Detecting Sepsis in Patients with Severe Subarachnoid Hemorrhage during Critical Care
Abstract
:1. Introduction
- Circulatory function represented by systolic blood pressure and, if necessary, the amount of catecholamines required to maintain an adequate mean pressure;
- Cognitive function, as determined by the Glasgow Coma Scale (GCS);
- Liver function, as measured by using serum bilirubin levels;
- Kidney function, as measured by monitoring serum creatinine levels and urine flow;
- Lung function, as measured via the calculation of the respiratory quotient (arterial blood oxygen partial pressure/inspiratory oxygen fraction);
- Hematopoiesis displayed and based on the platelet count.
2. Materials and Methods
2.1. Study Design
2.2. Patient Population
2.3. Data Collection
2.4. Statistical Analysis
3. Results
4. Discussion
5. Conclusions
Supplementary Materials
Author Contributions
Funding
Institutional Review Board Statement
Informed Consent Statement
Data Availability Statement
Conflicts of Interest
References
- Shankar-Hari, M.; Phillips, G.S.; Levy, M.L.; Seymour, C.W.; Liu, V.X.; Deutschman, C.S.; Angus, D.C.; Rubenfeld, G.D.; Singer, M.; Sepsis Definitions Task, F. Developing a New Definition and Assessing New Clinical Criteria for Septic Shock: For the Third International Consensus Definitions for Sepsis and Septic Shock (Sepsis-3). JAMA 2016, 315, 775–787. [Google Scholar] [CrossRef] [PubMed]
- Singer, M.; Deutschman, C.S.; Seymour, C.W.; Shankar-Hari, M.; Annane, D.; Bauer, M.; Bellomo, R.; Bernard, G.R.; Chiche, J.D.; Coopersmith, C.M.; et al. The Third International Consensus Definitions for Sepsis and Septic Shock (Sepsis-3). JAMA 2016, 315, 801–810. [Google Scholar] [CrossRef] [PubMed]
- Seymour, C.W.; Liu, V.X.; Iwashyna, T.J.; Brunkhorst, F.M.; Rea, T.D.; Scherag, A.; Rubenfeld, G.; Kahn, J.M.; Shankar-Hari, M.; Singer, M.; et al. Assessment of Clinical Criteria for Sepsis: For the Third International Consensus Definitions for Sepsis and Septic Shock (Sepsis-3). JAMA 2016, 315, 762–774. [Google Scholar] [CrossRef] [PubMed] [Green Version]
- Teasdale, G.M.; Drake, C.G.; Hunt, W.; Kassell, N.; Sano, K.; Pertuiset, B.; De Villiers, J.C. A universal subarachnoid hemorrhage scale: Report of a committee of the World Federation of Neurosurgical Societies. J. Neurol. Neurosurg. Psychiatry 1988, 51, 1457. [Google Scholar] [CrossRef] [Green Version]
- Harrigan, M.R. Hypertension may be the most important component of hyperdynamic therapy in cerebral vasospasm. Crit. Care 2010, 14, 151. [Google Scholar] [CrossRef] [Green Version]
- Findlay, J.M.; Nisar, J.; Darsaut, T. Cerebral Vasospasm: A Review. Can. J. Neurol. Sci. 2016, 43, 15–32. [Google Scholar] [CrossRef] [Green Version]
- Dankbaar, J.W.; Slooter, A.J.; Rinkel, G.J.; Schaaf, I.C. Effect of different components of triple-H therapy on cerebral perfusion in patients with aneurysmal subarachnoid haemorrhage: A systematic review. Crit. Care 2010, 14, R23. [Google Scholar] [CrossRef] [Green Version]
- Daou, B.J.; Koduri, S.; Thompson, B.G.; Chaudhary, N.; Pandey, A.S. Clinical and experimental aspects of aneurysmal subarachnoid hemorrhage. CNS Neurosci. Ther. 2019, 25, 1096–1112. [Google Scholar] [CrossRef]
- Papadimitriou-Olivgeris, M.; Zotou, A.; Koutsileou, K.; Aretha, D.; Boulovana, M.; Vrettos, T.; Sklavou, C.; Marangos, M.; Fligou, F. Risk factors for mortality after subarachnoid hemorrhage: A retrospective observational study. Rev. Bras. Anestesiol. 2019, 69, 448–454. [Google Scholar] [CrossRef]
- Dasenbrock, H.H.; Rudy, R.F.; Smith, T.R.; Guttieres, D.; Frerichs, K.U.; Gormley, W.B.; Aziz-Sultan, M.A.; Du, R. Hospital-Acquired Infections after Aneurysmal Subarachnoid Hemorrhage: A Nationwide Analysis. World Neurosurg. 2016, 88, 459–474. [Google Scholar] [CrossRef]
- Frontera, J.A.; Fernandez, A.; Schmidt, J.M.; Claassen, J.; Wartenberg, K.E.; Badjatia, N.; Parra, A.; Connolly, E.S.; Mayer, S.A. Impact of nosocomial infectious complications after subarachnoid hemorrhage. Neurosurgery 2008, 62, 80–87. [Google Scholar] [CrossRef] [PubMed]
- Dhar, R.; Diringer, M.N. The burden of the systemic inflammatory response predicts vasospasm and outcome after subarachnoid hemorrhage. Neurocrit. Care 2008, 8, 404–412. [Google Scholar] [CrossRef] [PubMed] [Green Version]
- Mazeraud, A.; Robba, C.; Rebora, P.; Iaquaniello, C.; Vargiolu, A.; Rass, V.; Bogossian, E.G.; Helbok, R.; Taccone, F.S.; Citerio, G. Acute Distress Respiratory Syndrome after Subarachnoid Hemorrhage: Incidence and Impact on the Outcome in a Large Multicenter, Retrospective Cohort. Neurocrit. Care 2020, 34, 1000–1008. [Google Scholar] [CrossRef]
- Hilz, M.J.; Liu, M.; Roy, S.; Wang, R. Autonomic dysfunction in the neurological intensive care unit. Clin. Auton. Res. 2019, 29, 301–311. [Google Scholar] [CrossRef] [PubMed]
- Perkes, I.; Baguley, I.J.; Nott, M.T.; Menon, D.K. A review of paroxysmal sympathetic hyperactivity after acquired brain injury. Ann. Neurol. 2010, 68, 126–135. [Google Scholar] [CrossRef] [PubMed]
- Kovach, C.P.; Fletcher, G.S.; Rudd, K.E.; Grant, R.M.; Carlbom, D.J. Comparative prognostic accuracy of sepsis scores for hospital mortality in adults with suspected infection in non-ICU and ICU at an academic public hospital. PLoS ONE 2019, 14, e0222563. [Google Scholar] [CrossRef]
- Kashani, E.; Ziarat, H.M.; Tajabadi, A. Critique of the Glasgow Coma Scale (GCS). Crit. Care Nurs. 2018, 11, e90156. [Google Scholar] [CrossRef]
- Cinotti, R.; Dordonnat-Moynard, A.; Feuillet, F.; Roquilly, A.; Rondeau, N.; Lepelletier, D.; Caillon, J.; Asseray, N.; Blanloeil, Y.; Rozec, B. Risk factors and pathogens involved in early ventilator-acquired pneumonia in patients with severe subarachnoid hemorrhage. Eur. J. Clin. Microbiol. Infect. Dis. 2014, 33, 823–830. [Google Scholar] [CrossRef]
- Bogossian, E.G.; Attanasio, L.; Creteur, J.; Grimaldi, D.; Schuind, S.; Taccone, F.S. The Impact of Extracerebral Infection after Subarachnoid Hemorrhage: A Single-Center Cohort Study. World Neurosurg. 2020, 144, e883–e897. [Google Scholar] [CrossRef]
- Dumont, A.S.; Dumont, R.J.; Chow, M.M.; Lin, C.-L.; Calisaneller, T.; Ley, K.F.; Kassell, N.F.; Lee, K.S. Cerebral Vasospasm after Subarachnoid Hemorrhage: Putative Role of Inflammation. Neurosurgery 2003, 53, 123–135. [Google Scholar] [CrossRef] [Green Version]
- Rumalla, K.; Lin, M.; Ding, L.; Gaddis, M.; Giannotta, S.L.; Attenello, F.J.; Mack, W.J. Risk factors for cerebral vasospasm in aneurysmal subarachnoid hemorrhage: A population-based study of 8346 patients. World Neurosurg. 2021, 145, e233–e241. [Google Scholar] [CrossRef] [PubMed]
- Abulhasan, Y.B.; Alabdulraheem, N.; Schiller, I.; Rachel, S.P.; Dendukuri, N.; Angle, M.R.; Frenette, C. Health care–associated infections after subarachnoid hemorrhage. World Neurosurg. 2018, 115, e393–e403. [Google Scholar] [CrossRef] [PubMed]
- Gonçalves, B.; Kurtz, P.; Turon, R.; Santos, T.; Prazeres, M.; Righy, C.; Bozza, F.A. Incidence and impact of sepsis on long-term outcomes after subarachnoid hemorrhage: A prospective observational study. Ann. Intensive Care 2019, 9, 94. [Google Scholar] [CrossRef]
- Gruber, A.; Reinprecht, A.; Illievich, U.M.; Fitzgerald, R.; Dietrich, W.; Czech, T.; Richling, B. Extracerebral organ dysfunction and neurologic outcome after aneurysmal subarachnoid hemorrhage. Crit. Care Med. 1999, 27, 505–514. [Google Scholar] [CrossRef]
- Park, Y.K.; Yi, H.-J.; Choi, K.-S.; Lee, Y.-J.; Chun, H.-J.; Kwon, S.M. Predictive factors of fever after aneurysmal subarachnoid hemorrhage and its impact on delayed cerebral ischemia and clinical outcomes. World Neurosurg. 2018, 114, e524–e531. [Google Scholar] [CrossRef] [PubMed]
- Lai, N.A.; Kruger, P. The predictive ability of a weighted systemic inflammatory response syndrome score for microbiologically confirmed infection in hospitalised patients with suspected sepsis. Crit. Care Resusc. 2011, 13, 146–150. [Google Scholar] [CrossRef]



| Total | No Sepsis Detected | 1 Septic Episode | ≥2 Septic Episodes | |
|---|---|---|---|---|
| Patients, n | 57 | 10 | 21 | 25 |
| Sex (male), n | 27 (47%) | 4(40%) | 11(52%) | 12(48%) |
| age, y | 56 (29-92) | 52 (24) | 59 (20) | 57 (14) |
| ICU stay, d | 17 (17.3) | 10 (4.9) | 21 (9.8) | 35 (10.9) |
| GCS admission, p | 8.0 (5.7) | 12.2 (5.2) | 6.9 (5.7) | 7.0 (5.3) |
| SAH treatment ≠ | ||||
| operative Clipping | 22 | 3 | 9 | 9 |
| endovascular Coiling | 33 | 5 | 12 | 16 |
| infection site | ||||
| pneumonia | 60 | 0 | 20 | 40 |
| CLABSI | 13 | 0 | 1 | 12 |
| Urinary tract infection | 7 | 0 | 0 | 7 |
| ventriculitis | 2 | 0 | 0 | 2 |
| Outcome parameters | ||||
| Antibiotic treatment * | 126 | 2 | 37 | 87 |
| CVS | 40 (70%) | 3 (30.0%) | 13 (62%) | 24 (96%) |
| death | 9 (15.8%) | 1 (0.1%) | 7 (33.3%) | 1 (0,1%) |
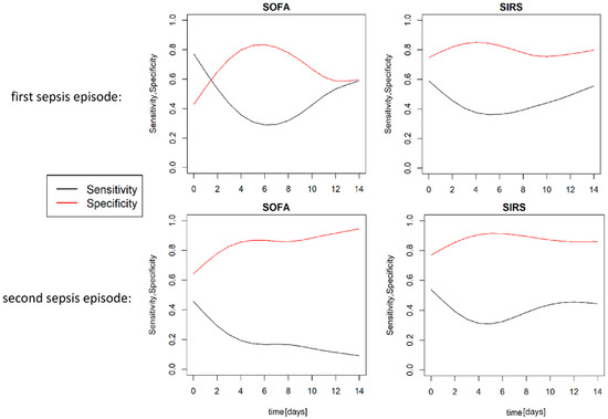
| SOFA | SIRS | |||||||
|---|---|---|---|---|---|---|---|---|
| Day 0 | Day 1 | Day 6 | Day 10 | Day 0 | Day 1 | Day 6 | Day 10 | |
| sensitivity | 77.1% | 64.9% | 28.9% | 42.4% | 59.0% | 52.1% | 36.3% | 44.0% |
| specificity | 42.9% | 54.4% | 83.3% | 66.8% | 74.8% | 78.6% | 82.9% | 75.5% |
| prevalence | 0.0% | 4.4% | 18.1% | 20.4% | 0.0% | 4.3% | 21.0% | 22.2% |
| PPV | 0.0% | 6.2% | 27.8% | 24.6% | 0.0% | 9.9% | 36.1% | 33.9% |
| NPV | 100% | 97.1% | 84.1% | 81.9% | 100% | 97.3% | 83.0% | 82.6% |
| SOFA Score Module | Clinical Correlate | p-Value |
|---|---|---|
| Glasgow coma scale | intubation/sedation | <0.01 |
| Hypotension/circulatory | catecholamine consumption | <0.01 |
| Hypotension/circulatory/Glasgow coma scale | attributable to cerebrovascular spasm | <0.01 |
Publisher’s Note: MDPI stays neutral with regard to jurisdictional claims in published maps and institutional affiliations. |
© 2022 by the authors. Licensee MDPI, Basel, Switzerland. This article is an open access article distributed under the terms and conditions of the Creative Commons Attribution (CC BY) license (https://creativecommons.org/licenses/by/4.0/).
Share and Cite
Flinspach, A.N.; Konczalla, J.; Seifert, V.; Zacharowski, K.; Herrmann, E.; Balaban, Ü.; Adam, E.H. Detecting Sepsis in Patients with Severe Subarachnoid Hemorrhage during Critical Care. J. Clin. Med. 2022, 11, 4229. https://doi.org/10.3390/jcm11144229
Flinspach AN, Konczalla J, Seifert V, Zacharowski K, Herrmann E, Balaban Ü, Adam EH. Detecting Sepsis in Patients with Severe Subarachnoid Hemorrhage during Critical Care. Journal of Clinical Medicine. 2022; 11(14):4229. https://doi.org/10.3390/jcm11144229
Chicago/Turabian StyleFlinspach, Armin Niklas, Jürgen Konczalla, Volker Seifert, Kai Zacharowski, Eva Herrmann, Ümniye Balaban, and Elisabeth Hannah Adam. 2022. "Detecting Sepsis in Patients with Severe Subarachnoid Hemorrhage during Critical Care" Journal of Clinical Medicine 11, no. 14: 4229. https://doi.org/10.3390/jcm11144229
APA StyleFlinspach, A. N., Konczalla, J., Seifert, V., Zacharowski, K., Herrmann, E., Balaban, Ü., & Adam, E. H. (2022). Detecting Sepsis in Patients with Severe Subarachnoid Hemorrhage during Critical Care. Journal of Clinical Medicine, 11(14), 4229. https://doi.org/10.3390/jcm11144229

