A Simpler Machine Learning Model for Acute Kidney Injury Risk Stratification in Hospitalized Patients
Abstract
1. Introduction
2. Materials and Methods
2.1. Setting and Participants
2.2. Definitions of AKI and Baseline Kidney Function
2.3. Predictors
Predictors and Missing Data
2.4. Machine Learning Algorithms
2.5. Performance Evaluation and Statistical Analysis
3. Results
3.1. Baseline Characteristics
3.2. Model Development
3.3. Model Performance
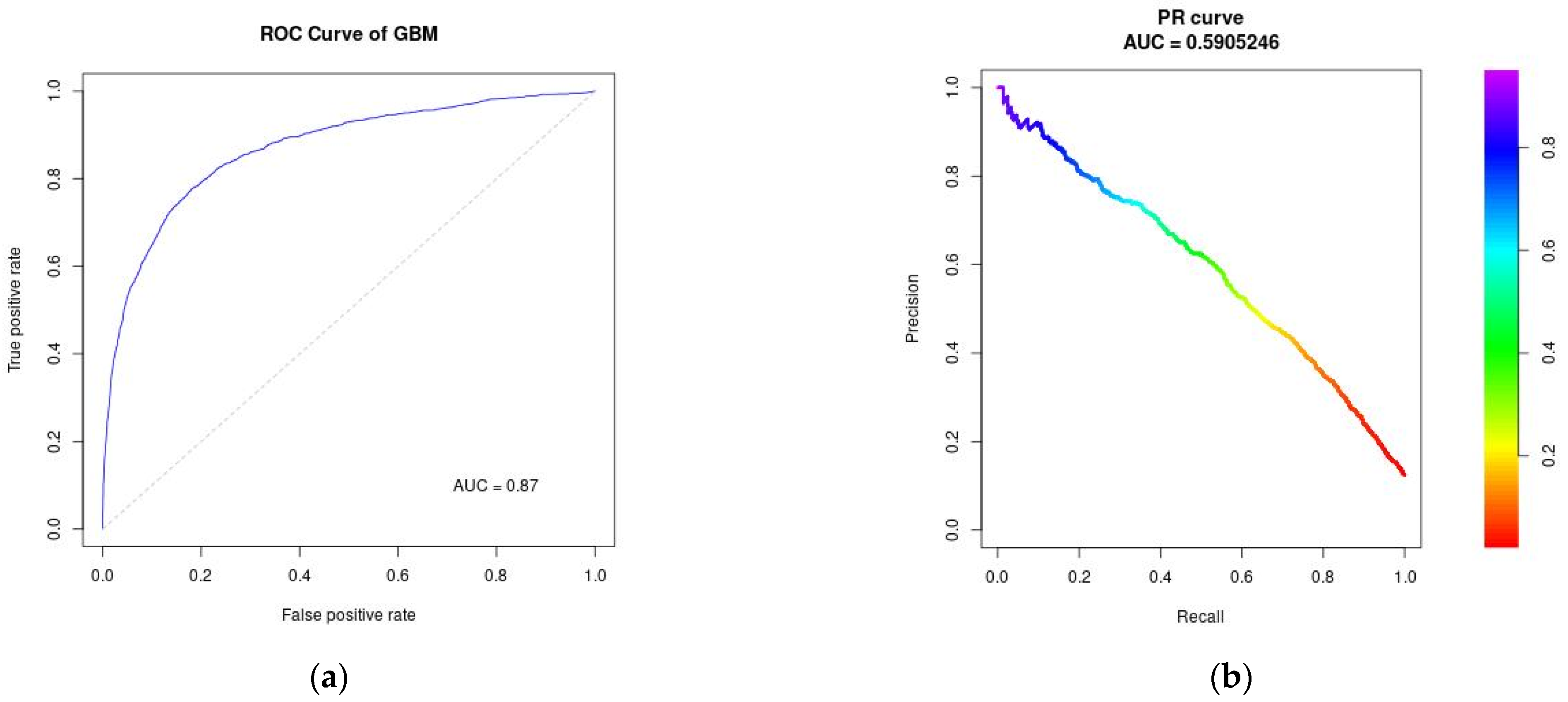
3.3.1. ROC Curve and Precision-Recall Curve
3.3.2. Performance Metrics by Threshold
3.3.3. Time from Prediction to AKI and Performance in Dialysis Requiring AKI
4. Discussion
5. Conclusions
Supplementary Materials
Author Contributions
Funding
Institutional Review Board Statement
Informed Consent Statement
Data Availability Statement
Acknowledgments
Conflicts of Interest
References
- Rewa, O.; Bagshaw, S.M. Acute Kidney Injury-Epidemiology, Outcomes and Economics. Nat. Rev. Nephrol. 2014, 10, 193–207. [Google Scholar] [CrossRef] [PubMed]
- Susantitaphong, P.; Cruz, D.N.; Cerda, J.; Abulfaraj, M.; Alqahtani, F.; Koulouridis, I.; Jaber, B.L. World Incidence of AKI: A Meta-Analysis. Clin. J. Am. Soc. Nephrol. 2013, 8, 1482–1493. [Google Scholar] [CrossRef] [PubMed]
- Chertow, G.M.; Burdick, E.; Honour, M.; Bonventre, J.V.; Bates, D.W. Acute Kidney Injury, Mortality, Length of Stay, and Costs in Hospitalized Patients. J. Am. Soc. Nephrol. 2005, 16, 3365–3370. [Google Scholar] [CrossRef] [PubMed]
- Kidney Disease: Improving Global Outcomes (KDIGO) Acute Kidney Injury Work Group. KDIGO Clinical Practice Guideline for Acute Kidney Injury. Kidney Int. Suppl. 2012, 2, c179–c184. [Google Scholar]
- Hodgson, L.E.; Selby, N.; Huang, T.-M.; Forni, L.G. The Role of Risk Prediction Models in Prevention and Management of AKI. Semin. Nephrol. 2019, 39, 421–430. [Google Scholar] [CrossRef]
- Hodgson, L.E.; Sarnowski, A.; Roderick, P.J.; Dimitrov, B.D.; Venn, R.M.; Forni, L.G. Systematic Review of Prognostic Prediction Models for Acute Kidney Injury (AKI) in General Hospital Populations. BMJ Open 2017, 7, e016591. [Google Scholar] [CrossRef]
- Gameiro, J.; Branco, T.; Lopes, J.A. Artificial Intelligence in Acute Kidney Injury Risk Prediction. J. Clin. Med. 2020, 9, 678. [Google Scholar] [CrossRef]
- Chaudhuri, S.; Long, A.; Zhang, H.; Monaghan, C.; Larkin, J.W.; Kotanko, P.; Kalaskar, S.; Kooman, J.P.; van der Sande, F.M.; Maddux, F.W.; et al. Artificial Intelligence Enabled Applications in Kidney Disease. Semin. Dial. 2021, 34, 5–16. [Google Scholar] [CrossRef]
- Biswas, A.; Saran, I.; Wilson, F.P. Introduction to Supervised Machine Learning. Kidney360 2021, 2, 878–880. [Google Scholar] [CrossRef]
- Wilson, F.P. Machine Learning to Predict Acute Kidney Injury. Am. J. Kidney Dis. 2020, 75, 965–967. [Google Scholar]
- Argyropoulos, A.; Townley, S.; Upton, P.M.; Dickinson, S.; Pollard, A.S. Identifying on Admission Patients Likely to Develop Acute Kidney Injury in Hospital. BMC Nephrol. 2019, 20, 56. [Google Scholar] [CrossRef] [PubMed]
- Cheng, P.; Waitman, L.R.; Hu, Y.; Liu, M. Predicting Inpatient Acute Kidney Injury over Different Time Horizons: How Early and Accurate? AMIA Annu. Symp. Proc. 2017, 2017, 565–574. [Google Scholar] [PubMed]
- Chawla, L.S.; Bellomo, R.; Bihorac, A.; Goldstein, S.L.; Siew, E.D.; Bagshaw, S.M.; Bittleman, D.; Cruz, D.; Endre, Z.; Fitzgerald, R.L.; et al. Acute Kidney Disease and Renal Recovery: Consensus Report of the Acute Disease Quality Initiative (ADQI) 16 Workgroup. Nat. Rev. Nephrol. 2017, 13, 241–257. [Google Scholar] [CrossRef]
- Siew, E.D.; Matheny, M.E. Choice of Reference Serum Creatinine in Defining Acute Kidney Injury. Nephron 2015, 131, 107–112. [Google Scholar] [CrossRef] [PubMed]
- Levey, A.S.; Stevens, L.A.; Coresh, J.; Schmid, C.H.; Yaping, Z.; Castro, A.F.; Feldman, H.I.; Kusek, J.W.; Eggers, P.; van Lente, F.; et al. A New Equation to Estimate Glomerular Filtration Rate. Ann. Intern. Med. 2009, 150, 604–612. [Google Scholar] [CrossRef] [PubMed]
- White, I.R.; Royston, P.; Wood, A.M. Multiple Imputation using Chained Equations: Issues and Guidance for Practice. Stat. Med. 2011, 30, 377–399. [Google Scholar] [CrossRef] [PubMed]
- Tibshirani, R. Regression Shrinkage and Selection via the Lasso. J. R. Stat. Soc. Ser. B Methodol. 1996, 58, 267–288. [Google Scholar] [CrossRef]
- Couronné, R.; Probst, P.; Boulesteix, A. Random Forest Versus Logistic Regression: A Large-Scale Benchmark Experiment. BMC Bioinform. 2018, 19, 27. [Google Scholar] [CrossRef] [PubMed]
- Zhang, Z.; Zhao, Y.; Canes, A.; Steinberg, D.; Lyashevska, O. Predictive Analytics with Gradient Boosting in Clinical Medicine. Ann. Transl. Med. 2019, 7, 152. [Google Scholar] [CrossRef]
- Song, X.; Liu, X.; Liu, F.; Wang, C. Comparison of Machine Learning and Logistic Regression Models in Predicting Acute Kidney Injury: A Systematic Review and Meta-Analysis. Int. J. Med. Inf. 2021, 151, 104484. [Google Scholar] [CrossRef]
- Kellum, J.A.; Bihorac, A. Artificial Intelligence to Predict AKI: Is it a Breakthrough? Nat. Rev. Nephrol. 2019, 15, 663–664. [Google Scholar] [CrossRef] [PubMed]
- Tomašev, N.; Glorot, X.; Rae, J.W.; Zielinski, M.; Askham, H.; Saraiva, A.; Mottram, A.; Meyer, C.; Ravuri, S.; Protsyuk, I.; et al. A Clinically Applicable Approach to Continuous Prediction of Future Acute Kidney Injury. Nature 2019, 572, 116–119. [Google Scholar] [CrossRef] [PubMed]
- Churpek, M.M.; Carey, K.A.; Edelson, D.P.; Singh, T.; Astor, B.C.; Gilbert, E.R.; Winslow, C.; Shah, N.; Afshar, M.; Koyner, J.L. Internal and External Validation of a Machine Learning Risk Score for Acute Kidney Injury. JAMA Netw. Open 2020, 3, e2012892. [Google Scholar] [CrossRef] [PubMed]
- Kate, R.J.; Perez, R.M.; Mazumdar, D.; Pasupathy, K.S.; Nilakantan, V. Prediction and Detection Models for Acute Kidney Injury in Hospitalized Older Adults. BMC Med. Inf. Decis. Mak. 2016, 16, 39. [Google Scholar] [CrossRef]
- Flechet, M.; Falini, S.; Bonetti, C.; Güiza, F.; Schetz, M.; Van den Berghe, G.; Meyfroidt, G. Machine Learning Versus Physicians’ Prediction of Acute Kidney Injury in Critically Ill Adults: A Prospective Evaluation of the AKIpredictor. Crit. Care 2019, 23, 282. [Google Scholar] [CrossRef]
- Park, S.; Lee, H. Acute Kidney Injury Prediction Models: Current Concepts and Future Strategies. Curr. Opin. Nephrol. Hypertens. 2019, 28, 552–559. [Google Scholar] [CrossRef]
- Liu, K.; Zhang, X.; Chen, W.; Yu, A.S.L.; Kellum, J.A.; Matheny, M.E.; Simpson, S.Q.; Hu, Y.; Liu, M. Development and Validation of a Personalized Model with Transfer Learning for Acute Kidney Injury Risk Estimation using Electronic Health Records. JAMA Netw. Open 2022, 5, e2219776. [Google Scholar] [CrossRef]
- Meersch, M.; Schmidt, C.; Hoffmeier, A.; Van Aken, H.; Wempe, C.; Gerss, J.; Zarbock, A. Prevention of Cardiac Surgery-Associated AKI by Implementing the KDIGO Guidelines in High Risk Patients Identified by Biomarkers: The PrevAKI Randomized Controlled Trial. Intensive Care Med. 2017, 43, 1551–1561. [Google Scholar] [CrossRef]
- An Early Real-Time Electronic Health Record Risk Algorithm for the Prevention and Treatment of Acute Kidney Injury: A Randomized Trial of an Early Standardized, Personalized Nephrology Intervention. Available online: https://clinicaltrials.gov/ct2/show/NCT03590028 (accessed on 4 September 2022).
- Vanmassenhove, J.; Steen, J.; Vansteelandt, S.; Morzywolek, P.; Hoste, E.; Decruyenaere, J.; Benoit, D.; Van Biesen, W. The Importance of the Urinary Output Criterion for the Detection and Prognostic Meaning of AKI. Sci. Rep. 2021, 11, 11089. [Google Scholar] [CrossRef]
- Chertow, G.M.; Normand, S.T.; McNeil, B.J. “Renalism”: Inappropriately Low Rates of Coronary Angiography in Elderly Individuals with Renal Insufficiency. J. Am. Soc. Nephrol. 2004, 15, 2462–2468. [Google Scholar] [CrossRef]



| Rule | Creatinine Available Prior to Admission | Baseline Creatinine |
|---|---|---|
| 1 | 3 or more outpatient values available in 14–365 days prior to admission (PTA) | Mean of all outpatient values |
| 2 | 2 outpatient values available in 14–365 days PTA + some prior inpatient values | Mean of 2 outpatient and lowest inpatient value |
| 3 | 1 or fewer outpatient creatinine values in 14–365 days PTA but outpatient values available within 18 months PTA | Mean of all outpatient values |
| 4 | No outpatient creatinine values in 18 months PTA but patient had prior inpatient admissions | Mean of 3 lowest inpatient values |
| 5 | No prior inpatient or outpatient creatinine available | Creatinine at admission |
| AKI | No AKI | p-Value | |
|---|---|---|---|
| Total, n, (%) | 26,345 (12.6) | 182,646 (87.4) | |
| Age, mean (SD) | 70.10 (15.5) | 63.25 (19.0) | <0.001 |
| Male gender, n (%) | 13,746 (52.2) | 79,178 (43.4) | <0.001 |
| Body mass index, mean (SD) | 31.38 (8.7) | 30.51 (8.3) | <0.001 |
| Comorbidities | |||
| Atrial fibrillation, n (%) | 6745 (25.6) | 28,225 (15.5) | <0.001 |
| Coronary artery disease, n (%) | 8940 (33.9) | 40,102 (22.0) | <0.001 |
| Cancer, n (%) | 3974 (15.1) | 22,808 (12.5) | <0.001 |
| Congestive Heart Failure, n (%) | 9048 (34.3) | 29,707 (16.3) | <0.001 |
| Chronic Kidney Disease, n (%) | 10,061 (38.2) | 31,561 (17.3) | <0.001 |
| Obstructive Lung Disease, n (%) | 5645 (21.4) | 31,688 (17.3) | <0.001 |
| Diabetes Mellitus, n (%) | 10,990 (41.7) | 47,212 (25.8) | <0.001 |
| Gastrointestinal Bleed, n (%) | 3007 (11.4) | 14,666 (8.0) | <0.001 |
| Hypertension, n (%) | 17,303 (65.7) | 91,761 (50.2) | <0.001 |
| Peripheral vascular disease, n (%) | 4042 (15.3) | 17,206 (9.4) | <0.001 |
| Respiratory failure, n (%) | 3749 (14.2) | 16,746 (9.2) | <0.001 |
| Medications | |||
| ACE/ARB, n (%) | 7177 (27.2) | 44,061 (24.1) | <0.001 |
| Antianginal medications, n (%) | 8470 (32.2) | 38,972 (21.3) | <0.001 |
| Anticoagulants, n (%) | 9692 (36.8) | 59,381 (32.5) | <0.001 |
| Diuretics, n (%) | 14,345 (54.5) | 54,681 (29.9) | <0.001 |
| Lipid lowering medication, n (%) | 12,470 (47.3) | 71,550 (39.2) | <0.001 |
| Nephrotoxic antibiotics, n (%) | 3215 (12.2) | 18,232 (10.0) | <0.001 |
| Lab measurements, mean (standard deviation) | |||
| Serum albumin, g/dL | 3.21 (0.7) | 3.54 (0.6) | <0.001 |
| Total Bilirubin, mg/dL | 1.2 (2.7) | 0.8 (1.3) | <0.001 |
| Blood urea nitrogen, mg/dL | 40.9 (25.5) | 19.2 (12.3) | <0.001 |
| Serum creatinine, mg/dL | 2.1 (1.4) | 1.0 (0.5) | <0.001 |
| Blood glucose, mg/dL | 140 (63.3) | 131 (53.6) | <0.001 |
| Hemoglobin, g/dL | 10.6 (2.1) | 11.5 (2.1) | <0.001 |
| Prothrombin time, INR | 1.8 (1.1) | 1.5 (0.8) | <0.001 |
| Leukocyte count, ×1000/mL | 11.2 (10.8) | 9.9 (6.6) | <0.001 |
| LASSO | Random Forest | Gradient Boost |
|---|---|---|
| Serum Creatinine ** | Serum Creatinine ** | Serum Creatinine ** |
| CKD ** | eGFR * | eGFR * |
| Diuretic use ** | Mean arterial pressure * | Mean arterial pressure * |
| Serum albumin | CKD ** | CKD ** |
| Calcium channel blocker | Diuretic use ** | Diuretic use ** |
| Vasodilator therapy | Body Mass Index * | White Blood Cell * |
| Thrombocytopenia ** | Hypercalcemia * | Prothrombin time (INR) * |
| NSAID use | Hemoglobin * | Serum sodium |
| Steroid use | Platelet count * | Platelet count * |
| Antidiabetic meds ** | White Blood Cell * | Hemoglobin * |
| Respiratory failure * | Prothrombin time (INR) * | Antidiabetic meds ** |
| Serum potassium | Thrombocytopenia ** | Body Mass Index * |
| Nephrotoxic antibiotics * | Antidiabetic meds ** | Thrombocytopenia ** |
| Cancer | Hypertension | Hypercalcemia * |
| Anticoagulants | Congestive Heart Failure | Respiratory failure * |
| LASSO | |||
|---|---|---|---|
| Cut-Off | Sensitivity | Specificity | NPV |
| 0.05 | 0.96 | 0.29 | 0.98 |
| 0.10 | 0.91 | 0.51 | 0.98 |
| 0.15 | 0.84 | 0.68 | 0.97 |
| 0.20 | 0.76 | 0.80 | 0.96 |
| 0.50 | 0.29 | 0.98 | 0.91 |
| Random Forest | |||
| Cut-Off | Sensitivity | Specificity | NPV |
| 0.05 | 0.92 | 0.48 | 0.98 |
| 0.10 | 0.86 | 0.69 | 0.97 |
| 0.15 | 0.80 | 0.79 | 0.96 |
| 0.20 | 0.73 | 0.85 | 0.96 |
| 0.50 | 0.41 | 0.97 | 0.92 |
| Gradient Boosting Machines | |||
| Cut-Off | Sensitivity | Specificity | NPV |
| 0.05 | 0.90 | 0.59 | 0.98 |
| 0.10 | 0.81 | 0.77 | 0.97 |
| 0.15 | 0.74 | 0.85 | 0.96 |
| 0.20 | 0.67 | 0.89 | 0.95 |
| 0.50 | 0.41 | 0.97 | 0.92 |
Publisher’s Note: MDPI stays neutral with regard to jurisdictional claims in published maps and institutional affiliations. |
© 2022 by the authors. Licensee MDPI, Basel, Switzerland. This article is an open access article distributed under the terms and conditions of the Creative Commons Attribution (CC BY) license (https://creativecommons.org/licenses/by/4.0/).
Share and Cite
Hu, Y.; Liu, K.; Ho, K.; Riviello, D.; Brown, J.; Chang, A.R.; Singh, G.; Kirchner, H.L. A Simpler Machine Learning Model for Acute Kidney Injury Risk Stratification in Hospitalized Patients. J. Clin. Med. 2022, 11, 5688. https://doi.org/10.3390/jcm11195688
Hu Y, Liu K, Ho K, Riviello D, Brown J, Chang AR, Singh G, Kirchner HL. A Simpler Machine Learning Model for Acute Kidney Injury Risk Stratification in Hospitalized Patients. Journal of Clinical Medicine. 2022; 11(19):5688. https://doi.org/10.3390/jcm11195688
Chicago/Turabian StyleHu, Yirui, Kunpeng Liu, Kevin Ho, David Riviello, Jason Brown, Alex R. Chang, Gurmukteshwar Singh, and H. Lester Kirchner. 2022. "A Simpler Machine Learning Model for Acute Kidney Injury Risk Stratification in Hospitalized Patients" Journal of Clinical Medicine 11, no. 19: 5688. https://doi.org/10.3390/jcm11195688
APA StyleHu, Y., Liu, K., Ho, K., Riviello, D., Brown, J., Chang, A. R., Singh, G., & Kirchner, H. L. (2022). A Simpler Machine Learning Model for Acute Kidney Injury Risk Stratification in Hospitalized Patients. Journal of Clinical Medicine, 11(19), 5688. https://doi.org/10.3390/jcm11195688

