001; <0.0001 |
| AAG 4 (g/L) | 39 | 1.42 | 0.57 | 0.43–2.44 | 1.41 | 30 | 0.79 | 0.24 | 0.47–1.42 | 0.74 | <0.0001; <0.0001 |
| PCT 5 (ng/mL) | 26 | 0.076 | 0.093 | 0.05–0.52 | 0.05 | 17 | 0.052 | 0.007 | 0.05–0.08 | 0.05 | 0.3; 0.45 |
| FC (µg/g) | CRP (mg/L) | ESR (mm/h) | AAG (g/L) | PCT (ng/mL) | ||||||
|---|---|---|---|---|---|---|---|---|---|---|
| n | Median (Min–Max) | n | Median (Min–Max) | n | Median (Min–Max) | n | Median (Min–Max) | n | Median (Min–Max) | |
| Endoscopic localization of lesions in CD | ||||||||||
| - L1 | - 6 | - 897.36 (248.97–2126.47) | - 6 | - 6.45 (4–25.2) | - 6 | - 20 (8–38) | - 4 | - 1.4 (0.86–1.75) | - 2 | - 0.05 (0.05–0.05) |
| - L2 | - 24 | - 927.98 (78.46–1585.9 | - 24 | - 10.25 (0.2–101.7) | - 24 | - 25 (5–84) | - 18 | - 1.24 (0.43–2.44) | - 13 | - 0.05 (0.05–0.52) |
| - L3 | - 23 | - 1013.9 (79.4–1794.2) | - 23 | - 11.7 (1.3–86.7) | - 23 | - 25 (7–45) | - 16 | - 1.55 (0.48–2.19) | - 10 | - 0.05 (0.05–0.14) |
| ANOVA p-value | p = 0.579 | p = 0.669 | p = 0.684 | p = 0.84 | p = 0.69 | |||||
| Clinical characteristics of patients with CD | ||||||||||
| - B1 | - 33 | - 820.75 (29.4–2126.47) | - 33 | - 6.8 (0.2–101.7) | - 33 | - 22 (5–84) | - 22 | - 1.11 (1.43–2.41) | - 17 | - 0.05 (0.05–0.52) |
| - B2 | - 12 | - 1114.72 (685.61–1794.2) | - 12 | - 15.9 (2.7–86.7) | - 12 | - 24 (8–38) | - 9 | - 1.41 (0.89–2.19) | - 5 | - 0.05 (0.05–0.14) |
| - B3 + B2B3 | - 9 | - 1025.03 (270.8–1385.7) | - 9 | - 11 (5.7–50.9) | - 9 | - 25 (14–41) | - 8 | - 1.75 (1.41–2.05) | - 4 | - 0.05 (0.05–0.05) |
| ANOVA p-value | p = 0.157 | p = 0.46 | p = 0.96 | p = 0.14 | p = 0.82 | |||||
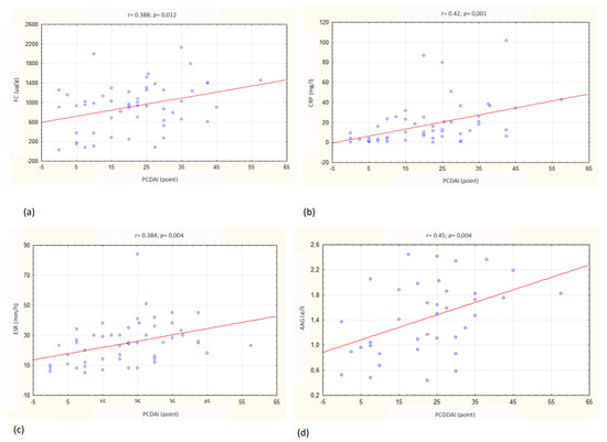
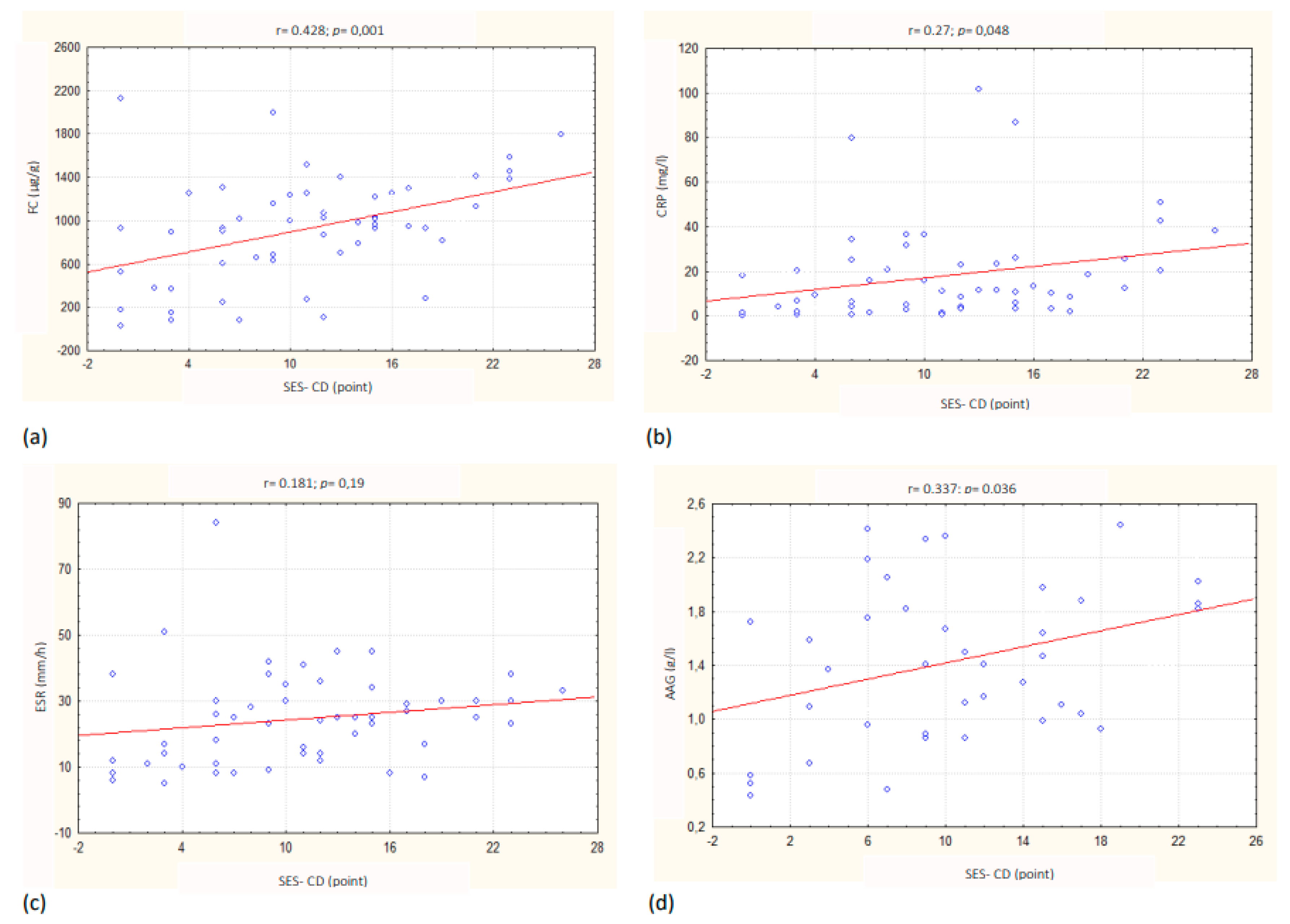
| FC (µg/g); n = 54 | CRP (mg/L); n = 54 | ESR (mm/h); n = 54 | AAG (g/L); n = 39 | PCT (ng/mL); n = 26 | ||||||
|---|---|---|---|---|---|---|---|---|---|---|
| Pearson Correlation Coefficient—r p-Value | r | p | R | p | r | p | r | p | r | p |
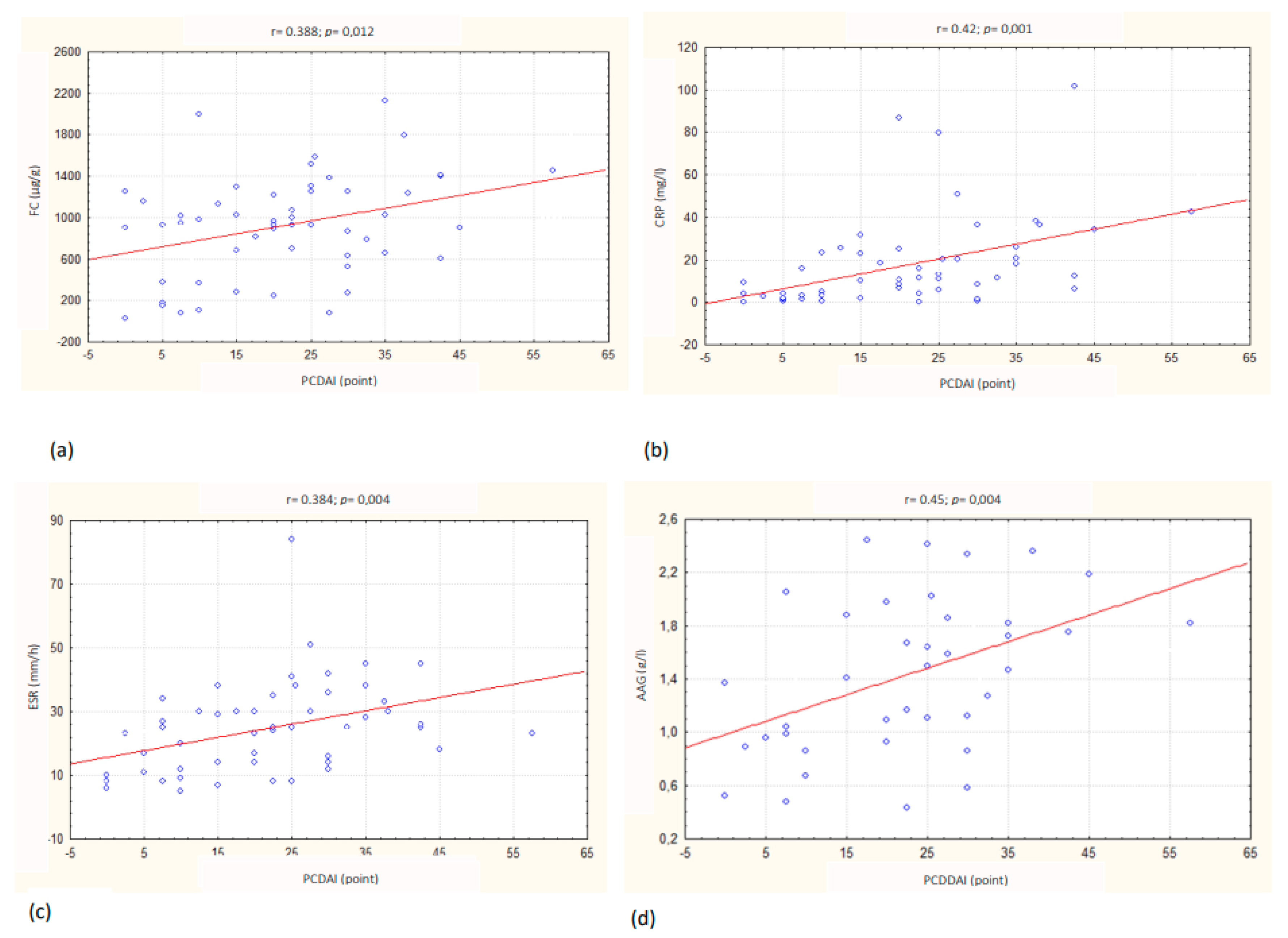
| PCDAI | 0.338 | 0.012 | 0.43 | 0.001 | 0.384 | 0.004 | 0.45 | 0.004 | 0.12 | 0.56 |
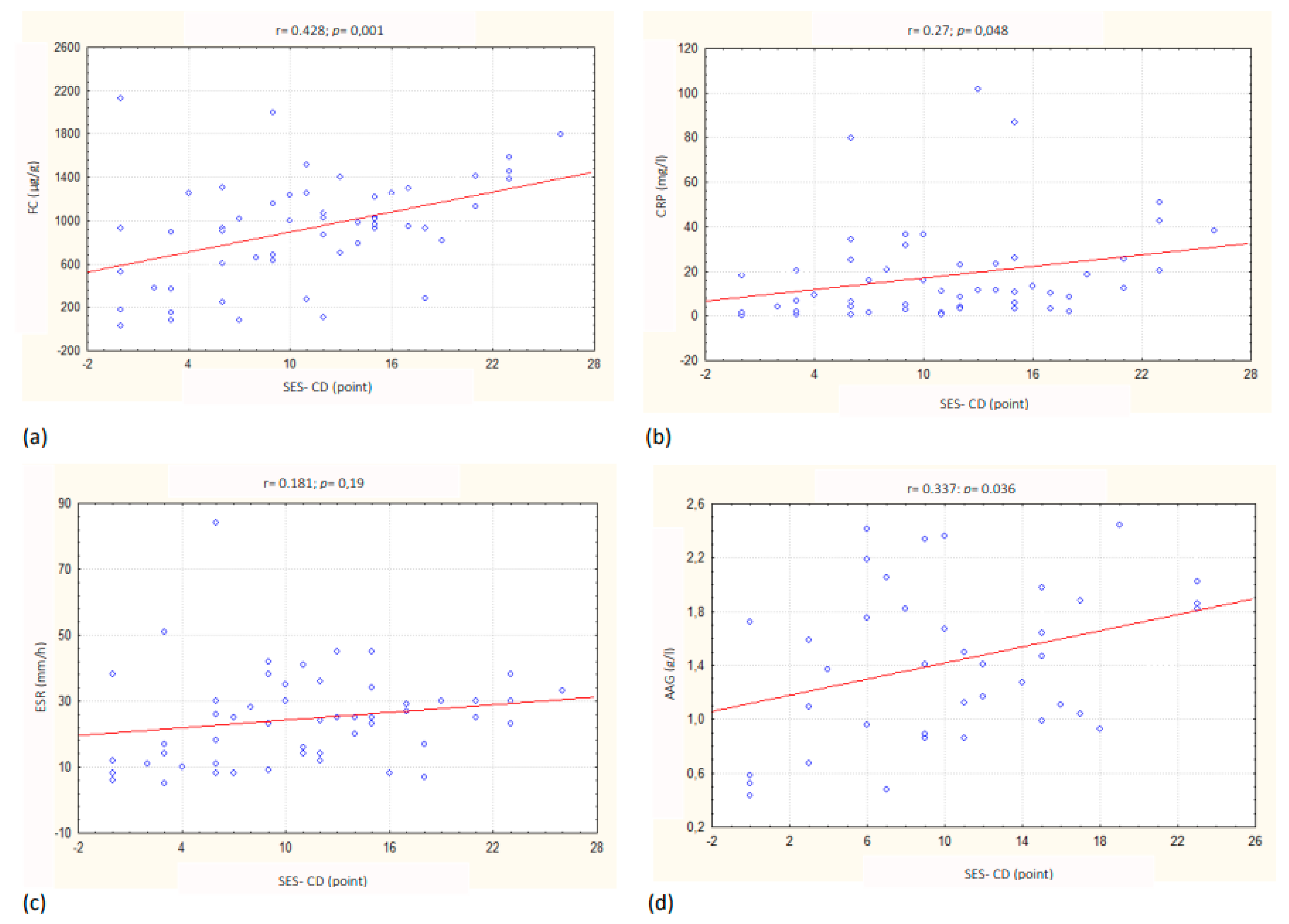
| SES-CD | 0.428 | 0.001 | 0.27 | 0.048 | 0.181 | 0.19 | 0.337 | 0.036 | 0.016 | 0.94 |
| FC (µg/g) | CRP (mg/L) | ESR (mm/h) | AAG (g/L) | PCT (ng/mL) | ||||||
|---|---|---|---|---|---|---|---|---|---|---|
| Activity of CD Clinical- PCDAI/Endoscopic- SES-CD | n | Median (Min–Max) | n | Median (Min–Max) | n | Median (Min–Max) | n | Median (Min–Max) | n | Median (Min–Max) |
| PCDAI (points) | ||||||||||
| - 0–10—clinical remission (G1) | - 16 | - 716.99 (29.4–2000) | - 16 | - 5.01 (0.2–101.7) | - 16 | - 15.07 (5–34) | - 10 | - 0.98 (0.48–2.5) | - 6 | - 0.05 (0.05–0.05) |
| - 11–25—mild disease (G2) | - 18 | - 989.21 (248.97–1297.23) | - 20 | - 20.5 (0.7–50.9) | - 20 | - 27.15 (5–45) | - 15 | - 1.54 (0.4–0.44) | - 10 | - 0.07 (0.05–0.14) |
| - 26–50 + > 50—moderate and severe disease (G3) | - 20 | - 1023.93 (78.482126.47) | - 18 | - 25.93 (0.7–86.7) | - 18 | - 29.83 (12–51) | - 14 | - 1.63 (0.58–0.36) | - 10 | - 0.05 (0.05–0.52) |
| ANOVA p-value | p = 0.14 | p = 0.012; p1 = 0.083; | p = 0.006; p1 = 0.034; | p = 0.012; p1 = 0.044; | p = 0.549 | |||||
| p; p1—G1:G2; p2—G1:G3; p3—G2:G3 | p2 = 0.015; p3 = 0.711 | p2 = 0.009; p3 = 0.821 | p2 = 0.019; p3 = 0.907 | |||||||
| I. SES-CD (points) | ||||||||||
| - 0–3—(endoscopic remision) | - 10 | - 566.65 (29.4–2126.47) | - 10 | - 16 (0.2–20.4) | - 10 | - 18 (5–51) | - 7 | - 0.94 (0.43–1.72) | - 3 | - 0.05 (0.05–0.05) |
| - >3—(mild, moderate or severe lesions) | - 44 | - 1000.46 (79.4–2000) | - 44 | - 22.41 (0.4–101.7) | - 44 | - 26 (7–84) | - 32 | - 1.53 (0.48–2.44) | - 23 | - 0.08 (0.05–0.52) |
| p-value | p = 0.01 | p = 0.047 | p = 0.127 | p = 0.012 | p = 0.617 | |||||
| II. SES-CD (points) | ||||||||||
| - 0–2 pkt. (endoscopic remision) | - 6 | - 694.95 (29.4–928.9) | - 10 | - 5.51 (0.2–20.4) | - 10 | - 18 (5–51) | - 4 | - 0.81 (0.43–1.72) | - 3 | - 0.05 (0.05–0.05) |
| - 3–6 pkt. (mild lesions) | - 11 | - 693.95 (78.46–1305.4) | - 16 | - 20.31 (0.7–79.7) | - 16 | - 26.65 (8–84) | - 8 | - 1.5 (0.67–2.41) | - 3 | - 0.077 (0.05–0.13) |
| - 7–15 pkt. (moderate lesions) | - 25 | - 420.2 (79.4–2000) | - 22 | - 17.59 (0.4–101.7) | - 22 | - 24.55 (7–45) | - 19 | - 1.44 (0.48–2.36) | - 13 | - 0.09 (0.05–0.52) |
| - >15 pkt. (severe lesions) | - 12 | - 404.6 (279.56–1794.2) | - 6 | - 31.61 (12.4–50.9) | - 6 | - 29.83 (23–38) | - 8 | - 1.64 (0.93–2.44) | - 6 | - 0.055 (0.05–0.08) |
| ANOVA p-value | p = 0.055 | p = 0.113 | p = 0.397 | p = 0.117 | p = 0.401 | |||||
| III. SES-CD | ||||||||||
| - 0–3 pkt. (endoscopic remision) | - 10 | - 566.65 (29.4–2126.47) | - 10 | - 5.51 (0.2–20.4) | - 10 | - 18 (5–51) | - 7 | - 0.94 (0.43–1.72) | - 3 | - 0.05 (0.05–0.05) |
| - 4–10 pkt. (mild lesions) | - 16 | - 912.48 (79.4–2000) | - 16 | - 20.31 (0.7–79.7) | - 16 | - 8 (8–84) | - 14 | - 1.61 (0.48–2.41) | - 9 | - 0.07 (0.05–0.14) |
| - 11–19 pkt.(moderate lesions) | - 22 | - 938.99 (104.71–1517.2) | - 22 | - 17.59 (0.4–101.7) | - 22 | - 24.55 (7–45) | - 15 | - 1.39 (0.86–2.44) | - 11 | - 0.09 (0.05–0.52) |
| - >19 (severe lesions) | - 6 | - 1460.46 (1128.8–1794.2) | - 6 | - 31.61 (12.4–50.9) | - 6 | - 29.83 (23–38) | - 3 | - 1.9 (1.82–2.02) | - 3 | - 0.06 (0.05–0.08) |
| ANOVA p-value | p = 0.038 | p = 0.113 | p = 0.397 | p = 0.029 | p = 0.886 | |||||
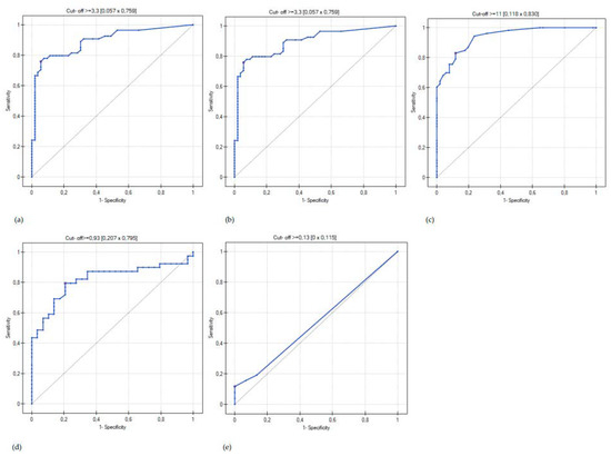
| AUC | 95% IC | p | Cut-Off | Sensitivity | Specificity | |
|---|---|---|---|---|---|---|
| FC (µg/g) | 0.95 | (0.91–0.99) | <0.001 | 248.97 | 0.89 | 0.94 |
| CRP (mg/L) | 0.89 | (0.83–0.96) | <0.001 | 3.3 | 0.76 | 0.94 |
| ESR (mm/h) | 0.94 | (0.89–0.97) | <0.001 | 11 | 0.83 | 0.88 |
| AAG (g/L) | 0.81 | (0.71–0.92) | <0.001 | 0.93 | 0.79 | 0.84 |
| PCT (ng/mL) | 0.54 | (0.42–0.65) | 0.69 | 0.13 | 0.11 | 1 |
Publisher’s Note: MDPI stays neutral with regard to jurisdictional claims in published maps and institutional affiliations. |
© 2022 by the authors. Licensee MDPI, Basel, Switzerland. This article is an open access article distributed under the terms and conditions of the Creative Commons Attribution (CC BY) license (https://creativecommons.org/licenses/by/4.0/).
Share and Cite
Akutko, K.; Iwańczak, B. Evaluation of Fecal Calprotectin, Serum C-Reactive Protein, Erythrocyte Sedimentation Rate, Seromucoid and Procalcitonin in the Diagnostics and Monitoring of Crohn’s Disease in Children. J. Clin. Med. 2022, 11, 6086. https://doi.org/10.3390/jcm11206086
Akutko K, Iwańczak B. Evaluation of Fecal Calprotectin, Serum C-Reactive Protein, Erythrocyte Sedimentation Rate, Seromucoid and Procalcitonin in the Diagnostics and Monitoring of Crohn’s Disease in Children. Journal of Clinical Medicine. 2022; 11(20):6086. https://doi.org/10.3390/jcm11206086
Chicago/Turabian StyleAkutko, Katarzyna, and Barbara Iwańczak. 2022. "Evaluation of Fecal Calprotectin, Serum C-Reactive Protein, Erythrocyte Sedimentation Rate, Seromucoid and Procalcitonin in the Diagnostics and Monitoring of Crohn’s Disease in Children" Journal of Clinical Medicine 11, no. 20: 6086. https://doi.org/10.3390/jcm11206086
APA StyleAkutko, K., & Iwańczak, B. (2022). Evaluation of Fecal Calprotectin, Serum C-Reactive Protein, Erythrocyte Sedimentation Rate, Seromucoid and Procalcitonin in the Diagnostics and Monitoring of Crohn’s Disease in Children. Journal of Clinical Medicine, 11(20), 6086. https://doi.org/10.3390/jcm11206086

