Macroscopic Synovial Inflammation Correlates with Symptoms and Cartilage Lesions in Patients Undergoing Arthroscopic Partial Meniscectomy: A Clinical Study
Abstract
:1. Introduction
2. Materials and Methods
2.1. Study Sample
2.2. Clinical Data
2.3. Surgical Procedure and Intraoperative Scoring
2.4. Sample Size Estimation
2.5. Statistical Analysis
3. Results
3.1. Patient Demographics and Baseline Characteristics
3.2. Arthroscopic Findings
3.2.1. Meniscus Pathology
3.2.2. Cartilage Lesions
3.2.3. Synovial Inflammation
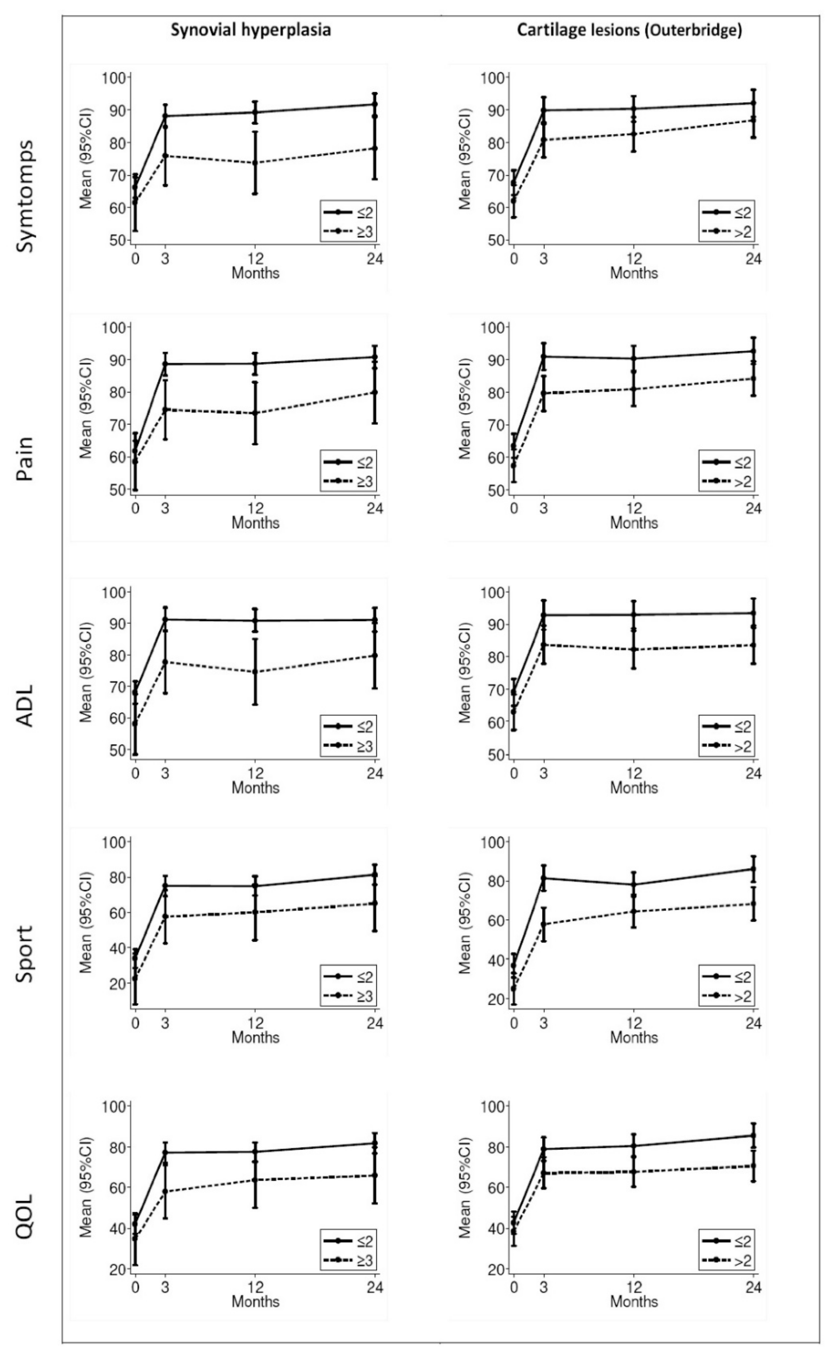
3.3. Clinical Outcomes
4. Discussion
5. Conclusions
Supplementary Materials
Author Contributions
Funding
Institutional Review Board Statement
Informed Consent Statement
Data Availability Statement
Acknowledgments
Conflicts of Interest
References
- Flandry, F.; Hommel, G. Normal anatomy and biomechanics of the knee. Sports Med. Arthrosc. Rev. 2011, 19, 82–92. [Google Scholar] [CrossRef] [PubMed]
- Englund, M. The role of the meniscus in osteoarthritis genesis. Med. Clin. N. Am. 2009, 93, 37–43. [Google Scholar] [CrossRef] [PubMed]
- Lohmander, L.S.; Englund, P.M.; Dahl, L.L.; Roos, E.M. The long-term consequence of anterior cruciate ligament and meniscus injuries: Osteoarthritis. Am. J. Sports Med. 2007, 35, 1756–1769. [Google Scholar] [CrossRef] [PubMed] [Green Version]
- Loeser, R.F.; Goldring, S.R.; Scanzello, C.R.; Goldring, M.B. Osteoarthritis: A disease of the joint as an organ. Arthritis Rheum. 2012, 64, 1697–1707. [Google Scholar] [CrossRef] [Green Version]
- Roemer, F.W.; Guermazi, A.; Hunter, D.J.; Niu, J.; Zhang, Y.; Englund, M.; Javaid, M.K.; Lynch, J.A.; Mohr, A.; Torner, J.; et al. The association of meniscal damage with joint effusion in persons without radiographic osteoarthritis: The Framingham and MOST osteoarthritis studies. Osteoarthr. Cartil. 2009, 17, 748–753. [Google Scholar] [CrossRef] [Green Version]
- Scanzello, C.R.; McKeon, B.; Swaim, B.H.; DiCarlo, E.; Asomugha, E.U.; Kanda, V.; Nair, A.; Lee, D.M.; Richmond, J.C.; Katz, J.N.; et al. Synovial inflammation in patients undergoing arthroscopic meniscectomy: Molecular characterization and relationship to symptoms. Arthritis Rheum. 2011, 63, 391–400. [Google Scholar] [CrossRef] [Green Version]
- Scanzello, C.R.; Goldring, S.R. The role of synovitis in osteoarthritis pathogenesis. Bone 2012, 51, 249–257. [Google Scholar] [CrossRef] [Green Version]
- Battistelli, M.; Favero, M.; Burini, D.; Trisolino, G.; Dallari, D.; De Franceschi, L.; Goldring, S.R.; Goldring, M.B.; Belluzzi, E.; Filardo, G.; et al. Morphological and ultrastructural analysis of normal, injured and osteoarthritic human knee menisci. Eur. J. Histochem. EJH 2019, 63. [Google Scholar] [CrossRef] [Green Version]
- Belluzzi, E.; Olivotto, E.; Toso, G.; Cigolotti, A.; Pozzuoli, A.; Biz, C.; Trisolino, G.; Ruggieri, P.; Grigolo, B.; Ramonda, R.; et al. Conditioned media from human osteoarthritic synovium induces inflammation in a synoviocyte cell line. Connect. Tissue Res. 2019, 60, 136–145. [Google Scholar] [CrossRef]
- Favero, M.; Belluzzi, E.; Trisolino, G.; Goldring, M.B.; Goldring, S.R.; Cigolotti, A.; Pozzuoli, A.; Ruggieri, P.; Ramonda, R.; Grigolo, B.; et al. Inflammatory molecules produced by meniscus and synovium in early and end-stage osteoarthritis: A coculture study. J. Cell. Physiol. 2019, 234, 11176–11187. [Google Scholar] [CrossRef]
- Favero, M.; Ramonda, R.; Goldring, M.B.; Goldring, S.R.; Punzi, L. Early knee osteoarthritis. RMD Open 2015, 1, e000062. [Google Scholar] [CrossRef] [PubMed]
- Trisolino, G.; Favero, M.; Lazzaro, A.; Martucci, E.; Strazzari, A.; Belluzzi, E.; Goldring, S.R.; Goldring, M.B.; Punzi, L.; Grigolo, B.; et al. Is arthroscopic videotape a reliable tool for describing early joint tissue pathology of the knee? Knee 2017, 24, 1374–1382. [Google Scholar] [CrossRef] [PubMed]
- Chu, C.R.; Williams, A.A.; Coyle, C.H.; Bowers, M.E. Early diagnosis to enable early treatment of pre-osteoarthritis. Arthritis. Res. Ther. 2012, 14, 212. [Google Scholar] [CrossRef] [PubMed] [Green Version]
- Monticone, M.; Ferrante, S.; Salvaderi, S.; Rocca, B.; Totti, V.; Foti, C.; Roi, G.S. Development of the Italian version of the knee injury and osteoarthritis outcome score for patients with knee injuries: Cross-cultural adaptation, dimensionality, reliability, and validity. Osteoarthr. Cartil. 2012, 20, 330–335. [Google Scholar] [CrossRef] [PubMed] [Green Version]
- Anderson, A.F.; Irrgang, J.J.; Dunn, W.; Beaufils, P.; Cohen, M.; Cole, B.J.; Coolican, M.; Ferretti, M.; Glenn, R.E., Jr.; Johnson, R.; et al. Interobserver reliability of the International Society of Arthroscopy, Knee Surgery and Orthopaedic Sports Medicine (ISAKOS) classification of meniscal tears. Am. J. Sports Med. 2011, 39, 926–932. [Google Scholar] [CrossRef]
- Outerbridge, R.E. The etiology of chondromalacia patellae. J. Bone Joint Surg. Br. 1961, 43, 752–757. [Google Scholar] [CrossRef]
- Af Klint, E.; Catrina, A.I.; Matt, P.; Neregrad, P.; Lampa, J.; Ulfgren, A.K.; Klareskog, L.; Lindblad, S. Evaluation of arthroscopy and macroscopic scoring. Arthritis. Res. Ther. 2009, 11, R81. [Google Scholar] [CrossRef] [Green Version]
- Faul, F.; Erdfelder, E.; Buchner, A.; Lang, A.-G. Statistical power analyses using G*Power 3.1: Tests for correlation and regression analyses. Behav. Res. Methods 2009, 41, 1149–1160. [Google Scholar] [CrossRef] [Green Version]
- White, H. A Heteroskedasticity-Consistent Covariance Matrix Estimator and a Direct Test for Heteroskedasticity. Econometrica 1980, 48, 817–838. [Google Scholar] [CrossRef]
- Wesdorp, M.A.; Eijgenraam, S.M.; Meuffels, D.E.; Bierma-Zeinstra, S.M.A.; Kleinrensink, G.J.; Bastiaansen-Jenniskens, Y.M.; Reijman, M. Traumatic Meniscal Tears Are Associated With Meniscal Degeneration. Am. J. Sports Med. 2020, 48, 2345–2352. [Google Scholar] [CrossRef]
- Madry, H.; Kon, E.; Condello, V.; Peretti, G.M.; Steinwachs, M.; Seil, R.; Berruto, M.; Engebretsen, L.; Filardo, G.; Angele, P. Early osteoarthritis of the knee. Knee Surg. Sports Traumatol. Arthrosc. 2016, 24, 1753–1762. [Google Scholar] [CrossRef]
- Englund, M.; Roos, E.M.; Lohmander, L.S. Impact of type of meniscal tear on radiographic and symptomatic knee osteoarthritis: A sixteen-year followup of meniscectomy with matched controls. Arthritis. Rheum. 2003, 48, 2178–2187. [Google Scholar] [CrossRef]
- Thorlund, J.B.; Englund, M.; Christensen, R.; Nissen, N.; Pihl, K.; Jorgensen, U.; Schjerning, J.; Lohmander, L.S. Patient reported outcomes in patients undergoing arthroscopic partial meniscectomy for traumatic or degenerative meniscal tears: Comparative prospective cohort study. BMJ 2017, 356, j356. [Google Scholar] [CrossRef] [Green Version]
- Chatain, F.; Adeleine, P.; Chambat, P.; Neyret, P.; Société Française d’Arthroscopie. A comparative study of medial versus lateral arthroscopic partial meniscectomy on stable knees: 10-year minimum follow-up. Arthroscopy 2003, 19, 842–849. [Google Scholar] [CrossRef]
- Sgroi, M.; Gninka, J.; Fuchs, M.; Seitz, A.M.; Reichel, H.; Kappe, T. Chondral lesions at the medial femoral condyle, meniscal degeneration, anterior cruciate ligament insufficiency, and lateral meniscal tears impair the middle-term results after arthroscopic partial meniscectomy. Knee Surg. Sports Traumatol. Arthrosc. 2020, 28, 3488–3496. [Google Scholar] [CrossRef] [PubMed]
- Driban, J.B.; Davis, J.E.; Lu, B.; Price, L.L.; Ward, R.J.; MacKay, J.W.; Eaton, C.B.; Lo, G.H.; Barbe, M.F.; Zhang, M.; et al. Accelerated Knee Osteoarthritis Is Characterized by Destabilizing Meniscal Tears and Preradiographic Structural Disease Burden. Arthritis. Rheumatol. 2019, 71, 1089–1100. [Google Scholar] [CrossRef] [PubMed] [Green Version]
- Hulet, C.; Menetrey, J.; Beaufils, P.; Chambat, P.; Djian, P.; Hardy, P.; Potel, J.F.; Servien, E.; Seil, R.; French Arthroscopic, S. Clinical and radiographic results of arthroscopic partial lateral meniscectomies in stable knees with a minimum follow up of 20 years. Knee Surg. Sports Traumatol. Arthrosc. 2015, 23, 225–231. [Google Scholar] [CrossRef]
- Kamimura, M.; Umehara, J.; Takahashi, A.; Mori, Y.; Chiba, D.; Kuwahara, Y.; Itoi, E. Meniscal tear morphology independently affects pain relief following arthroscopic partial meniscectomy in middle-aged patients. Knee Surg. Sports Traumatol. Arthrosc. 2019, 27, 2460–2467. [Google Scholar] [CrossRef]
- Schimmer, R.C.; Brulhart, K.B.; Duff, C.; Glinz, W. Arthroscopic partial meniscectomy: A 12-year follow-up and two-step evaluation of the long-term course. Arthroscopy 1998, 14, 136–142. [Google Scholar] [CrossRef]
- Scanzello, C.R.; Albert, A.S.; DiCarlo, E.; Rajan, K.B.; Kanda, V.; Asomugha, E.U.; Swaim, B.H.; Katz, J.N.; Goldring, S.R.; Richmond, J.C.; et al. The influence of synovial inflammation and hyperplasia on symptomatic outcomes up to 2 years post-operatively in patients undergoing partial meniscectomy. Osteoarthr. Cartil. 2013, 21, 1392–1399. [Google Scholar] [CrossRef] [Green Version]
- Ene, R.; Sinescu, R.D.; Ene, P.; Cirstoiu, M.M.; Cirstoiu, F.C. Synovial inflammation in patients with different stages of knee osteoarthritis. Rom. J. Morphol. Embryol. 2015, 56, 169–173. [Google Scholar] [PubMed]
- MacFarlane, L.A.; Yang, H.; Collins, J.E.; Jarraya, M.; Guermazi, A.; Mandl, L.A.; Martin, S.D.; Wright, J.; Losina, E.; Katz, J.N.; et al. Association of Changes in Effusion-Synovitis With Progression of Cartilage Damage Over Eighteen Months in Patients With Osteoarthritis and Meniscal Tear. Arthritis Rheumatol. 2019, 71, 73–81. [Google Scholar] [CrossRef] [PubMed]
- Olivotto, E.; Belluzzi, E.; Pozzuoli, A.; Cigolotti, A.; Scioni, M.; Goldring, S.R.; Goldring, M.B.; Ruggieri, P.; Ramonda, R.; Grigolo, B.; et al. Do Synovial Inflammation and Meniscal Degeneration Impact Clinical Outcomes of Patients Undergoing Arthroscopic Partial Meniscectomy? A Histological Study. Int. J. Mol. Sci. 2022, 23, 3903. [Google Scholar] [CrossRef] [PubMed]
- Cameron, M.L.; Briggs, K.K.; Steadman, J.R. Reproducibility and reliability of the outerbridge classification for grading chondral lesions of the knee arthroscopically. Am. J. Sports Med. 2003, 31, 83–86. [Google Scholar] [CrossRef] [PubMed]
- Tuijthof, G.J.; Abbink, M.; Sierevelt, I.N.; van Dijk, C.N. Multirater agreement on arthroscopic image quality. Proc. Inst. Mech. Eng. H 2009, 223, 179–187. [Google Scholar] [CrossRef] [PubMed]

| Men/Women, Number (%) | 74 (67.89)/35 (32.11) |
|---|---|
| Age mean ± (SD), years | 47.45 ± (11.03) |
| BMI mean ± (SD), kg/m2 | 26.94 ± (4.75) |
| History of trauma, number (%) | 47 (43.11) |
| Right/Left knee, number (%) | 56 (51.38)/53 (48.62) |
| Symptom duration, median (IQR) years | 0.77 (1.52–0.32) |
| KOOS total median (IQR), % | 60.71 (72.62–47.62) |
| KOOS SPT subscale mean ± (SD), % | 65.60 ± 20.39 |
| KOOS pain subscale mean ± (SD), % | 61.29 ± 19.09 |
| KOOS ADL subscale median (IQR), % | 69.12 (85.29–51.47) |
| KOOS Sport/Rec subscale mean (SD), % | 32.43 ± 23.56 |
| KOOS QOL subscale mean ± (SD), % | 41.06 ± 18.89 |
| Location (n. Total Meniscal Lesions 128/128) | Medial Meniscus Tear, Number (%) | 79 (72.48) |
|---|---|---|
| Lateral meniscus tear, number (%) | 14 (12.84) | |
| Bilateral meniscus tear, number (%) | 16 (14.68) | |
| Posterior horn, number (%) | 56 (43.75) | |
| Posterior horn-body, number (%) | 33 (25.78) | |
| Body, number (%) | 16 (12.50) | |
| Anterior horn-body, number (%) | 8 (6.25) | |
| Anterior horn, number (%) | 7 (5.47) | |
| Entire meniscus, number (%) | 8 (6.25) | |
| Thickness (n. 126/128) | Partial/Full thickness, number (%) | 106 (84.13)/22 (17.46) |
| Type (n. 126/128) | Radial, number (%) | 13 (10.32) |
| Longitudinal-vertical, number (%) | 21 (16.67) | |
| Horizontal, number (%) | 4 (3.17) | |
| Flap, number (%) | 43 (34.13) | |
| Bucket-handled displaced, number (%) | 10 (7.49) | |
| Complex, number (%) | 35 (27.28) | |
| Length (n. 122/128) | 0–9 mm, number (%) | 24 (19.67) |
| 10–19 mm, number (%) | 65 (51.28) | |
| >20 mm, number (%) | 33 (27.05) |
| Presence/Absence of Cartilage Lesions, Number (%) | 83 (76.15)/26 (23.85) |
|---|---|
| Single/Multiple, number (%) | 31 (37.34)/52 (62.65) |
| Femoral lesions, number (%) | 70 (46.5) |
| Medial condyle, number (%) | 56 (53.33) |
| Lateral condyle, number (%) | 18 (17.14) |
| Trochlear, number (%) | 31 (29.52) |
| Tibial lesions, number (%) | 32 (21.05) |
| Medial tibial plateau, number (%) | 31 (63.27) |
| Lateral tibial plateau, number (%) | 18 (36.73) |
| Patellar lesions, number (%) | 50 (32.89) |
| 0–9 mm, number (%) | 3 (1–6) |
| 10–19 mm, number (%) | 32 (21.05) |
| >20 mm, number (%) | 31 (63.27) |
| Maximal Cartilage grade, number (107/109) | |
| 0 | 26 (24.30) |
| 1 | 10 (9.3) |
| 2 | 33 (30.84) |
| 3 | 25 (23.36) |
| 4 | 13 (12.5) |
| Synovial Inflammation Characteristics, Number (%) | ||||||
|---|---|---|---|---|---|---|
| 0 | 1 | 2 | 3 | 4 | ||
| Hypertrophy | 24 (22) | 44 (40) | 28 (26) | 11 (10) | 2 (2) | |
| Vascularity | 36 (33) | 29 (27) | 32 (29) | 11 (10) | 1 (1) | |
| Synovitis | 29 (27) | 39 (36) | 28 (26) | 11 (10) | 2 (2) | |
| Subtotal Synovial Score, Number (%) | ||||||
| Absent 0 | Mild (≤3) | Mild-Moderate (4–6) | Moderate (7–9) | Severe (≥10) | ||
| 15 (13.76) | 44 (40.36) | 36 (33.03) | 13 (11.93) | 1 (0.92) | ||
| Symp | Pain | ADL | Sport | QOL | |||||||||||
|---|---|---|---|---|---|---|---|---|---|---|---|---|---|---|---|
| Coef | 95%CI | p | Coef | 95%CI | p | Coef | 95%CI | p | Coef | 95%CI | p | Coef | 95%CI | p | |
| Age (1-y inc) | −0.05 | −0.25, 0.14 | 0.592 | −0.12 | −0.31, 0.06 | 0.189 | −0.14 | −0.34, 0.06 | 0.172 | −0.46 | −0.84, −0.08 | 0.019 | −0.33 | −0.71, 0.05 | 0.086 |
| MALE (1) | −0.51 | −4.89, 3.87 | 0.818 | −0.92 | −5.38, 3.53 | 0.682 | −0.04 | −4.85, 4.76 | 0.985 | −1.16 | −9.77, 7.44 | 0.789 | −4.03 | −12.05, 3.99 | 0.322 |
| BMI 25–30 vs. <25 | 3.23 | −1.54, 8.00 | 0.182 | 4.3 | −0.37, 8.97 | 0.071 | 3.32 | −1.41, 8.06 | 0.167 | 2.09 | −6.59, 10.77 | 0.634 | 4.76 | −3.57, 13.10 | 0.26 |
| BMI >30 vs. <25 | 4.86 | 0.08, 9.64 | 0.046 | 5.65 | 0.48, 10.82 | 0.033 | 3.86 | −1.65, 9.38 | 0.168 | 5.61 | −3.19, 14.41 | 0.209 | 5.14 | −3.78, 14.05 | 0.256 |
| Degenerative MT | 4.52 | 0.31, 8.74 | 0.036 | 2.6 | −1.62, 6.82 | 0.225 | 4.06 | −0.15, 8.27 | 0.058 | 6.01 | −2.02, 14.05 | 0.141 | 0.18 | −7.99, 8.34 | 0.966 |
| Time to S (1-p inc) | −1.33 | −2.34, −0.32 | 0.011 | −1.37 | −2.65, −0.09 | 0.036 | −1.08 | −2.38, 0.21 | 0.101 | −1.43 | −3.31, 0.44 | 0.133 | −2.27 | −4.10, −0.45 | 0.015 |
| LM vs. MM | −5.35 | −11.19, 0.49 | 0.072 | −3.43 | −8.41, 1.56 | 0.176 | −3.69 | −8.50, 1.12 | 0.131 | −10.56 | −19.09, −2.03 | 0.016 | −8.85 | −17.28, −0.42 | 0.04 |
| Bilateral vs. MM | −2.1 | −7.52, 3.33 | 0.445 | −1.44 | −6.54, 3.65 | 0.575 | −0.48 | −5.41, 4.44 | 0.846 | −6.14 | −16.08, 3.80 | 0.224 | −0.94 | −13.68, 11.79 | 0.883 |
| Cart deg G tot > 2 | −5.64 | −11.27, −0.01 | 0.05 | −7.55 | −12.95, −2.16 | 0.006 | −6.89 | −12.49, −1.29 | 0.016 | −11.58 | −20.83, −2.34 | 0.015 | −12.4 | −22.02, −2.78 | 0.012 |
| SUPRA H ≥ 3 | −11.94 | −17.93, −5.95 | <0.001 | −13.95 | −21.71, −6.19 | 0.001 | −14.1 | −21.89, −6.30 | 0.001 | −6.53 | −20.50, 7.43 | 0.355 | −7.06 | −22.66, 8.54 | 0.372 |
| SUPRA V ≥ 3 | 0.21 | −5.96, 6.38 | 0.946 | −0.38 | −9.41, 8.65 | 0.934 | 3.56 | −4.33, 11.44 | 0.373 | −3.16 | −23.92, 17.61 | 0.764 | −7.56 | −32.23, 17.12 | 0.545 |
| SUPRA S ≥ 3 | 1.61 | −4.79, 8.02 | 0.618 | 5.74 | −0.99, 12.48 | 0.094 | 4.56 | −3.21, 12.33 | 0.248 | 3.92 | −12.74, 20.58 | 0.642 | 2.98 | −17.42, 23.39 | 0.772 |
Publisher’s Note: MDPI stays neutral with regard to jurisdictional claims in published maps and institutional affiliations. |
© 2022 by the authors. Licensee MDPI, Basel, Switzerland. This article is an open access article distributed under the terms and conditions of the Creative Commons Attribution (CC BY) license (https://creativecommons.org/licenses/by/4.0/).
Share and Cite
Olivotto, E.; Trisolino, G.; Belluzzi, E.; Lazzaro, A.; Strazzari, A.; Pozzuoli, A.; Cigolotti, A.; Ruggieri, P.; Evangelista, A.; Ometto, F.; et al. Macroscopic Synovial Inflammation Correlates with Symptoms and Cartilage Lesions in Patients Undergoing Arthroscopic Partial Meniscectomy: A Clinical Study. J. Clin. Med. 2022, 11, 4330. https://doi.org/10.3390/jcm11154330
Olivotto E, Trisolino G, Belluzzi E, Lazzaro A, Strazzari A, Pozzuoli A, Cigolotti A, Ruggieri P, Evangelista A, Ometto F, et al. Macroscopic Synovial Inflammation Correlates with Symptoms and Cartilage Lesions in Patients Undergoing Arthroscopic Partial Meniscectomy: A Clinical Study. Journal of Clinical Medicine. 2022; 11(15):4330. https://doi.org/10.3390/jcm11154330
Chicago/Turabian StyleOlivotto, Eleonora, Giovanni Trisolino, Elisa Belluzzi, Antonello Lazzaro, Alessandro Strazzari, Assunta Pozzuoli, Augusto Cigolotti, Pietro Ruggieri, Andrea Evangelista, Francesca Ometto, and et al. 2022. "Macroscopic Synovial Inflammation Correlates with Symptoms and Cartilage Lesions in Patients Undergoing Arthroscopic Partial Meniscectomy: A Clinical Study" Journal of Clinical Medicine 11, no. 15: 4330. https://doi.org/10.3390/jcm11154330
APA StyleOlivotto, E., Trisolino, G., Belluzzi, E., Lazzaro, A., Strazzari, A., Pozzuoli, A., Cigolotti, A., Ruggieri, P., Evangelista, A., Ometto, F., Stallone, S., Goldring, S. R., Goldring, M. B., Ramonda, R., Grigolo, B., & Favero, M. (2022). Macroscopic Synovial Inflammation Correlates with Symptoms and Cartilage Lesions in Patients Undergoing Arthroscopic Partial Meniscectomy: A Clinical Study. Journal of Clinical Medicine, 11(15), 4330. https://doi.org/10.3390/jcm11154330

