The Dynamic Characteristics of Myocardial Contractility and Extracellular Volume in Type 2 Diabetes Mellitus Mice Investigated by 7.0T Cardiac Magnetic Resonance
Abstract
1. Introduction
2. Materials and Methods
2.1. Animals
2.2. Experimental Model and Control Groups
2.3. CMR Imaging Protocol
2.4. CMR Imaging Analysis
(1/Postcontrast Blood Pool T1 − 1/Precontrast Blood Pool T1)
2.5. Statistical Analysis
3. Results
3.1. Animal Characteristics and the Results of MRI Parameters
3.2. Comparison of the Myocardial Strain Parameters between the T2DM and Control Mice
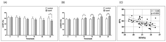
3.3. Comparison of EF and ECV between the T2DM Mice and Controls
3.4. Correlation between ECV and LV-GRS, LV-S-GRSR, LV-D-GRSR, LV-GCS, LV-S-GCSR, and LV-D-GCSR
4. Discussion
5. Conclusions
Author Contributions
Funding
Institutional Review Board Statement
Informed Consent Statement
Data Availability Statement
Conflicts of Interest
References
- Zheng, Y.; Ley, S.H.; Hu, F.B. Global aetiology and epidemiology of type 2 diabetes mellitus and its complications. Nat. Rev. Endocrinol. 2018, 14, 88–98. [Google Scholar] [CrossRef] [PubMed]
- Younossi, Z.M.; Tampi, R.P.; Racila, A.; Qiu, Y.; Burns, L.; Younossi, I.; Nader, F. Economic and Clinical Burden of Nonalcoholic Steatohepatitis in Patients with Type 2 Diabetes in the U.S. Diabetes Care 2020, 43, 283–289. [Google Scholar] [CrossRef] [PubMed]
- Echouffo-Tcheugui, J.B.; Xu, H.; DeVore, A.D.; Schulte, P.J.; Butler, J.; Yancy, C.W.; Bhatt, D.L.; Hernandez, A.F.; Heidenreich, P.A.; Fonarow, G.C. Temporal trends and factors associated with diabetes mellitus among patients hospitalized with heart failure: Findings from Get with The Guidelines–Heart Failure registry. Am. Heart J. 2016, 182, 9–20. [Google Scholar] [CrossRef] [PubMed]
- Jia, G.; Hill, M.A.; Sowers, J.R. Diabetic Cardiomyopathy: An Update of Mechanisms Contributing to This Clinical Entity. Circ. Res. 2018, 122, 624–638. [Google Scholar] [CrossRef] [PubMed]
- Jellis, C.; Wright, J.; Kennedy, D.; Sacre, J.; Jenkins, C.; Haluska, B.; Martin, J.; Fenwick, J.; Marwick, T.H. Association of Imaging Markers of Myocardial Fibrosis with Metabolic and Functional Disturbances in Early Diabetic Cardiomyopathy. Circ. Cardiovasc. Imaging 2011, 4, 693–702. [Google Scholar] [CrossRef]
- van Hoeven, K.H.; Factor, S.M. A comparison of the pathological spectrum of hypertensive, diabetic, and hypertensive-diabetic heart disease. Circulation 1990, 82, 848–855. [Google Scholar] [CrossRef]
- Dante, B.; Salvador, M.R.G.; Gonzalez-Jaramillo, N.; Gonzalez-Jaramillo, V.; Francis, P.; Raguindin, N.; Minder, B.; Gräni, C.; Wilhelm, M.; Stettler, C.; et al. Diabetes and Myocardial Fibrosis: A Systematic Review and Meta-Analysis. JACC Cardiovasc. Imaging 2022, 15, 796–808. [Google Scholar]
- Teixeira, T.; Hafyane, T.; Stikov, N.; Akdeniz, C.; Greiser, A.; Friedrich, M.G. Comparison of different cardiovascular magnetic resonance sequences for native myocardial T1 mapping at 3T. J. Cardiovasc. Magn. Reson. 2016, 18, 65. [Google Scholar] [CrossRef]
- Kammerlander, A.A.; Marzluf, B.A.; Zotter-Tufaro, C.; Aschauer, S.; Duca, F.; Bachmann, A.; Knechtelsdorfer, K.; Wiesinger, M.; Pfaffenberger, S.; Greiser, A.; et al. T1 Mapping by CMR Imaging: From Histological Validation to Clinical Implication. JACC Cardiovasc. Imaging 2016, 9, 14–23. [Google Scholar] [CrossRef]
- Wong, T.; Piehler, K.M.; Kang, I.A.; Kadakkal, A.; Kellman, P.; Schwartzman, D.S.; Mulukutla, S.R.; Simon, M.; Shroff, S.G.; Kuller, L.H.; et al. Myocardial extracellular volume fraction quantified by cardiovascular magnetic resonance is increased in diabetes and associated with mortality and incident heart failure admission. Eur. Heart J. 2014, 35, 657–664. [Google Scholar] [CrossRef]
- Schelbert, E.B.; Piehler, K.M.; Zareba, K.M.; Moon, J.C.; Ugander, M.; Messroghli, D.R.; Valeti, U.S.; Chang, C.H.; Shroff, S.G.; Diez, J.; et al. Myocardial Fibrosis Quantified by Extracellular Volume Is Associated with Subsequent Hospitalization for Heart Failure, Death, or Both Across the Spectrum of Ejection Fraction and Heart Failure Stage. J. Am. Heart Assoc. 2015, 4, e002613. [Google Scholar] [CrossRef] [PubMed]
- Maestrini, V.; Treibel, T.A.; White, S.K.; Fontana, M.; Moon, J.C. T1 Mapping for Characterization of Intracellular and Extracellular Myocardial Diseases in Heart Failure. Curr. Cardiovasc. Imaging Rep. 2014, 7, 9287. [Google Scholar] [CrossRef] [PubMed]
- He, J.; Sirajuddin, A.; Li, S.; Zhuang, B.; Xu, J.; Zhou, D.; Wu, W.; Sun, X.; Fan, X.; Ji, K.; et al. Heart Failure with Preserved Ejection Fraction in Hypertension Patients: A Myocardial MR Strain Study. J. Magn. Reson. Imaging 2020, 53, 527–539. [Google Scholar] [CrossRef]
- Xie, L.-J.; Dong, Z.-H.; Yang, Z.-G.; Deng, M.-Y.; Gao, Y.; Jiang, L.; Hu, B.-Y.; Liu, X.; Ren, Y.; Xia, C.-C.; et al. Assessment of left ventricular deformation in patients with type 2 diabetes mellitus by cardiac magnetic resonance tissue tracking. Sci. Rep. 2020, 10, 13126. [Google Scholar] [CrossRef] [PubMed]
- Rahman, Z.U.; Sethi, P.; Murtaza, G.; Virk, H.U.H.; Rai, A.; Mahmod, M.; Schoondyke, J.; Albalbissi, K. Feature tracking cardiac magnetic resonance imaging: A review of a novel non-invasive cardiac imaging technique. World J. Cardiol. 2017, 9, 312–319. [Google Scholar] [CrossRef] [PubMed]
- Yu, X.; Tesiram, Y.A.; Towner, R.A.; Abbott, A.; Patterson, E.; Huang, S.; Garrett, M.W.; Chandrasekaran, S.; Matsuzaki, S.; Szweda, L.I.; et al. Early myocardial dysfunction in streptozotocin-induced diabetic mice: A study using in vivo magnetic resonance imaging (MRI). Cardiovasc. Diabetol. 2007, 6, 6. [Google Scholar] [CrossRef] [PubMed][Green Version]
- Loganathan, R.; Bilgen, M.; Al-Hafez, B.; Alenezy, M.D.; Smirnova, I.V. Cardiac dysfunction in the diabetic rat: Quantitative evaluation using high resolution magnetic resonance imaging. Cardiovasc. Diabetol. 2006, 5, 7. [Google Scholar] [CrossRef]
- Gu, J.; Cheng, Y.; Wu, H.; Kong, L.; Wang, S.; Xu, Z.; Zhang, Z.; Tan, Y.; Keller, B.B.; Zhou, H.; et al. Metallothionein Is Downstream of Nrf2 and Partially Mediates Sulforaphane Prevention of Diabetic Cardiomyopathy. Diabetes 2017, 66, 529–542. [Google Scholar] [CrossRef]
- Zhang, Z.G.; Wang, S.D.; Zhou, S.S.; Yan, X.Q.; Wang, Y.G.; Mellen, N.; Kong, M.Y.; Gu, J.L.; Tan, Y.; Zheng, Y.; et al. Sulforaphane prevents the development of cardiomyopathy in type 2 diabetic mice probably by reversing oxidative stress-induced inhibition of LKB1/AMPK pathway. J. Mol. Cell Cardiol. 2014, 77, 42–52. [Google Scholar] [CrossRef]
- Stuckey, D.J.; McSweeney, S.J.; Thin, M.Z.; Habib, J.; Price, A.N.; Fiedler, L.R.; Gsell, W.; Prasad, S.K.; Schneider, M.D. T1 Mapping Detects Pharmacological Retardation of Diffuse Cardiac Fibrosis in Mouse Pressure-Overload Hypertrophy. Circ. Cardiovasc. Imaging 2014, 7, 240–249. [Google Scholar] [CrossRef]
- Parim, B.; Uddandrao, V.V.S.; Saravanan, G. Diabetic cardiomyopathy: Molecular mechanisms, detrimental effects of conventional treatment, and beneficial effects of natural therapy. Heart Fail. Rev. 2019, 24, 279–299. [Google Scholar] [CrossRef] [PubMed]
- Tan, Y.; Zhang, Z.; Zheng, C.; Wintergerst, K.A.; Keller, B.B.; Cai, L. Mechanisms of diabetic cardiomyopathy and potential therapeutic strategies: Preclinical and clinical evidence. Nat. Rev. Cardiol. 2020, 17, 585–607. [Google Scholar] [CrossRef] [PubMed]
- Frangogiannis, N.G. Cardiac fibrosis. Cardiovasc. Res. 2021, 117, 1450–1488. [Google Scholar] [CrossRef] [PubMed]
- Khan, M.A.; Yang, E.Y.; Nguyen, D.T.; Nabi, F.; Hinojosa, J.; Jabel, M.; Nagueh, S.F.; Graviss, E.A.; Shah, D.J. Examining the Relationship and Prognostic Implication of Diabetic Status and Extracellular Matrix Expansion by Cardiac Magnetic Resonance. Circ. Cardiovasc. Imaging 2020, 13, e011000. [Google Scholar] [CrossRef]
- Asbun, J.; Villarreal, F.J. The Pathogenesis of Myocardial Fibrosis in the Setting of Diabetic Cardiomyopathy. J. Am. Coll. Cardiol. 2006, 47, 693–700. [Google Scholar] [CrossRef]
- Rommel, K.-P.; von Roeder, M.; Latuscynski, K.; Oberueck, C.; Blazek, S.; Fengler, K.; Besler, C.; Sandri, M.; Lücke, C.; Gutberlet, M.; et al. Extracellular Volume Fraction for Characterization of Patients with Heart Failure and Preserved Ejection Fraction. J. Am. Coll. Cardiol. 2016, 67, 1815–1825. [Google Scholar] [CrossRef]
- Hsu, E.W.; Muzikant, A.L.; Matulevicius, S.A.; Penland, R.C.; Henriquez, C.S. Magnetic resonance myocardial fiber-orientation mapping with direct histological correlation. Am. J. Physiol. Content 1998, 274, H1627–H1634. [Google Scholar] [CrossRef]
- Kuijer, J.P.; Marcus, J.T.; Götte, M.J.W.; Van Rossum, A.C.; Heethaar, R.M. Three-Dimensional Myocardial Strains at End-Systole and During Diastole in the Left Ventricle of Normal Humans. J. Cardiovasc. Magn. Reson. 2002, 4, 341–351. [Google Scholar] [CrossRef]
- Jeung, M.Y.; Germain, P.; Croisille, P.; El Ghannudi, S.; Roy, C.; Gangi, A. Myocardial tagging with MR imaging: Overview of normal and pathologic findings. Radiographics 2012, 32, 1381–1398. [Google Scholar] [CrossRef]
- Meßner, N.M.; Zöllner, F.G.; Kalayciyan, R.; Schad, L.R. Pre-clinical functional Magnetic Resonance Imaging part II: The heart. Z Med. Phys. 2014, 24, 307–322. [Google Scholar] [CrossRef]
- Stokke, T.M.; Hasselberg, N.E.; Smedsrud, M.K.; Sarvari, S.I.; Haugaa, K.H.; Smiseth, O.A.; Edvardsen, T.; Remme, E.W. Geometry as a Confounder When Assessing Ventricular Systolic Function: Comparison between Ejection Fraction and Strain. J. Am. Coll Cardiol. 2017, 70, 942–954. [Google Scholar] [CrossRef] [PubMed]
- Ernande, L.; Thibault, H.; Bergerot, C.; Moulin, P.; Wen, H.; Derumeaux, G.; Croisille, P. Systolic Myocardial Dysfunction in Patients with Type 2 Diabetes Mellitus: Identification at MR Imaging with Cine Displacement Encoding with Stimulated Echoes. Radiology 2012, 265, 402–409. [Google Scholar] [CrossRef] [PubMed]




| 4 Weeks | 8 Weeks | 12 Weeks | 16 Weeks | 20 Weeks | 24 Weeks | |||||||
|---|---|---|---|---|---|---|---|---|---|---|---|---|
| Control (n = 6) | T2DM (n = 6) | Control | T2DM | Control | T2DM | Control | T2DM | Control | T2DM | Control | T2DM | |
| Heart rate, bpm | 394 ± 36 | 438 ± 47 | 391 ± 33.55 | 384 ± 43 | 416 ± 29 | 407 ± 47 | 401 ± 27 | 371 ± 38 | 404 ± 45 | 389 ± 31 | 395 ± 41 | 384 ± 38 |
| Respiration, bpm | 37 ± 4 | 37 ± 6 | 38 ± 4 | 36 ± 5 | 38 ± 2 | 36 ± 4 | 37 ± 3 | 35 ± 4 | 36 ± 4 | 37 ± 4 | 35 ± 3 | 39 ± 6 |
| Bodyweight, g | 23.9 ± 0.5 | 26.7 ± 0.8 * | 25.7 ± 0.6 | 28.8 ± 1.3 * | 26.9 ± 0.7 | 32.7 ± 1.2 * | 29.1 ± 0.7 | 37.2 ± 0.8 * | 28.2 ± 0.6 | 36.6 ± 0.6 * | 27.8 ± 0.5 | 35.7 ± 0.8 * |
| Blood glucose, mmol/L | 5.9 ± 0.9 | 17.6 ± 1.0 * | 6.1 ± 1.1 | 18.3 ± 1.0 * | 6.4 ± 0.7 | 19.4 ± 0.7 * | 5.8 ± 0.7 | 17.8 ± 1.0 * | 6.5 ± 0.9 | 17.7 ± 1.3 * | 6.1 ± 1.1 | 17.4 ± 1.2 * |
| LV-EDV, μL | 46.72 ± 6.66 | 50.48 ± 7.16 | 57.13 ± 11.52 | 47.38 ± 6.16 | 52.19 ± 13.24 | 56.2 ± 10.31 | 50.59 ± 9.87 | 59.66 ± 7.10 | 59.55 ± 9.55 | 66.41 ± 5.55 | 58.67 ± 4.34 | 59.37 ± 6.88 |
| LV-ESV, μL | 16.9 ± 2.09 | 18.2 ± 2.15 | 20.78 ± 6.61 | 18.02 ± 2.32 | 20.18 ± 5.95 | 24.37 ± 5.69 | 20.2 ± 3.12 | 26.3 ± 2.31 * | 23.28 ± 4.92 | 30.86 ± 6.09 * | 22.48 ± 3.37 | 28.88 ± 4.96 * |
| LV-EF | 0.64 ± 0.03 | 0.64 ± 0.04 | 0.64 ± 0.05 | 0.62 ± 0.05 | 0.61 ± 0.05 | 0.57 ± 0.03 | 0.60 ± 0.05 | 0.56 ± 0.05 | 0.61 ± 0.06 | 0.54 ± 0.06 | 0.62 ± 0.06 | 0.52 ± 0.05 * |
| T1 Myocardium pre-c. (msec) | 1007 ± 23 | 983 ± 34 | 1021 ± 31 | 989 ± 33 | 1000 ± 21 | 999 ± 24 | 1013 ± 25 | 1020 ± 23 | 997 ± 18 | 1038 ± 23 | 1009 ± 15 | 1047 ± 26 |
| T1 Blood pre-c. (msec) | 1177 ± 69 | 1112 ± 54 | 1229 ± 37 | 1118 ± 44 | 1193 ± 72 | 1107 ± 27 | 1187 ± 38 | 1140 ± 24 | 1162 ± 47 | 1194 ± 28 | 1231 ± 36 | 1162 ± 26 |
| T1 Myocardium post-c. (msec) | 648 ± 26 | 661 ± 15 | 641 ± 17 | 640 ± 21 | 631 ± 24 | 621 ± 27 | 647 ± 30 | 575 ± 24 * | 666 ± 18 | 560 ± 308 * | 634 ± 38 | 550 ± 17 * |
| T1 Blood post-c. (msec) | 543 ± 25 | 556 ± 21 | 546 ± 13 | 540 ± 12 | 534 ± 31 | 517 ± 32 | 548 ± 32 | 477 ± 33 * | 559 ± 14 | 465 ± 30 * | 541 ± 31 | 461 ± 16 * |
| Hct (%) | 49.1 ± 2.0 | 48.7 ± 1.7 | 49.7 ± 1.1 | 49.0 ± 1.7 | 49.3 ± 1.4 | 48.0 ± 1.8 | 49.4 ± 1.6 | 47.5 ± 1.5 | 46.3 ± 1.1 | 47.3 ± 1.6 | 48.3 ± 2.3 | 48.4 ± 1.3 |
Publisher’s Note: MDPI stays neutral with regard to jurisdictional claims in published maps and institutional affiliations. |
© 2022 by the authors. Licensee MDPI, Basel, Switzerland. This article is an open access article distributed under the terms and conditions of the Creative Commons Attribution (CC BY) license (https://creativecommons.org/licenses/by/4.0/).
Share and Cite
Shi, C.; Zhang, H.; Zhang, N.; Liu, D.; Fan, Z.; Sun, Z.; Liu, J.; Xu, L. The Dynamic Characteristics of Myocardial Contractility and Extracellular Volume in Type 2 Diabetes Mellitus Mice Investigated by 7.0T Cardiac Magnetic Resonance. J. Clin. Med. 2022, 11, 4262. https://doi.org/10.3390/jcm11154262
Shi C, Zhang H, Zhang N, Liu D, Fan Z, Sun Z, Liu J, Xu L. The Dynamic Characteristics of Myocardial Contractility and Extracellular Volume in Type 2 Diabetes Mellitus Mice Investigated by 7.0T Cardiac Magnetic Resonance. Journal of Clinical Medicine. 2022; 11(15):4262. https://doi.org/10.3390/jcm11154262
Chicago/Turabian StyleShi, Chunyan, Hongkai Zhang, Nan Zhang, Dongting Liu, Zhanming Fan, Zhonghua Sun, Jiayi Liu, and Lei Xu. 2022. "The Dynamic Characteristics of Myocardial Contractility and Extracellular Volume in Type 2 Diabetes Mellitus Mice Investigated by 7.0T Cardiac Magnetic Resonance" Journal of Clinical Medicine 11, no. 15: 4262. https://doi.org/10.3390/jcm11154262
APA StyleShi, C., Zhang, H., Zhang, N., Liu, D., Fan, Z., Sun, Z., Liu, J., & Xu, L. (2022). The Dynamic Characteristics of Myocardial Contractility and Extracellular Volume in Type 2 Diabetes Mellitus Mice Investigated by 7.0T Cardiac Magnetic Resonance. Journal of Clinical Medicine, 11(15), 4262. https://doi.org/10.3390/jcm11154262

