Effect of Dipeptidyl Peptidase-4 Inhibitors vs. Metformin on Major Cardiovascular Events Using Spontaneous Reporting System and Real-World Database Study
Abstract
:1. Introduction
2. Materials and Methods
2.1. Disproportionality Analysis
2.1.1. Data Source
2.1.2. Definitions of Suspected Drugs and Adverse Events
2.1.3. Statistical Analysis
2.2. Real-World Evidence Study
2.2.1. Data Source
2.2.2. Patients
2.2.3. Confounder Control and Matching
2.2.4. Outcomes
2.2.5. Statistical Analysis
3. Results
3.1. Disproportionality Analysis
3.2. Real-World Evidence Study
3.2.1. Cohort
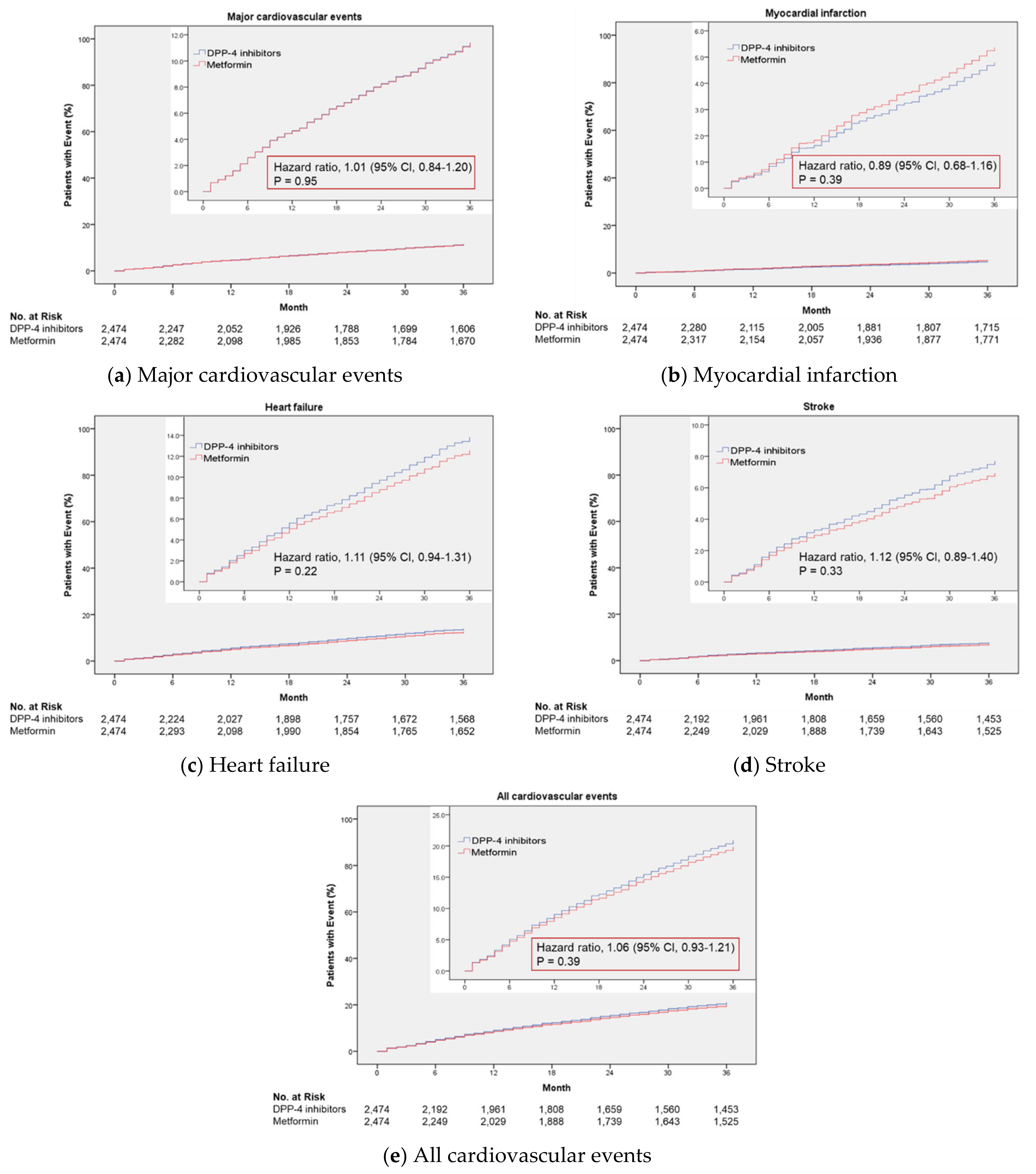
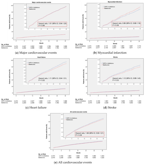
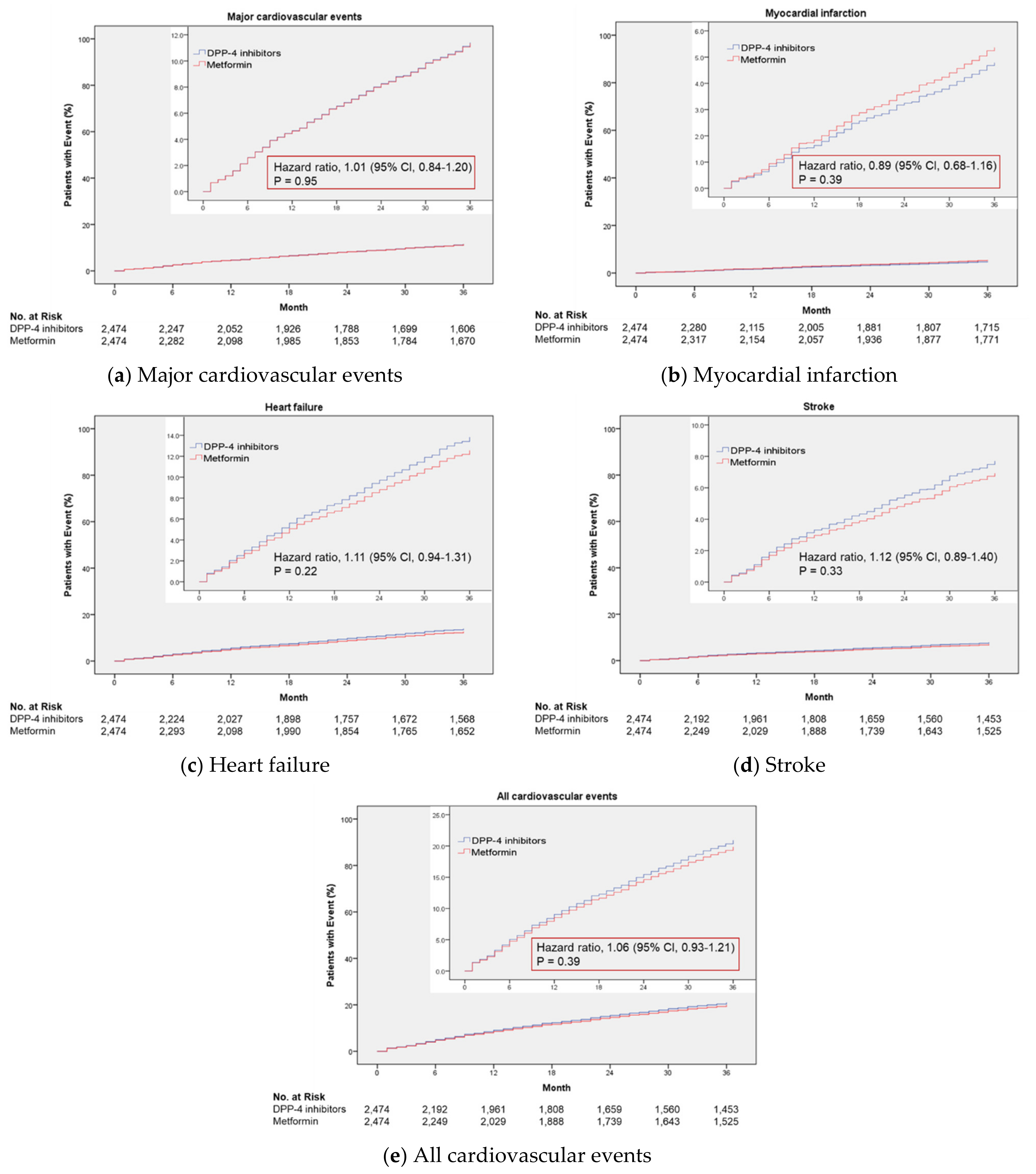
3.2.2. Outcomes
4. Discussion
5. Conclusions
Supplementary Materials
Author Contributions
Funding
Institutional Review Board Statement
Informed Consent Statement
Data Availability Statement
Conflicts of Interest
Appendix A
| Target AE | Other AEs | Total | |
|---|---|---|---|
| Target drug | N11 | N10 | N1+ |
| Other drugs | N01 | N00 | N0+ |
| Total | N+1 | N+0 | N++ |
References
- Peyrot, M.; Rubin, R.R.; Lauritzen, T.; Snoek, F.J.; Matthews, D.R.; Skovlund, S.E. Psychosocial problems and barriers to improved diabetes management: Results of the Cross-National Diabetes Attitudes, Wishes and Needs (DAWN) Study. Diabet. Med. 2005, 22, 1379–1385. [Google Scholar] [CrossRef] [PubMed]
- American Diabetes Association. Economic costs of diabetes in the U.S. in 2012. Diabetes Care 2013, 36, 1033–1046. [Google Scholar] [CrossRef] [PubMed]
- Davies, M.J.; D’Alessio, D.A.; Fradkin, J.; Kernan, W.N.; Mathieu, C.; Mingrone, G.; Rossing, P.; Tsapas, A.; Wexler, D.J.; Buse, J.B. Management of hyperglycaemia in type 2 diabetes, 2018. A consensus report by the American Diabetes Association (ADA) and the European Association for the Study of Diabetes (EASD). Diabetologia 2018, 61, 2461–2498. [Google Scholar] [CrossRef]
- Davies, M.J.; D’Alessio, D.A.; Fradkin, J.; Kernan, W.N.; Mathieu, C.; Mingrone, G.; Rossing, P.; Tsapas, A.; Wexler, D.J.; Buse, J.B. Management of Hyperglycemia in Type 2 Diabetes, 2018. A Consensus Report by the American Diabetes Association (ADA) and the European Association for the Study of Diabetes (EASD). Diabetes Care 2018, 41, 2669–2701. [Google Scholar] [CrossRef] [PubMed]
- Holman, R.R.; Paul, S.K.; Bethel, M.A.; Matthews, D.R.; Neil, H.A. 10-year follow-up of intensive glucose control in type 2 diabetes. N. Engl. J. Med. 2008, 359, 1577–1589. [Google Scholar] [CrossRef] [PubMed]
- UK Prospective Diabetes Study (UKPDS) Group. Effect of intensive blood-glucose control with metformin on complications in overweight patients with type 2 diabetes (UKPDS 34). Lancet 1998, 352, 854–865. [Google Scholar] [CrossRef]
- Roussel, R.; Travert, F.; Pasquet, B.; Wilson, P.W.; Smith, S.C., Jr.; Goto, S.; Ravaud, P.; Marre, M.; Porath, A.; Bhatt, D.L.; et al. Metformin use and mortality among patients with diabetes and atherothrombosis. Arch. Intern. Med. 2010, 170, 1892–1899. [Google Scholar] [CrossRef]
- Hong, J.; Zhang, Y.; Lai, S.; Lv, A.; Su, Q.; Dong, Y.; Zhou, Z.; Tang, W.; Zhao, J.; Cui, L.; et al. Effects of metformin versus glipizide on cardiovascular outcomes in patients with type 2 diabetes and coronary artery disease. Diabetes Care 2013, 36, 1304–1311. [Google Scholar] [CrossRef]
- Cheng, Y.Y.; Leu, H.B.; Chen, T.J.; Chen, C.L.; Kuo, C.H.; Lee, S.D.; Kao, C.L. Metformin-inclusive therapy reduces the risk of stroke in patients with diabetes: A 4-year follow-up study. J. Stroke Cereb. Dis. 2014, 23, e99–e105. [Google Scholar] [CrossRef]
- Suzuki, K.; Akiyama, M.; Ishigaki, K.; Kanai, M.; Hosoe, J.; Shojima, N.; Hozawa, A.; Kadota, A.; Kuriki, K.; Naito, M.; et al. Identification of 28 new susceptibility loci for type 2 diabetes in the Japanese population. Nat. Genet. 2019, 51, 379–386. [Google Scholar] [CrossRef]
- Ma, R.C.; Chan, J.C. Type 2 diabetes in East Asians: Similarities and differences with populations in Europe and the United States. Ann. N. Y. Acad. Sci. 2013, 1281, 64–91. [Google Scholar] [CrossRef]
- Huxley, R.; James, W.P.; Barzi, F.; Patel, J.V.; Lear, S.A.; Suriyawongpaisal, P.; Janus, E.; Caterson, I.; Zimmet, P.; Prabhakaran, D.; et al. Obesity in Asia Collaboration. Ethnic comparisons of the cross-sectional relationships between measures of body size with diabetes and hypertension. Obes. Rev. 2008, 9 (Suppl. S1), 53–61. [Google Scholar] [CrossRef]
- Haneda, M.; Noda, M.; Origasa, H.; Noto, H.; Yabe, D.; Fujita, Y.; Goto, A.; Kondo, T.; Araki, E. Japanese Clinical Practice Guideline for Diabetes 2016. Diabetol. Int. 2018, 9, 1–45. [Google Scholar] [CrossRef]
- Ihana-Sugiyama, N.; Sugiyama, T.; Tanaka, H.; Ueki, K.; Kobayashi, Y.; Ohsugi, M. Comparison of effectiveness and drug cost between dipeptidyl peptidase-4 inhibitor and biguanide as the first-line anti-hyperglycaemic medication among Japanese working generation with type 2 diabetes. J. Eval. Clin. Pract. 2020, 26, 299–307. [Google Scholar] [CrossRef]
- Bouchi, R.; Sugiyama, T.; Goto, A.; Imai, K.; Ihana-Sugiyama, N.; Ohsugi, M.; Yamauchi, T.; Kadowaki, T.; Ueki, K. Retrospective nationwide study on the trends in first-line antidiabetic medication for patients with type 2 diabetes in Japan. J. Diabetes Investig. 2021, 13, 280–291. [Google Scholar] [CrossRef]
- Scirica, B.M.; Bhatt, D.L.; Braunwald, E.; Steg, P.G.; Davidson, J.; Hirshberg, B.; Ohman, P.; Frederich, R.; Wiviott, S.D.; Hoffman, E.B.; et al. SAVOR-TIMI 53 Steering Committee and Investigators. Saxagliptin and cardiovascular outcomes in patients with type 2 diabetes mellitus. N. Engl. J. Med. 2013, 369, 1317–1326. [Google Scholar] [CrossRef]
- Green, J.B.; Bethel, M.A.; Armstrong, P.W.; Buse, J.B.; Engel, S.S.; Garg, J.; Josse, R.; Kaufman, K.D.; Koglin, J.; Korn, S.; et al. Effect of Sitagliptin on Cardiovascular Outcomes in Type 2 Diabetes. N. Engl. J. Med. 2015, 373, 232–242. [Google Scholar] [CrossRef]
- White, W.B.; Cannon, C.P.; Heller, S.R.; Nissen, S.E.; Bergenstal, R.M.; Bakris, G.L.; Perez, A.T.; Fleck, P.R.; Mehta, C.R.; Kupfer, S.; et al. Alogliptin after acute coronary syndrome in patients with type 2 diabetes. N. Engl. J. Med. 2013, 369, 1327–1335. [Google Scholar] [CrossRef]
- Rosenstock, J.; Perkovic, V.; Johansen, O.E.; Cooper, M.E.; Kahn, S.E.; Marx, N.; Alexander, J.H.; Pencina, M.; Toto, R.D.; Wanner, C.; et al. Effect of Linagliptin vs. Placebo on Major Cardiovascular Events in Adults with Type 2 Diabetes and High Cardiovascular and Renal Risk: The CARMELINA Randomized Clinical Trial. JAMA 2019, 321, 69–79. [Google Scholar] [CrossRef]
- Rosenstock, J.; Kahn, S.E.; Johansen, O.E.; Zinman, B.; Espeland, M.A.; Woerle, H.J.; Pfarr, E.; Keller, A.; Mattheus, M.; Baanstra, D.; et al. Effect of Linagliptin vs. Glimepiride on Major Adverse Cardiovascular Outcomes in Patients with Type 2 Diabetes: The CAROLINA Randomized Clinical Trial. JAMA 2019, 322, 1155–1166. [Google Scholar] [CrossRef] [Green Version]
- Raschi, E.; Poluzzi, E.; Koci, A.; Antonazzo, I.C.; de Ponti, F. Dipeptidyl peptidase-4 inhibitors and heart failure: Analysis of spontaneous reports submitted to the FDA adverse event reporting system. Nutr. Metab. Cardiovasc. Dis. 2016, 26, 380–386. [Google Scholar] [CrossRef] [PubMed]
- Fadini, G.P.; Sarangdhar, M.; Avogaro, A. Pharmacovigilance Evaluation of the Association between DPP-4 Inhibitors and Heart Failure: Stimulated Reporting and Moderation by Drug Interactions. Diabetes Ther. 2018, 9, 851–861. [Google Scholar] [CrossRef] [PubMed]
- Noguchi, Y.; Tachi, T.; Teramachi, H. Detection algorithms and attentive points of safety signal using spontaneous reporting systems as a clinical data source. Brief Bioinform. 2021, 22, bbab347. [Google Scholar] [CrossRef] [PubMed]
- The UMC Measures of Disproportionate Reporting—A Brief Guide to Their Interpretation. Available online: https://who-umc.org/media/164041/measures-of-disproportionate-reporting_2016.pdf (accessed on 10 August 2022).
- Center for Drug Evaluation and Research. Meeting expectations to exclude a CV risk margin of 1.3. In Application Number 204042Orig1s000Summary Review; p. 20. Available online: https://www.accessdata.fda.gov/drugsatfda_docs/nda/2013/204042Orig1s000SumR.pdf (accessed on 10 August 2022).
- Kaneko, M.; Narukawa, M. Meta-analysis of dipeptidyl peptidase-4 inhibitors use and cardiovascular risk in patients with type 2 diabetes mellitus. Diabetes Res. Clin. Pract. 2016, 116, 171–182. [Google Scholar] [CrossRef]
- Zheng, S.L.; Roddick, A.J.; Aghar-Jaffar, R.; Shun-Shin, M.J.; Francis, D.; Oliver, N.; Meeran, K. Association Between Use of Sodium-Glucose Cotransporter 2 Inhibitors, Glucagon-like Peptide 1 Agonists, and Dipeptidyl Peptidase 4 Inhibitors with All-Cause Mortality in Patients with Type 2 Diabetes: A Systematic Review and Meta-analysis. JAMA 2018, 319, 1580–1591. [Google Scholar] [CrossRef]
- Giugliano, D.; Longo, M.; Signoriello, S.; Maiorino, M.I.; Solerte, B.; Chiodini, P.; Esposito, K. The effect of DPP-4 inhibitors, GLP-1 receptor agonists and SGLT-2 inhibitors on cardiorenal outcomes: A network meta-analysis of 23 CVOTs. Cardiovasc. Diabetol. 2022, 21, 42. [Google Scholar] [CrossRef]
- Ou, S.M.; Shih, C.J.; Chao, P.W.; Chu, H.; Kuo, S.C.; Lee, Y.J.; Wang, S.J.; Yang, C.Y.; Lin, C.C.; Chen, T.J.; et al. Effects on Clinical Outcomes of Adding Dipeptidyl Peptidase-4 Inhibitors Versus Sulfonylureas to Metformin Therapy in Patients with Type 2 Diabetes Mellitus. Ann. Intern. Med. 2015, 163, 663–672. [Google Scholar] [CrossRef]
- Baksh, S.N.; Segal, J.B.; McAdams-DeMarco, M.; Kalyani, R.R.; Alexander, G.C.; Ehrhardt, S. Dipeptidyl peptidase-4 inhibitors and cardiovascular events in patients with type 2 diabetes, without cardiovascular or renal disease. PLoS ONE 2020, 15, e0240141. [Google Scholar] [CrossRef]
- Baksh, S.; Wen, J.; Mansour, O.; Chang, H.Y.; McAdams-DeMarco, M.; Segal, J.B.; Ehrhardt, S.; Alexander, G.C. Dipeptidyl peptidase-4 inhibitor cardiovascular safety in patients with type 2 diabetes, with cardiovascular and renal disease: A retrospective cohort study. Sci. Rep. 2021, 11, 16637. [Google Scholar] [CrossRef]
- Seino, Y.; Kuwata, H.; Yabe, D. Incretin-based drugs for type 2 diabetes: Focus on East Asian perspectives. J. Diabetes Investig. 2016, 7 (Suppl. S1), 102–109. [Google Scholar] [CrossRef] [Green Version]
- Horii, T.; Iwasawa, M.; Shimizu, J.; Atsuda, K. Comparing treatment intensification and clinical outcomes of metformin and dipeptidyl peptidase-4 inhibitors in treatment-naïve patients with type 2 diabetes in Japan. J. Diabetes Investig. 2020, 11, 96–100. [Google Scholar] [CrossRef]
- Committee on the Proper Use of SGLT2 Inhibitors. Recommendations on the proper use of SGLT2 inhibitors. Diabetol. Int. 2019, 11, 1–5. [Google Scholar] [CrossRef]
- Takekuma, Y.; Imai, S.; Sugawara, M. Clinical Research Using the Large Health Insurance Claims Database. YAKUGAKU ZASSHI 2022, 142, 331–336. [Google Scholar] [CrossRef]
- Mannucci, E.; Nreu, B.; Montereggi, C.; Ragghianti, B.; Gallo, M.; Giaccari, A.; Monami, M.; SID-AMD Joint Panel for Italian Guidelines on Treatment of Type 2 Diabetes. Cardiovascular events and all-cause mortality in patients with type 2 diabetes treated with dipeptidyl peptidase-4 inhibitors: An extensive meta-analysis of randomized controlled trials. Nutr. Metab. Cardiovasc. Dis. 2021, 31, 2745–2755. [Google Scholar] [CrossRef]



| Adverse Event | Drug Class/Drug | N11 | IC (95% Credible Interval) |
|---|---|---|---|
| Major cardiovascular events | DPP-4 inhibitors | 249 | 0.22 (0.03–0.40) |
| Metformin | 40 | −0.53 (−0.98–−0.07) | |
| Myocardial infarction | DPP-4 inhibitors | 162 | 1.21 (0.87–1.55) |
| Metformin | 19 | 0.73 (0.004–1.46) | |
| Heart failure | DPP-4 inhibitors | 75 | 0.40 (0.17–0.63) |
| Metformin | 15 | −0.78 (−1.43–−0.13) | |
| Stroke | DPP-4 inhibitors | 174 | −0.07 (−0.30–0.15) |
| Metformin | 25 | −0.96 (−1.53–−0.39) |
| Adverse Event | DPP-4 Inhibitors (%) Total: n = 2424 | Metformin (%) Total: n = 2424 |
|---|---|---|
| Major cardiovascular events | 239 (9.7) | 244 (9.9) |
| Myocardial infarction | 99 (4.0) | 114 (4.6) |
| Heart failure | 288 (11.6) | 270 (10.9) |
| Stroke | 161 (6.5) | 149 (6.0) |
Publisher’s Note: MDPI stays neutral with regard to jurisdictional claims in published maps and institutional affiliations. |
© 2022 by the authors. Licensee MDPI, Basel, Switzerland. This article is an open access article distributed under the terms and conditions of the Creative Commons Attribution (CC BY) license (https://creativecommons.org/licenses/by/4.0/).
Share and Cite
Noguchi, Y.; Yoshizawa, S.; Tachi, T.; Teramachi, H. Effect of Dipeptidyl Peptidase-4 Inhibitors vs. Metformin on Major Cardiovascular Events Using Spontaneous Reporting System and Real-World Database Study. J. Clin. Med. 2022, 11, 4988. https://doi.org/10.3390/jcm11174988
Noguchi Y, Yoshizawa S, Tachi T, Teramachi H. Effect of Dipeptidyl Peptidase-4 Inhibitors vs. Metformin on Major Cardiovascular Events Using Spontaneous Reporting System and Real-World Database Study. Journal of Clinical Medicine. 2022; 11(17):4988. https://doi.org/10.3390/jcm11174988
Chicago/Turabian StyleNoguchi, Yoshihiro, Shunsuke Yoshizawa, Tomoya Tachi, and Hitomi Teramachi. 2022. "Effect of Dipeptidyl Peptidase-4 Inhibitors vs. Metformin on Major Cardiovascular Events Using Spontaneous Reporting System and Real-World Database Study" Journal of Clinical Medicine 11, no. 17: 4988. https://doi.org/10.3390/jcm11174988
APA StyleNoguchi, Y., Yoshizawa, S., Tachi, T., & Teramachi, H. (2022). Effect of Dipeptidyl Peptidase-4 Inhibitors vs. Metformin on Major Cardiovascular Events Using Spontaneous Reporting System and Real-World Database Study. Journal of Clinical Medicine, 11(17), 4988. https://doi.org/10.3390/jcm11174988

