Liver Function Tests in COVID-19: Assessment of the Actual Prognostic Value
Abstract
:1. Introduction
2. Materials and Methods
2.1. Study Population and Data Collection
2.2. Statistical Analysis
3. Results
3.1. Clinical Characteristics
3.2. Clinical Course and Outcome
3.3. Liver Biochemistry Abnormalities
3.4. Association of Liver Biochemistry Abnormalities at Admission with COVID-19 Severity
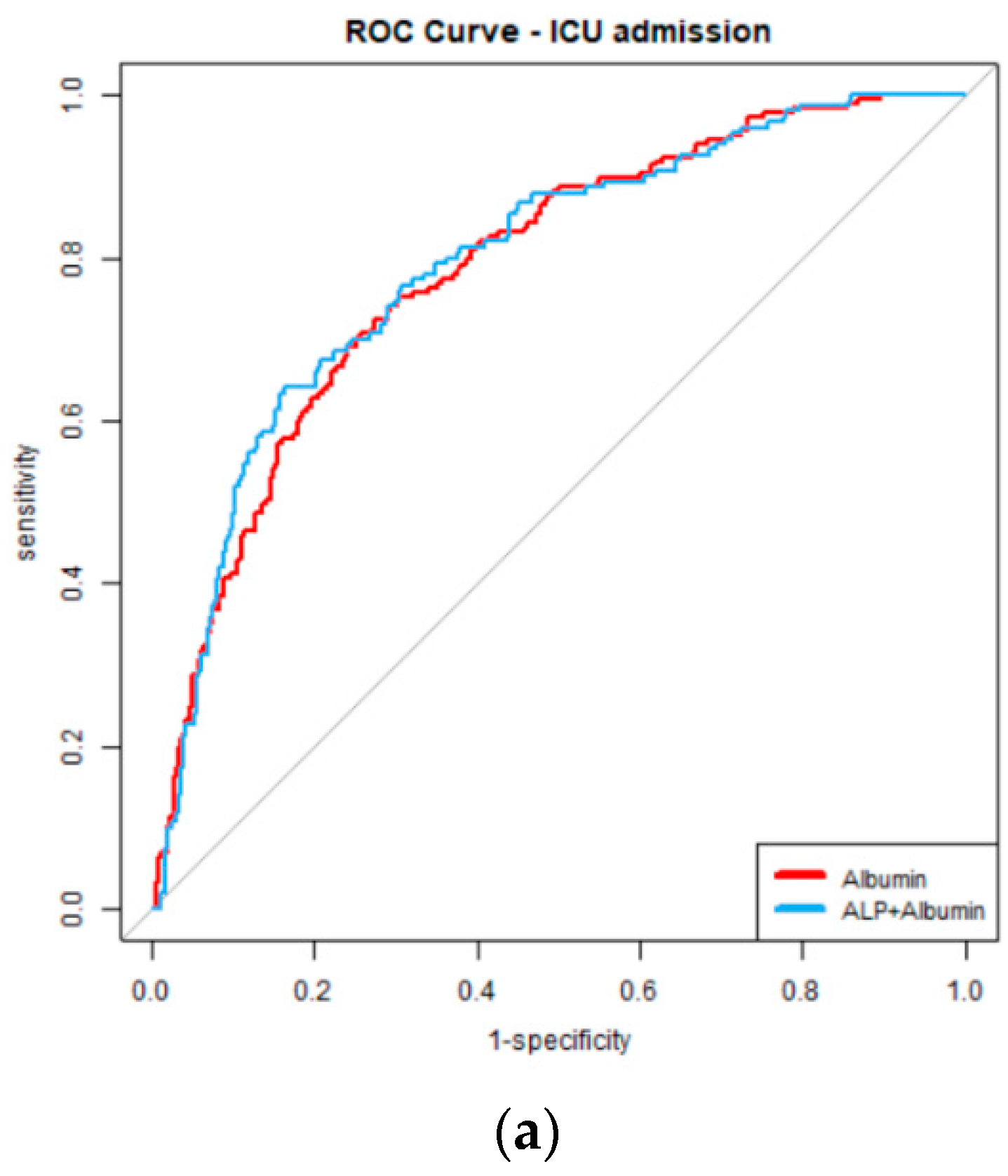
3.5. Best Predictive Models
4. Discussion
5. Conclusions
Supplementary Materials
Author Contributions
Funding
Institutional Review Board Statement
Informed Consent Statement
Data Availability Statement
Acknowledgments
Conflicts of Interest
References
- World Health Organization. Coronavirus Disease 2019 (COVID 19). Situation Report-72; World Health Organization: Geneva, Switzerland, 2020. [Google Scholar]
- World Health Organization. Coronavirus Disease (COVID-19) Pandemic; World Health Organization: Geneva, Switzerland, 2020; Volume 2020. [Google Scholar]
- European Centre for Disease Prevention and Control. Novel Coronavirus in China; World Health Organization: Geneva, Switzerland, 2020. [Google Scholar]
- Wang, D.; Hu, B.; Hu, C.; Zhu, F.; Liu, X.; Zhang, J.; Wang, B.; Xiang, H.; Cheng, Z.; Xiong, Y.; et al. Clinical Characteristics of 138 Hospitalized Patients with 2019 Novel Coronavirus–Infected Pneumonia in Wuhan, China. JAMA 2020, 323, 1061–1069. [Google Scholar] [CrossRef]
- Gupta, A.; Madhavan, M.; Sehgal, K.; Nair, N.; Mahajan, S.; Sehrawat, T.; Bikdeli, B.; Ahluwalia, N.; Ausiello, J.; Wan, E.; et al. Extrapulmonary manifestations of COVID-19. Nat. Med. 2020, 26, 1017–1032. [Google Scholar] [CrossRef]
- Zarifian, A.; Zamiri Bidary, M.; Arekhi, S.; Rafiee, M.; Gholamalizadeh, H.; Amiriani, A.; Ghaderi, M.S.; Khadem-Rezaiyan, M.; Amini, M.; Ganji, A. Gastrointestinal and hepatic abnormalities in patients with confirmed COVID-19: A systematic review and meta-analysis. J. Med. Virol. 2020, 93, 336–350. [Google Scholar] [CrossRef]
- Cai, Q.; Huang, D.; Yu, H.; Zhu, Z.; Xia, Z.; Su, Y.; Li, Z.; Zhou, G.; Gou, J.; Qu, J.; et al. COVID-19: Abnormal Liver Function Tests. J. Hepatol. 2020, 73, 566–574. [Google Scholar] [CrossRef]
- Zhang, C.; Shi, L.; Wang, F.-S. Liver Injury in COVID-19: Management and Challenges. Lancet Gastroenterol. Hepatol. 2020, 5, 428–430. [Google Scholar] [CrossRef]
- Lei, F.; Liu, Y.; Zhou, F.; Qin, J.; Zhang, P.; Zhu, L.; Zhang, X.; Cai, J.; Lin, L.; Ouyang, S.; et al. Longitudinal Association between Markers of Liver Injury and Mortality in COVID-19 in China. Hepatology 2020, 72, 389–398. [Google Scholar] [CrossRef]
- Harapan, H.; Fajar, J.; Supriono, S.; Soegiarto, G.; Wulandari, L.; Seratin, F.; Prayudi, N.; Dewi, D.; Monica Elsina, M.; Atamou, L.; et al. The prevalence, predictors and outcomes of acute liver injury among patients with COVID-19: A systematic review and meta-analysis. Rev. Med. Virol. 2021, 32, 2304. [Google Scholar] [CrossRef]
- Hoffmann, M.; Kleine-Weber, H.; Schroeder, S.; Krüger, N.; Herrler, T.; Erichsen, S.; Schiergens, T.; Herrler, G.; Wu, N.; Nitsche, A.; et al. SARS-CoV-2 Cell Entry Depends on ACE2 and TMPRSS2 and Is Blocked by a Clinically Proven Protease Inhibitor. Cell 2020, 181, 271–280. [Google Scholar] [CrossRef]
- Qi, F.; Qian, S.; Zhang, S.; Zhang, Z. Single Cell RNA Sequencing of 13 Human Tissues Identify Cell Types and Receptors of Human Coronaviruses. Biochem. Biophys. Res. Commun. 2020, 526, 135–140. [Google Scholar] [CrossRef]
- Hamming, I.; Timens, W.; Bulthuis, M.; Lely, A.; Navis, G.; van Goor, H. Tissue Distribution of ACE2 Protein, the Functional Receptor for SARS Coronavirus. A First Step in Understanding SARS Pathogenesis. J. Pathol. 2004, 203, 631–637. [Google Scholar] [CrossRef]
- Uhlen, M.; Fagerberg, L.; Hallstrom, B.M.; Lindskog, C.; Oksvold, P.; Mardinoglu, A.; Sivertsson, A.; Kampf, C.; Sjostedt, E.; Asplund, A.; et al. Tissue-Based Map of the Human Proteome. Science 2015, 347, 1260419. [Google Scholar] [CrossRef]
- Kondo, Y.; Larabee, J.; Gao, L.; Shi, H.; Shao, B.; Hoover, C.; McDaniel, J.; Ho, Y.; Silasi-Mansat, R.; Archer-Hartmann, S.; et al. L-SIGN is a receptor on liver sinusoidal endothelial cells for SARS-CoV-2 virus. JCI Insight 2021, 6, e148999. [Google Scholar] [CrossRef]
- Wang, K.; Chen, W.; Zhang, Z.; Deng, Y.; Lian, J.; Du, P.; Wei, D.; Zhang, Y.; Sun, X.; Gong, L.; et al. CD147-spike protein is a novel route for SARS-CoV-2 infection to host cells. Signal Transduct. Target. Ther. 2020, 5, 283. [Google Scholar] [CrossRef] [PubMed]
- Sun, J.; Aghemo, A.; Forner, A.; Valenti, L. COVID-19 and Liver Disease. Liver Int. 2020, 40, 1278–1281. [Google Scholar] [CrossRef] [PubMed] [Green Version]
- Vranić, L.; Radovan, A.; Poropat, G.; Mikolašević, I.; Milić, S. Non-Alcoholic Fatty Liver Disease and COVID-19–Two Pandemics Hitting at the Same Time. Medicina 2020, 57, 1057. [Google Scholar] [CrossRef] [PubMed]
- Phipps, M.M.; Barraza, L.H.; LaSota, E.D.; Sobieszczyk, M.E.; Pereira, M.R.; Zheng, E.X.; Fox, A.N.; Zucker, J.; Verna, E.C. Acute Liver Injury in COVID-19: Prevalence and Association with Clinical Outcomes in a Large U.S. Cohort. Hepatol. 2020, 72, 807–817. [Google Scholar] [CrossRef] [PubMed]
- Da, B.L.; Kushner, T.; El Halabi, M.; Paka, P.; Khalid, M.; Uberoi, A.; Lee, B.T.; Perumalswami, P.V.; Rutledge, S.M.; Schiano, T.D.; et al. Liver Injury in Patients Hospitalized with Coronavirus Disease 2019 Correlates with Hyperinflammatory Response and Elevated Interleukin-6. Hepatol. Commun. 2020, 5, 177–188. [Google Scholar] [CrossRef]
- Wijarnpreecha, K.; Ungprasert, P.; Panjawatanan, P.; Harnois, D.M.; Zaver, H.B.; Ahmed, A.; Kim, D. COVID-19 and Liver Injury: A Meta-Analysis. Eur. J. Gastroenterol. Hepatol. 2020, 33, 990–995. [Google Scholar] [CrossRef]
- Pazgan-Simon, M.; Serafińska, S.; Kukla, M.; Kucharska, M.; Zuwała-Jagiełło, J.; Buczyńska, I.; Zielińska, K.; Simon, K. Liver Injury in Patients with COVID-19 without Underlying Liver Disease. J. Clin. Med. 2022, 11, 308. [Google Scholar] [CrossRef]
- Guan, W.; Ni, Z.; Hu, Y.; Liang, W.; Ou, C.; He, J.; Liu, L.; Shan, H.; Lei, C.; Hui, D.S.C.; et al. Clinical Characteristics of Coronavirus Disease 2019 in China. N. Engl. J. Med. 2020, 382, 1708–1720. [Google Scholar] [CrossRef] [PubMed]
- Weber, S.; Hellmuth, J.C.; Scherer, C.; Muenchhoff, M.; Mayerle, J.; Gerbes, A.L. Liver Function Test Abnormalities at Hospital Admission Are Associated with Severe Course of SARS-CoV-2 Infection: A Prospective Cohort Study. Gut 2021, 70, 1925–1932. [Google Scholar] [CrossRef] [PubMed]
- Liu, Y.; Du, X.; Chen, J.; Jin, Y.; Peng, L.; Wang, H.H.X.; Luo, M.; Chen, L.; Zhao, Y. Neutrophil-To-Lymphocyte Ratio as an Independent Risk Factor for Mortality in Hospitalized Patients with COVID-19. J. Infect. 2020, 81, 6–12. [Google Scholar] [CrossRef] [PubMed]
- Shastri, M.D.; Shukla, S.D.; Chong, W.C.; KC, R.; Dua, K.; Patel, R.P.; Peterson, G.M.; O’Toole, R.F. Smoking and COVID-19: What We Know so Far. Respir. Med. 2021, 176, 106237. [Google Scholar] [CrossRef] [PubMed]
- Jothimani, D.; Venugopal, R.; Abedin, M.F.; Kaliamoorthy, I.; Rela, M. COVID-19 and the Liver. J. Hepatol. 2020, 73, 1231–1240. [Google Scholar] [CrossRef] [PubMed]
- Bertolini, A.; Peppel, I.P.; Bodewes, F.A.J.A.; Moshage, H.; Fantin, A.; Farinati, F.; Fiorotto, R.; Jonker, J.W.; Strazzabosco, M.; Verkade, H.J.; et al. Abnormal Liver Function Tests in Patients with COVID-19: Relevance and Potential Pathogenesis. Hepatology 2020, 72, 1864–1872. [Google Scholar] [CrossRef] [PubMed]
- Wang, Y.; Liu, S.; Liu, H.; Li, W.; Lin, F.; Jiang, L.; Li, X.; Xu, P.; Zhang, L.; Zhao, L.; et al. SARS-CoV-2 Infection of the Liver Directly Contributes to Hepatic Impairment in Patients with COVID-19. J. Hepatol. 2020, 73, 807–816. [Google Scholar] [CrossRef]
- Zhao, B.; Ni, C.; Gao, R.; Wang, Y.; Yang, L.; Wei, J.; Lv, T.; Liang, J.; Zhang, Q.; Xu, W.; et al. Recapitulation of SARS-CoV-2 Infection and Cholangiocyte Damage with Human Liver Ductal Organoids. Protein Cell 2020, 11, 771–775. [Google Scholar] [CrossRef] [Green Version]
- Paizis, G. Chronic Liver Injury in Rats and Humans Upregulates the Novel Enzyme Angiotensin Converting Enzyme 2. Gut 2005, 54, 1790–1796. [Google Scholar] [CrossRef] [PubMed] [Green Version]
- Gkogkou, E.; Barnasas, G.; Vougas, K.; Trougakos, I.P. Expression Profiling Meta-Analysis of ACE2 and TMPRSS2, the Putative Anti-Inflammatory Receptor and Priming Protease of SARS-CoV-2 in Human Cells, and Identification of Putative Modulators. Redox Biol. 2020, 36, 101615. [Google Scholar] [CrossRef]
- Portincasa, P.; Krawczyk, M.; Machill, A.; Lammert, F.; Di Ciaula, A. Hepatic Consequences of COVID-19 Infection. Lapping or Biting? European J. Intern. Med. 2020, 77, 18–24. [Google Scholar] [CrossRef]
- Fix, O.K.; Hameed, B.; Fontana, R.J.; Kwok, R.M.; McGuire, B.M.; Mulligan, D.C.; Pratt, D.S.; Russo, M.W.; Schilsky, M.L.; Verna, E.C.; et al. Clinical Best Practice Advice for Hepatology and Liver Transplant Providers during the COVID-19 Pandemic: AASLD Expert Panel Consensus Statement. Hepatology 2020, 72, 287–304. [Google Scholar] [CrossRef]
- Bloom, P.P.; Meyerowitz, E.A.; Reinus, Z.; Daidone, M.; Gustafson, J.; Kim, A.Y.; Schaefer, E.; Chung, R.T. Liver Biochemistries in Hospitalized Patients with COVID-19. Hepatology 2020, 73, 890–900. [Google Scholar] [CrossRef]
- Ramachandran, P.; Perisetti, A.; Gajendran, M.; Chakraborti, A.; Narh, J.T.; Goyal, H. Increased Serum Aminotransferase Activity and Clinical Outcomes in Coronavirus Disease 2019. J. Clin. Exp. Hepatol. 2020, 10, 533–539. [Google Scholar] [CrossRef] [PubMed]
- Szarpak, L.; Mierzejewska, M.; Jurek, J.; Kochanowska, A.; Gasecka, A.; Truszewski, Z.; Pruc, M.; Blek, N.; Rafique, Z.; Filipiak, K.J.; et al. Effect of Coronary Artery Disease on COVID-19—Prognosis and Risk Assessment: A Systematic Review and Meta-Analysis. Biology 2022, 11, 221. [Google Scholar] [CrossRef] [PubMed]
- Hundt, M.A.; Deng, Y.; Ciarleglio, M.M.; Nathanson, M.H.; Lim, J.K. Abnormal Liver Tests in COVID-19: A Retrospective Observational Cohort Study of 1,827 Patients in a Major U.S. Hospital Network. Hepatology 2020, 72, 1169–1176. [Google Scholar] [CrossRef] [PubMed]
- Wang, Y.; Shi, L.; Wang, Y.; Yang, H. An Updated Meta-Analysis of AST and ALT Levels and the Mortality of COVID-19 Patients. Am. J. Emerg. Med. 2021, 40, 208–209. [Google Scholar] [CrossRef]
- Hwaiz, R.; Merza, M.; Hamad, B.; HamaSalih, S.; Mohammed, M.; Hama, H. Evaluation of Hepatic Enzymes Activities in COVID-19 Patients. Int. Immunopharmacol. 2021, 97, 107701. [Google Scholar] [CrossRef]
- Nardo, A.D.; Schneeweiss-Gleixner, M.; Bakail, M.; Dixon, E.D.; Lax, S.F.; Trauner, M. Pathophysiological Mechanisms of Liver Injury in COVID-19. Liver Int. 2021, 41, 20–32. [Google Scholar] [CrossRef]
- Papic, N.; Pangercic, A.; Vargovic, M.; Barsic, B.; Vince, A.; Kuzman, I. Liver Involvement during Influenza Infection: Perspective on the 2009 Influenza Pandemic. Influenza Other Respir. Viruses 2011, 6, 2–5. [Google Scholar] [CrossRef] [Green Version]
- Fulks, M.; Stout, R.L.; Dolan, V.F. Albumin and all-cause mortality risk in insurance applicants. J. Insur. Med. 2010, 42, 11–17. [Google Scholar]
- Huang, J.; Cheng, A.; Kumar, R.; Fang, Y.; Chen, G.; Zhu, Y.; Lin, S. Hypoalbuminemia Predicts the Outcome of COVID-19 Independent of Age and Co-Morbidity. J. Med. Virol. 2020, 92, 2152–2158. [Google Scholar] [CrossRef]
- Soetedjo, N.N.M.; Iryaningrum, M.R.; Damara, F.A.; Permadhi, I.; Sutanto, L.B.; Hartono, H.; Rasyid, H. Prognostic Properties of Hypoalbuminemia in COVID-19 Patients: A Systematic Review and Diagnostic Meta-Analysis. Clin. Nutr. ESPEN 2021, 45, 120–126. [Google Scholar] [CrossRef]
- Zhang, Y.; Zheng, L.; Liu, L.; Zhao, M.; Xiao, J.; Zhao, Q. Liver Impairment in COVID-19 Patients: A Retrospective Analysis of 115 Cases from a Single Center in Wuhan City, China. Liver Int. 2020, 40, 2095–2103. [Google Scholar] [CrossRef] [Green Version]
- Shao, T.; Tong, Y.; Lu, S.; Jeyarajan, A.J.; Su, F.; Dai, J.; Shi, J.; Huang, J.; Hu, C.; Wu, L.; et al. Gamma-Glutamyltransferase Elevation Is Frequent in Patients with COVID-19: A Clinical Epidemiologic Study. Hepatol. Commun. 2020, 4, 1744–1750. [Google Scholar] [CrossRef]
- Kasapoglu, B.; Yozgat, A.; Tanoglu, A.; Can, G.; Sakin, Y.S.; Kekilli, M. Gamma-Glutamyl-Transferase May Predict COVID-19 Outcomes in Hospitalised Patients. Int. J. Clin. Pract. 2021, 75, e14933. [Google Scholar] [CrossRef]
- Da, B.L.; Suchman, K.; Roth, N.; Rizvi, A.; Vincent, M.; Trindade, A.J.; Bernstein, D.; Satapathy, S.K. Cholestatic Liver Injury in COVID-19 Is a Rare and Distinct Entity and Is Associated with Increased Mortality. J. Intern. Med. 2021, 290, 470–472. [Google Scholar] [CrossRef] [PubMed]
- Boon, A.-C.; Bulmer, A.C.; Coombes, J.S.; Fassett, R.G. Circulating Bilirubin and Defense against Kidney Disease and Cardiovascular Mortality: Mechanisms Contributing to Protection in Clinical Investigations. Am. J. Physiol.-Ren. Physiol. 2014, 307, 123–136. [Google Scholar] [CrossRef] [Green Version]
- Liu, Z.; Li, J.; Long, W.; Zeng, W.; Gao, R.; Zeng, G.; Chen, D.; Wang, S.; Li, Q.; Hu, D.; et al. Bilirubin Levels as Potential Indicators of Disease Severity in Coronavirus Disease Patients: A Retrospective Cohort Study. Front. Med. 2020, 7, 598870. [Google Scholar] [CrossRef] [PubMed]
- Ding, Z.; Li, G.; Chen, L.; Shu, C.; Song, J.; Wang, W.; Wang, Y.; Chen, Q.; Jin, G.; Liu, T.; et al. Association of Liver Abnormalities with In-Hospital Mortality in Patients with COVID-19. J. Hepatol. 2021, 74, 1295–1302. [Google Scholar] [CrossRef]
- D’Marco, L.; Puchades, M.J.; Romero-Parra, M.; Gimenez-Civera, E.; Soler, M.J.; Ortiz, A.; Gorriz, J.L. Coronavirus Disease 2019 in Chronic Kidney Disease. Clin. Kidney J. 2020, 13, 297–306. [Google Scholar] [CrossRef]
- Council, E.-E.; Ortiz, A.; Cozzolino, M.; Fliser, D.; Fouque, D.; Goumenos, D.; Massy, Z.A.; Rosenkranz, A.R.; Rychlık, I.; Soler, M.J.; et al. Chronic Kidney Disease Is a Key Risk Factor for Severe COVID-19: A Call to Action by the ERA-EDTA. Nephrol. Dial. Transplant. 2021, 36, 87–94. [Google Scholar] [CrossRef] [PubMed]
- Reddy, R.K.; Charles, W.N.; Sklavounos, A.; Dutt, A.; Seed, P.T.; Khajuria, A. The Effect of Smoking on COVID-19 Severity: A Systematic Review and Meta-Analysis. J. Med. Virol. 2020, 93, 1045–1056. [Google Scholar] [CrossRef] [PubMed]
- Tahira, A.C.; Verjovski-Almeida, S.; Ferreira, S.T. Dementia Is an Age-Independent Risk Factor for Severity and Death in COVID-19 Inpatients. Alzheimer’s Dement. J. Alzheimer’s Assoc. 2021, 17, 1818–1831. [Google Scholar] [CrossRef] [PubMed]
- Barron, E.; Bakhai, C.; Kar, P.; Weaver, A.; Bradley, D.; Ismail, H.; Knighton, P.; Holman, N.; Khunti, K.; Sattar, N.; et al. Associations of Type 1 and Type 2 Diabetes with COVID-19-Related Mortality in England: A Whole-Population Study. Lancet Diabetes Endocrinol. 2020, 8, 813–822. [Google Scholar] [CrossRef]
- Fang, L.; Karakiulakis, G.; Roth, M. Are Patients with Hypertension and Diabetes Mellitus at Increased Risk for COVID-19 Infection? Lancet Respir. Med. 2020, 8, 21. [Google Scholar] [CrossRef]
- Mato, A.R.; Roeker, L.E.; Lamanna, N.; Allan, J.N.; Leslie, L.; Pagel, J.M.; Patel, K.; Osterborg, A.; Wojenski, D.; Kamdar, M.; et al. Outcomes of COVID-19 in Patients with CLL: A Multicenter International Experience. Blood 2020, 136, 1134–1143. [Google Scholar] [CrossRef]
- Galiero, R.; Pafundi, P.; Simeon, V.; Rinaldi, L.; Perrella, A.; Vetrano, E.; Caturano, A.; Alfano, M.; Beccia, D.; Nevola, R.; et al. Impact of chronic liver disease upon admission on COVID-19 in-hospital mortality: Findings from COVOCA study. PLoS ONE 2020, 15, 0243700. [Google Scholar] [CrossRef]


| All Patients | ICU Admission | p-Value | Mechanical Ventilation | p-Value | Fatal Outcome | p-Value | |
|---|---|---|---|---|---|---|---|
| n = 2184 | n = 214 | n = 215 | n = 326 | ||||
| % 9.8 | % 9.8 | % 14.9 | |||||
| Age, median | 64 (46–73) | 64 (52–70) | 65 (54–71) | 72.5 (65–84) | |||
| Gender, n (%) | <0.001 | <0.001 | <0.001 | ||||
| Female | 1102 (50.4%) | 71 (6.4%) | 70 (6.4%) | 129 (11.7%) | |||
| Male | 1082 (49.5%) | 143 (13.2%) | 145 (13.4%) | 197 (18.2%) | |||
| Underlying comorbidities, n (%) | |||||||
| Hypertension | 1022 (46.8%) | 125 (5.7%) | <0.001 | 130 (5.95%) | <0.001 | 219 (10%) | <0.001 |
| Diabetes | 516 (23.6%) | 75 (3.4%) | <0.001 | 79 (3.6%) | <0.001 | 122 (5.6%) | <0.001 |
| Asthma | 85 (3.9%) | 12 (0.6%) | 0.172 | 11 (0.5%) | 0.328 | 14 (0.6%) | 0.684 |
| COPD | 75 (3.4%) | 5 (0.2%) | 0.353 | 6 (0.3%) | 0.585 | 18 (0.8%) | 0.025 |
| Dementia | 132 (6%) | 3 (0.1%) | 0.003 | 6 (0.3%) | 0.035 | 49 (2.2%) | <0.001 |
| Stroke/TIA in patient history | 164 (7.5) | 13 (0.6%) | 0.402 | 16 (0.7%) | 0.969 | 35 (1.6%) | 0.017 |
| Chronic kidney disease | 231 (10.6) | 21 (1%) | 0.702 | 22 (1%) | 0.863 | 72 (3.3%) | <0.001 |
| Myocardial infraction in patient history | 191 (8.7%) | 28 (1.3%) | 0.018 | 32 (1.5%) | <0.001 | 74 (3.4%) | <0.001 |
| Heart failure | 255 (11.7%) | 33 (1.5%) | 0.072 | 33 (1.5%) | 0.077 | 89 (4.1%) | <0.001 |
| Chronic liver disease | 74 (3.4%) | 7 (0.3%) | 0.802 | 5 (0.2%) | 0.83 | 12 (0.6%) | 0.508 |
| Solid malignant disease | 151 (6.9%) | 10 (0.5%) | 0.098 | 10 (0.5%) | 0.096 | 42 (1.9%) | <0.001 |
| Leukemia | 19 (0.9%) | 6 (0.3%) | 0.001 | 4 (0.2%) | 0.1 | 8 (0.4%) | 0.001 |
| Lymphoma | 18 (0.8%) | 0 (0%) | 0.200 | 0 (0%) | 0.2 | 6 (0.3%) | 0.03 |
| AIDS | 2 (0.1%) | 0 (0%) | 0.641 | 0 (0%) | 0.640 | 0 (0%) | 0.553 |
| Smoking status, n (%) | 193 (8.8%) | 15 (0.7%) | 0.606 | 15 (0.7%) | 0.606 | 41 (1.9%) | 0.004 |
| Active smoker | 117 (5.4%) | 6 (0.3%) | 6 (0.3%) | 11 (0.5%) | |||
| Former smoker | 76 (3.5%) | 9 (0.4%) | 9 (0.4%) | 30 (1.4%) | |||
| Length of hospital stay days, median | 9 (2–16) | 18 (9–27) | 16 (6–26) | 13 (5–21) |
| Median (IQR) | Abnormal (%) | |
|---|---|---|
| AST (0–31 U/L) | 37 (24–62) | 38.9 |
| ALT (0–35 U/L) | 29 (18–50) | 29.3 |
| GGT (0–38 U/L) | 42 (24–83) | 33.2 |
| ALP (40–150 U/L) | 65 (51–95) | 6.2 |
| TBIL (0.2–1.2 mg/dL) | 0.6 (0.5–0.8) | 6.7 |
| Albumin (3.5–5.2 g/L) | 3.1 (2.7–3.5) | 21.1 |
| Neu (2.5 × 103–6 × 103/mm3) (×103) | 5.5 (3.5–8.4) | 34.0 |
| Lym (1.5 × 103–3.5 × 103/mm3) (×103) | 1.0 (0.7–1.4) | 46.7 |
| NLR | 5.9 (3.1–10.8) |
| ICU Admission | Mechanical Ventilation | Fatal Outcome | |||||||
|---|---|---|---|---|---|---|---|---|---|
| OR | 95% CI | p-Value | OR | 95% CI | p-Value | OR | 95% CI | p-Value | |
| Liver biochemistry abnormality | |||||||||
| AST | 1.000 | 0.998–1.000 | 0.6 | 1.000 | 0.999–1.000 | 0.32 | 1.004 | 1.001–1.010 | 0.008 |
| ALT | 1.000 | 0.998–1.000 | 0.55 | 1.000 | 0.999–1.000 | 0.46 | 1.002 | 0.999–1.00 | 0.133 |
| GGT | 1.000 | 0.999–1.000 | 0.74 | 1.000 | 0.999–1.000 | 0.60 | 1.001 | 0.999–1.000 | 0.220 |
| ALP | 0.999 | 0.996–1.000 | 0.41 | 0.999 | 0.996–1.000 | 0.29 | 1.002 | 0.999–1.00 | 0.087 |
| TBIL | 0.965 | 0.698–1.270 | 0.81 | 0.985 | 0.717–1.300 | 0.92 | 1.598 | 1.188–2.250 | 0.004 |
| albumin | 0.281 | 0.172–0.450 | <0.001 | 0.247 | 0.148–0.400 | <0.001 | 0.233 | 0.143–0.370 | <0.001 |
| NLR | 1.033 | 1.015–1.060 | 0.001 | 1.032 | 1.014–1.050 | 0.001 | 1.031 | 1.011–1.060 | 0.006 |
| ICU-Admission | Mechanical Ventilation | Fatal Outcome | ||||||
|---|---|---|---|---|---|---|---|---|
| Model | AIC | Model | AIC | Model | AIC | |||
| 1 | albumin+ALP | 439.0 | 1 | albumin | 426.2 | 1 | albumin+TBIL | 455.1 |
| 2 | albumin | 439.2 | 2 | albumin+ALP | 426.2 | 2 | albumin+AST | 456.8 |
| 3 | albumin+ALT | 440.7 | 3 | albumin+ALT | 427.3 | 3 | albumin+ALT | 462.1 |
| 4 | albumin+TBIL | 441.0 | 4 | albumin+AST | 427.5 | 4 | albumin | 464.1 |
| 5 | albumin+AST | 441.2 | 5 | albumin+TBIL | 428.0 | 5 | albumin+GGT | 464.7 |
| 6 | albumin+GGT | 441.2 | 6 | albumin+GGT | 428.1 | 6 | albumin+ALP | 464.7 |
| 7 | NLR | 456.3 | 7 | NLR | 448.4 | 7 | AST+ALT | 493.2 |
| 8 | ALP | 469.8 | 8 | AST | 461.1 | 8 | AST+TBIL | 493.5 |
| 9 | ALT | 470.4 | 9 | AST+ALP | 461.5 | 9 | NLR | 497.0 |
| 10 | AST | 470.4 | 10 | ALP | 461.6 | 10 | AST | 497.2 |
| 11 | GGT | 470.5 | 11 | ALT | 461.6 | 11 | TBIL+GGT | 497.2 |
| 12 | TBIL | 470.6 | 12 | GGT | 461.9 | 12 | TBIL | 497.5 |
| 13 | AST+ALP | 470.9 | 13 | TBIL | 462.1 | 13 | TBIL+ALT | 497.7 |
| 14 | ALP+GGT | 470.9 | 14 | ALP+GGT | 462.4 | 14 | AST+ALP | 498.7 |
| 15 | ALP+ALT | 471.0 | 15 | ALP+ALT | 462.6 | 15 | AST+GGT | 499.1 |
| 16 | ALP+TBIL | 471.6 | 16 | AST+TBIL | 462.8 | 16 | ALP+TBIL | 499.5 |
| 17 | TBIL+GGT | 472.1 | 17 | AST+GGT | 463.1 | 17 | ALP+ALT | 504.6 |
| 18 | AST+TBIL | 472.1 | 18 | AST+ALT | 463.1 | 18 | ALP | 504.6 |
| 19 | TBIL+ALT | 472.2 | 19 | ALP+TBIL | 463.3 | 19 | ALT | 504.7 |
| 20 | ALT+GGT | 472.2 | 20 | TBIL+GGT | 463.4 | 20 | ALT+GGT | 505.8 |
| 21 | ALT+AST | 472.3 | 21 | ALT+GGT | 463.4 | 21 | GGT | 506.4 |
| 22 | AST+GGT | 472.3 | 22 | TBIL+ALT | 463.5 | 22 | TBIL+GGT | 506.5 |
| ICU Admission | ||||||||
|---|---|---|---|---|---|---|---|---|
| OR | 95% CI | p-Value | Sample Size n | NG | LR p-Value | AIC | ||
| Variables | 25% | 75% | ||||||
| Model: albumin+ALP | 36.810 | 8.245 | 177.080 | <0.0001 | 459 | 0.292 | <0.0001 | 518.2 |
| ALP | 0.997 | 0.994 | 1.000 | 0.101 | ||||
| albumin | 0.277 | 0.176 | 0.420 | <0.0001 | ||||
| Hypertension | 1.103 | 0.675 | 1.810 | 0.694 | ||||
| Diabetes-1 | 0.243 | 0.012 | 1.570 | 0.207 | ||||
| Diabetes-2 | 1.504 | 0.824 | 2.740 | 0.182 | ||||
| Diabetes-3 | 1.881 | 0.754 | 4.650 | 0.170 | ||||
| Diabetes-4 | 2.234 | 0.588 | 8.410 | 0.228 | ||||
| Diabetes-5 | <0.001 | <0.001 | <0.001 | 0.997 | ||||
| Asthma | 1.837 | 0.579 | 5.700 | 0.290 | ||||
| COPD | 0.236 | 0.033 | 1.050 | 0.088 | ||||
| Dementia | 0.061 | 0.009 | 0.230 | <0.001 | ||||
| Stroke/TIA in patient history | 0.650 | 0.257 | 1.540 | 0.341 | ||||
| Chronic kiedney disease | 0.279 | 0.138 | 0.540 | <0.001 | ||||
| Active smoker | 0.706 | 0.192 | 2.300 | 0.576 | ||||
| Former smoker | 0.279 | 0.069 | 0.910 | 0.047 | ||||
| Myocardial infraction in patient history | 1.704 | 0.802 | 3.630 | 0.164 | ||||
| Heart failure | 0.959 | 0.473 | 1.910 | 0.905 | ||||
| Leukemia | 4.327 | 0.946 | 21.070 | 0.058 | ||||
| Solid malignant disease without metastases | 0.863 | 0.317 | 2.260 | 0.767 | ||||
| Solid malignant disease with metastases | <0.001 | <0.001 | >1000 | 0.988 | ||||
| Lymphoma | <0.001 | <0.001 | >1000 | 0.989 | ||||
| Lenght of hospital stay | 1.007 | 0.993 | 1.020 | 0.341 | ||||
| OR | 95% CI | p-Value | Sample Size n | NG | LR p- Value | AIC | ||
| Variables | 25% | 75% | ||||||
| Model: albumin | 21.583 | 6.137 | 79.200 | <0.0001 | 621 | 0.276 | <0.0001 | 666 |
| albumin | 0.295 | 0.200 | 0.430 | <0.0001 | ||||
| Hypertension | 1.055 | 0.685 | 1.630 | 0.808 | ||||
| Diabetes-1 | 0.224 | 0.012 | 1.300 | 0.168 | ||||
| Diabetes-2 | 1.751 | 1.038 | 2.950 | 0.035 | ||||
| Diabetes-3 | 1.782 | 0.809 | 3.870 | 0.146 | ||||
| Diabetes-4 | 2.423 | 0.730 | 8.030 | 0.142 | ||||
| Diabetes-5 | <0.001 | <0.001 | >1000 | 0.994 | ||||
| Asthma | 1.749 | 0.708 | 4.260 | 0.218 | ||||
| COPD | 0.514 | 0.142 | 1.610 | 0.274 | ||||
| Dementia | 0.068 | 0.015 | 0.210 | <0.001 | ||||
| Stroke/TIA in patient history | 0.748 | 0.329 | 1.600 | 0.468 | ||||
| Chronic kiedney disease | 0.263 | 0.139 | 0.470 | <0.001 | ||||
| Active smoker | 0.773 | 0.268 | 2.070 | 0.618 | ||||
| Former smoker | 0.352 | 0.105 | 1.000 | 0.065 | ||||
| Myocardial infraction in patient history | 1.495 | 0.780 | 2.840 | 0.221 | ||||
| Heart failure | 0.861 | 0.467 | 1.560 | 0.625 | ||||
| Leukemia | 4.333 | 1.092 | 17.900 | 0.036 | ||||
| Solid malignant disease without metastases | 0.532 | 0.217 | 1.200 | 0.144 | ||||
| Solid malignant disease with metastases | <0.001 | <0.001 | >1000 | 0.984 | ||||
| Lymphoma | <0.001 | <0.001 | >1000 | 0.987 | ||||
| Lenght of hospital stay | 1.006 | 0.994 | 1.020 | 0.333 | ||||
| Mechanical Ventilation | ||||||||
|---|---|---|---|---|---|---|---|---|
| OR | 95% CI | p-Value | Sample Size n | NG | LR p-Value | AIC | ||
| Variables | 25% | 75% | ||||||
| Model: albumin+ALP | 50.933 | 11.113 | 253.280 | <0.0001 | 459 | 0.298 | <0.0001 | 507.8 |
| ALP | 0.998 | 0.994 | 1.000 | 0.121 | ||||
| albumin | 0.244 | 0.154 | 0.380 | <0.0001 | ||||
| Hypertension | 1.334 | 0.810 | 2.210 | 0.259 | ||||
| Diabetes-1 | 0.244 | 0.012 | 1.590 | 0.209 | ||||
| Diabetes-2 | 1.331 | 0.723 | 2.440 | 0.356 | ||||
| Diabetes-3 | 2.102 | 0.828 | 5.330 | 0.115 | ||||
| Diabetes-4 | 2.232 | 0.582 | 8.530 | 0.233 | ||||
| Diabetes-5 | <0.001 | <0.001 | <0.001 | 0.997 | ||||
| Asthma | 1.342 | 0.404 | 4.180 | 0.616 | ||||
| COPD | 0.410 | 0.080 | 1.610 | 0.230 | ||||
| Dementia | 0.057 | 0.008 | 0.220 | <0.001 | ||||
| Stroke/TIA in patient history | 0.735 | 0.287 | 1.760 | 0.502 | ||||
| Chronic kiedney disease | 0.270 | 0.131 | 0.530 | <0.001 | ||||
| Active smoker | 0.765 | 0.208 | 2.500 | 0.668 | ||||
| Former smoker | 0.211 | 0.043 | 0.760 | 0.030 | ||||
| Myocardial infraction in patient history | 1.622 | 0.751 | 3.500 | 0.216 | ||||
| Heart failure | 0.649 | 0.309 | 1.320 | 0.241 | ||||
| Leukemia | 1.515 | 0.266 | 7.180 | 0.611 | ||||
| Solid malignant disease without metastases | 0.739 | 0.260 | 1.970 | 0.555 | ||||
| Solid malignant disease with metastases | <0.001 | <0.001 | >1000 | 0.987 | ||||
| Lymphoma | <0.001 | <0.001 | >1000 | 0.988 | ||||
| Lenght of hospital stay | 1.005 | 0.991 | 1.020 | 0.497 | ||||
| OR | 95% CI | p-Value | Sample Size n | NG | LR p-Value | AIC | ||
| Variables | 25% | 75% | ||||||
| Model: albumin | 23.245 | 6.524 | 86.500 | <0.0001 | 621 | 0.266 | <0.0001 | 657.3 |
| albumin | 0.284 | 0.192 | 0.410 | <0.0001 | ||||
| Hypertension | 1.228 | 0.794 | 1.900 | 0.356 | ||||
| Diabetes-1 | 0.233 | 0.012 | 1.360 | 0.180 | ||||
| Diabetes-2 | 1.677 | 0.990 | 2.830 | 0.053 | ||||
| Diabetes-3 | 2.286 | 1.043 | 4.980 | 0.037 | ||||
| Diabetes-4 | 2.721 | 0.826 | 8.980 | 0.095 | ||||
| Diabetes-5 | <0.001 | <0.001 | >1000 | 0.994 | ||||
| Asthma | 1.572 | 0.627 | 3.820 | 0.322 | ||||
| COPD | 0.512 | 0.142 | 1.610 | 0.273 | ||||
| Dementia | 0.072 | 0.016 | 0.220 | <0.001 | ||||
| Stroke/TIA in patient history | 0.800 | 0.351 | 1.720 | 0.577 | ||||
| Chronic kiedney disease | 0.294 | 0.157 | 0.530 | <0.001 | ||||
| Active smoker | 0.731 | 0.243 | 2.000 | 0.556 | ||||
| Former smoker | 0.356 | 0.104 | 1.030 | 0.073 | ||||
| Myocardial infraction in patient history | 1.686 | 0.880 | 3.210 | 0.112 | ||||
| Heart failure | 0.647 | 0.345 | 1.190 | 0.167 | ||||
| Leukemia | 1.770 | 0.399 | 7.030 | 0.426 | ||||
| Solid malignant disease without metastases | 0.488 | 0.191 | 1.120 | 0.108 | ||||
| Solid malignant disease with metastases | <0.001 | <0.001 | >1000 | 0.984 | ||||
| Lymphoma | <0.001 | <0.001 | >1000 | 0.987 | ||||
| Lenght of hospital stay | 1.000 | 0.989 | 1.010 | 0.953 | ||||
| Fatal Outcome | ||||||||
|---|---|---|---|---|---|---|---|---|
| OR | 95% CI | p-Value | Sample Size n | NG | LR p-Value | AIC | ||
| Variables | 25% | 75% | ||||||
| Model: albumin+TBIL | 26.886 | 7.227 | 105.600 | <0.0001 | 582 | 0.291 | <0.0001 | 645 |
| TBIL | 1.657 | 1.249 | 2.290 | 0.001 | ||||
| albumin | 0.229 | 0.151 | 0.340 | <0.0001 | ||||
| Hypertension | 1.538 | 0.982 | 2.420 | 0.061 | ||||
| Diabetes-1 | 0.800 | 0.159 | 3.190 | 0.764 | ||||
| Diabetes-2 | 1.814 | 1.071 | 3.070 | 0.026 | ||||
| Diabetes-3 | 1.723 | 0.819 | 3.580 | 0.146 | ||||
| Diabetes-4 | 3.292 | 0.895 | 11.440 | 0.063 | ||||
| Diabetes-5 | <0.001 | <0.001 | >1000 | 0.984 | ||||
| Asthma | 1.191 | 0.432 | 3.040 | 0.723 | ||||
| COPD | 0.806 | 0.259 | 2.360 | 0.700 | ||||
| Dementia | 1.473 | 0.709 | 3.070 | 0.298 | ||||
| Stroke/TIA in patient history | 0.916 | 0.449 | 1.820 | 0.804 | ||||
| Chronic kiedney disease | 0.614 | 0.354 | 1.050 | 0.077 | ||||
| Active smoker | 1.110 | 0.405 | 2.880 | 0.835 | ||||
| Former smoker | 0.818 | 0.283 | 2.200 | 0.699 | ||||
| Myocardial infraction in patient history | 2.904 | 1.609 | 5.310 | <0.001 | ||||
| Heart failure | 1.313 | 0.750 | 2.290 | 0.337 | ||||
| Leukemia | 6.608 | 1.617 | 30.450 | 0.010 | ||||
| Solid malignant disease without metastases | 1.017 | 0.443 | 2.240 | 0.967 | ||||
| Solid malignant disease with metastases | 0.286 | 0.065 | 1.010 | 0.068 | ||||
| Lymphoma | 1.895 | 0.338 | 8.780 | 0.431 | ||||
| Lenght of hospital stay | 0.974 | 0.960 | 0.990 | <0.001 | ||||
| OR | CI 95% | p-Value | Sample Size n | NG | LR p-Value | AIC | ||
| Variables | 25% | 75% | ||||||
| Model: albumin+AST | 38.776 | 10.422 | 152.550 | <0.0001 | 603 | 0.305 | <0.0001 | 661.5 |
| albumin | 0.213 | 0.140 | 0.310 | <0.0001 | ||||
| AST | 1.003 | 1.001 | 1.010 | 0.008 | ||||
| Hypertension | 1.573 | 1.009 | 2.460 | 0.046 | ||||
| Diabetes-1 | 1.021 | 0.276 | 3.450 | 0.973 | ||||
| Diabetes-2 | 1.685 | 1.007 | 2.810 | 0.046 | ||||
| Diabetes-3 | 1.533 | 0.724 | 3.200 | 0.258 | ||||
| Diabetes-4 | 3.133 | 0.838 | 11.120 | 0.079 | ||||
| Diabetes-5 | <0.001 | <0.001 | >1000 | 0.980 | ||||
| Asthma | 1.011 | 0.363 | 2.600 | 0.983 | ||||
| COPD | 0.823 | 0.267 | 2.390 | 0.725 | ||||
| Dementia | 1.550 | 0.749 | 3.220 | 0.237 | ||||
| Stroke/TIA in patient history | 0.925 | 0.454 | 1.840 | 0.827 | ||||
| Chronic kiedney disease | 0.717 | 0.414 | 1.220 | 0.228 | ||||
| Active smoker | 1.267 | 0.484 | 3.190 | 0.621 | ||||
| Former smoker | 0.693 | 0.250 | 1.780 | 0.461 | ||||
| Myocardial infraction in patient history | 2.751 | 1.542 | 4.970 | 0.001 | ||||
| Heart failure | 1.520 | 0.882 | 2.610 | 0.129 | ||||
| Leukemia | 6.975 | 1.720 | 32.450 | 0.008 | ||||
| Solid malignant disease without metastases | 1.250 | 0.566 | 2.690 | 0.572 | ||||
| Solid malignant disease with metastases | 0.537 | 0.159 | 1.640 | 0.289 | ||||
| Lymphoma | 1.829 | 0.331 | 8.470 | 0.454 | ||||
| Lenght of hospital stay | 0.975 | 0.962 | 0.990 | < 0.001 | ||||
Publisher’s Note: MDPI stays neutral with regard to jurisdictional claims in published maps and institutional affiliations. |
© 2022 by the authors. Licensee MDPI, Basel, Switzerland. This article is an open access article distributed under the terms and conditions of the Creative Commons Attribution (CC BY) license (https://creativecommons.org/licenses/by/4.0/).
Share and Cite
Tokarczyk, U.; Kaliszewski, K.; Kopszak, A.; Nowak, Ł.; Sutkowska-Stępień, K.; Sroczyński, M.; Sępek, M.; Dudek, A.; Diakowska, D.; Trocha, M.; et al. Liver Function Tests in COVID-19: Assessment of the Actual Prognostic Value. J. Clin. Med. 2022, 11, 4490. https://doi.org/10.3390/jcm11154490
Tokarczyk U, Kaliszewski K, Kopszak A, Nowak Ł, Sutkowska-Stępień K, Sroczyński M, Sępek M, Dudek A, Diakowska D, Trocha M, et al. Liver Function Tests in COVID-19: Assessment of the Actual Prognostic Value. Journal of Clinical Medicine. 2022; 11(15):4490. https://doi.org/10.3390/jcm11154490
Chicago/Turabian StyleTokarczyk, Urszula, Krzysztof Kaliszewski, Anna Kopszak, Łukasz Nowak, Karolina Sutkowska-Stępień, Maciej Sroczyński, Monika Sępek, Agata Dudek, Dorota Diakowska, Małgorzata Trocha, and et al. 2022. "Liver Function Tests in COVID-19: Assessment of the Actual Prognostic Value" Journal of Clinical Medicine 11, no. 15: 4490. https://doi.org/10.3390/jcm11154490
APA StyleTokarczyk, U., Kaliszewski, K., Kopszak, A., Nowak, Ł., Sutkowska-Stępień, K., Sroczyński, M., Sępek, M., Dudek, A., Diakowska, D., Trocha, M., Gajecki, D., Gawryś, J., Matys, T., Maciejiczek, J., Kozub, V., Szalast, R., Madziarski, M., Zubkiewicz-Zarębska, A., Letachowicz, K., ... Jankowska, E. A. (2022). Liver Function Tests in COVID-19: Assessment of the Actual Prognostic Value. Journal of Clinical Medicine, 11(15), 4490. https://doi.org/10.3390/jcm11154490

