The Analysis of Arterial Stiffness in Heart Failure Patients: The Prognostic Role of Pulse Wave Velocity, Augmentation Index and Stiffness Index
Abstract
1. Introduction
2. Methods
Statistical Analysis
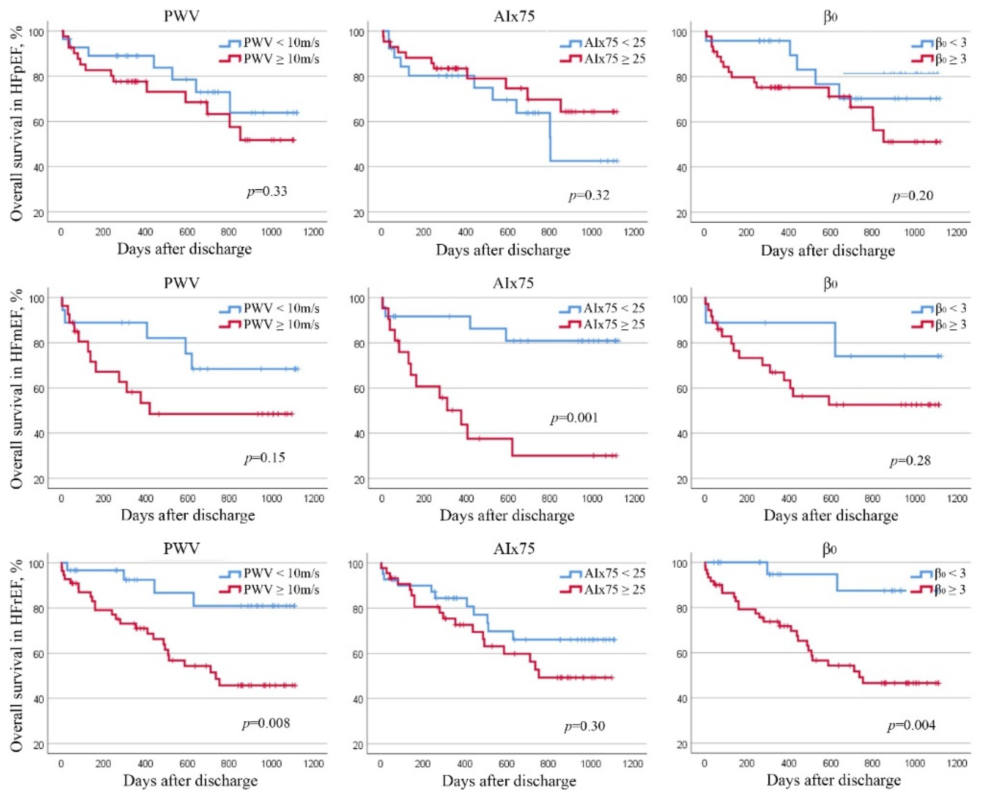
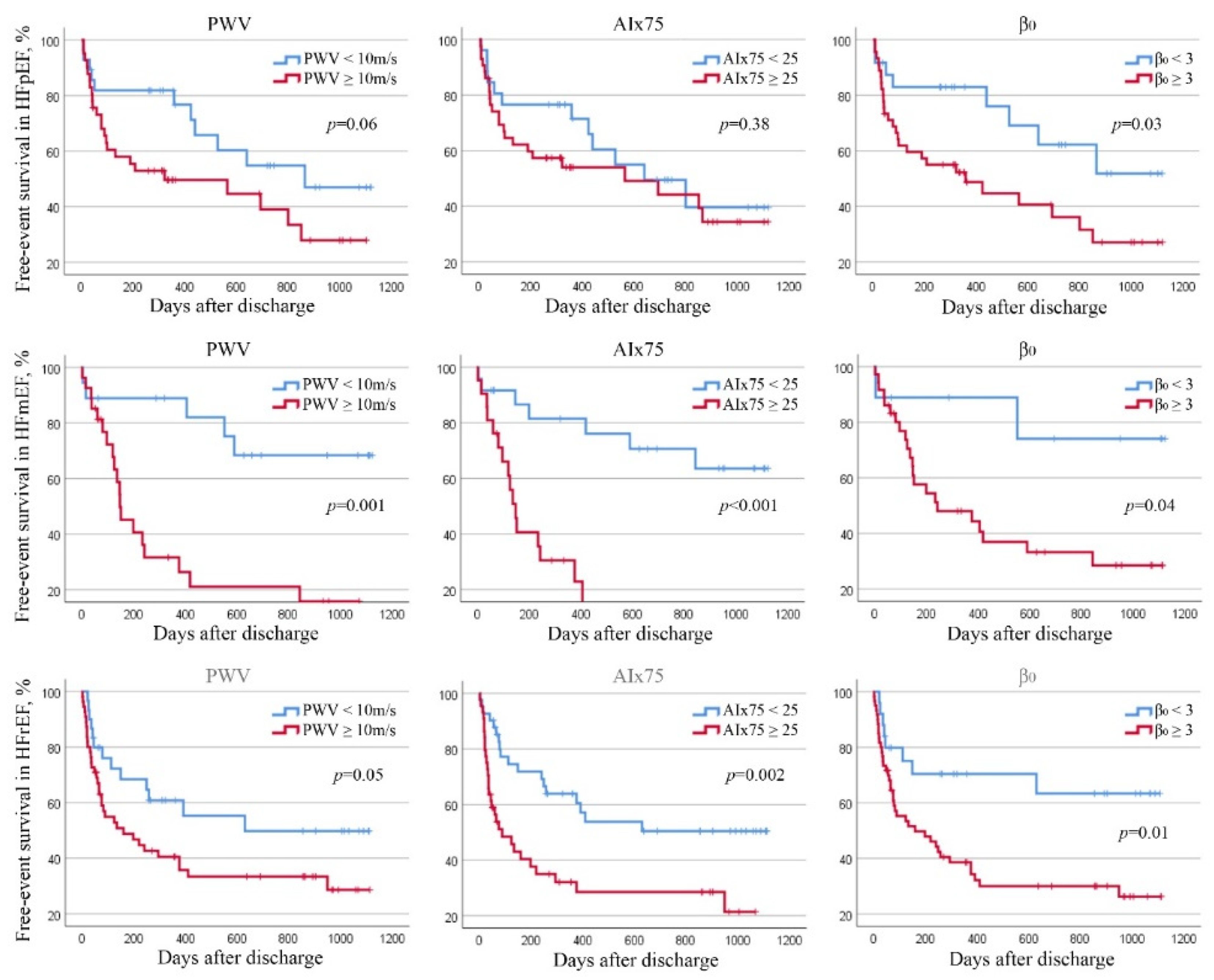
3. Results
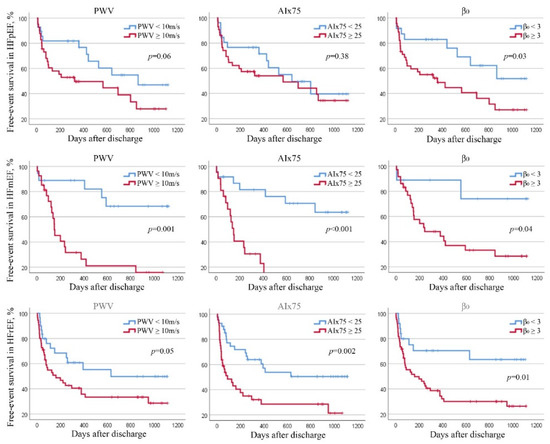
Sensitivity Analysis
4. Discussion
5. Conclusions
Author Contributions
Funding
Institutional Review Board Statement
Informed Consent Statement
Conflicts of Interest
References
- Ponikowski, P.; Voors, A.A.; Anker, S.D.; Bueno, H.; Cleland, J.G.F.; Coats, A.J.S.; Falk, V.; González-Juanatey, J.R.; Harjola, V.-P.; Jankowska, E.A.; et al. 2016 ESC Guidelines for the diagnosis and treatment of acute and chronic heart failure. Eur. J. Heart Fail 2016, 18, 891–975. [Google Scholar] [CrossRef] [PubMed]
- Kawaguchi, M.; Hay, I.; Fetics, B.; Kass, D.A. Combined Ventricular Systolic and Arterial Stiffening in Patients With Heart Failure and Preserved Ejection Fraction. Circ. Am. Heart Assoc. 2003, 107, 714–720. [Google Scholar] [CrossRef] [PubMed]
- Desai, A.S.; Mitchell, G.F.; Fang, J.C.; Creager, M.A. Central Aortic Stiffness is Increased in Patients With Heart Failure and Preserved Ejection Fraction. J. Card. Fail. 2009, 15, 658–664. [Google Scholar] [CrossRef] [PubMed]
- Marti, C.N.; Gheorghiade, M.; Kalogeropoulos, A.P.; Georgiopoulou, V.V.; Quyyumi, A.A.; Butler, J. Endothelial Dysfunction, Arterial Stiffness, and Heart Failure. J. Am. Coll. Cardiol. 2012, 60, 1455–1469. [Google Scholar] [CrossRef]
- Chow, B.; Rabkin, S.W. The relationship between arterial stiffness and heart failure with preserved ejection fraction: A systemic meta-analysis. Heart Fail Rev. 2015, 20, 291–303. [Google Scholar] [CrossRef] [PubMed]
- Ikonomidis, I.; Aboyans, V.; Blacher, J.; Brodmann, M.; Brutsaert, D.L.; Chirinos, J.A.; Carlo, M.D.; Delgado, V.; Lancellotti, P.; Lekakis, J.; et al. The role of ventricular–arterial coupling in cardiac disease and heart failure: Assessment, clinical implications and therapeutic interventions. A consensus document of the European Society of Cardiology Working Group on Aorta & Peripheral Vascular Diseas. Eur. J. Heart Fail 2019, 21, 402–424. [Google Scholar]
- Schillaci, G.; Battista, F.; Settimi, L.; Anastasio, F.; Pucci, G. Cardio-ankle vascular index and subclinical heart disease. Hypertens. Res. 2015, 38, 68–73. [Google Scholar] [CrossRef]
- Ben-Shlomo, Y.; Spears, M.; Boustred, C.; May, M.; Anderson, S.G.; Benjamin, E.J.; Boutouyrie, P.; Cameron, J.; Chen, C.-H.; Cruickshank, J.K.; et al. Aortic Pulse Wave Velocity Improves Cardiovascular Event Prediction: An Individual Participant Meta-Analysis of Prospective Observational Data From 17,635 Subjects. J. Am. Coll. Cardiol. 2014, 63, 636–646. [Google Scholar] [CrossRef]
- Laurent, S.; Cockcroft, J.; Van Bortel, L.; Boutouyrie, P.; Giannattasio, C.; Hayoz, D.; Pannier, B.; Vlachopoulos, C.; Wilkinson, I.; Struijker-Boudier, H. Expert consensus document on arterial stiffness: Methodological issues and clinical applications. Eur. Heart J. 2006, 27, 2588–2605. [Google Scholar] [CrossRef]
- Mitchell, G.F.; Hwang, S.-J.; Vasan, R.S.; Larson, M.G.; Pencina, M.J.; Hamburg, N.M.; Vita, J.A.; Levy, D.; Benjamin, E.J. Arterial Stiffness and Cardiovascular Events. Circ. Am. Heart Assoc. 2010, 121, 505–511. [Google Scholar] [CrossRef]
- Sutton-Tyrrell, K.; Najjar, S.S.; Boudreau, R.M.; Venkitachalam, L.; Kupelian, V.; Simonsick, E.M.; Havlik, R.; Lakatta, E.G.; Spurgeon, H.; Kritchevsky, S.; et al. Elevated Aortic Pulse Wave Velocity, a Marker of Arterial Stiffness, Predicts Cardiovascular Events in Well-Functioning Older Adults. Circ. Am. Heart Assoc. 2005, 111, 3384–3390. [Google Scholar] [CrossRef] [PubMed]
- Mattace-Raso, F.U.S.; van der Cammen, T.J.M.; Hofman, A.; van Popele, N.M.; Bos, M.L.; Schalekamp, M.A.D.H.; Asmar, R.; Reneman, R.S.; Hoeks, A.P.G.; Breteler, M.M.B.; et al. Arterial Stiffness and Risk of Coronary Heart Disease and Stroke. Circ. Am. Heart Assoc. 2006, 113, 657–663. [Google Scholar] [CrossRef] [PubMed]
- Schillaci, G.; Pucci, G.; Pirro, M.; Monacelli, M.; Scarponi, A.M.; Manfredelli, M.R.; Rondelli, F.; Avenia, N.; Mannarino, E. Large-artery stiffness: A reversible marker of cardiovascular risk in primary hyperparathyroidism. Atherosclerosis 2011, 218, 96–101. [Google Scholar] [CrossRef]
- Pandey, A.; Khan, H.; Newman, A.B.; Lakatta, E.G.; Forman, D.E.; Butler, J.; Berry, J.D. Arterial Stiffness and Risk of Overall Heart Failure, Heart Failure with Preserved Ejection Fraction, and Heart Failure With Reduced Ejection Fraction. Hypertens. Am. Heart Assoc. 2017, 69, 267–274. [Google Scholar] [CrossRef] [PubMed]
- Schillaci, G.; Pirro, M.; Mannarino, M.R.; Pucci, G.; Savarese, G.; Franklin, S.S.; Mannarino, E. Relation Between Renal Function Within the Normal Range and Central and Peripheral Arterial Stiffness in Hypertension. Hypertension 2006, 48, 616–621. [Google Scholar] [CrossRef]
- Feola, M.; Testa, M.; Ferreri, C.; Rosso, G.; Rossi, A.; Ruocco, G. The Analysis of Arterial Stiffness in Heart Failure Patients in Comparison with Healthy Subjects and Patients with Cardiovascular Risk Factors. J. Clin. Med. 2019, 8, 1721. [Google Scholar] [CrossRef]
- Tsao, C.W.; Lyass, A.; Larson, M.G.; Levy, D.; Hamburg, N.M.; Vita, J.A.; Benjamin, E.J.; Mitchell, G.F.; Vasan, R.S. Relation of Central Arterial Stiffness to Incident Heart Failure in the Community. J. Am. Heart Assoc. 2021, 4, e002189. [Google Scholar] [CrossRef]
- Parragh, S.; Hametner, B.; Bachler, M.; Kellermair, J.; Eber, B.; Wassertheurer, S.; Weber, T. Determinants and covariates of central pressures and wave reflections in systolic heart failure. Int. J. Cardiol. 2015, 190, 308–314. [Google Scholar] [CrossRef]
- Williams, B.; Mancia, G.; Spiering, W.; Rosei, E.A.; Azizi, M.; Burnier, M.; Clement, D.L.; Coca, A.; De Simone, G.; Dominiczak, A.; et al. 2018 ESC/ESH Guidelines for the management of arterial hypertension. The Task Force for the management of arterial hypertension of the European Society of Cardiology (ESC) and the European Society of Hypertension (ESH). Eur. Heart J. 2018, 39, 3021–3104. [Google Scholar] [CrossRef]
- Bortel, L.M.V.; Laurent, S.; Boutouyrie, P.; Chowienczyk, P.; Cruickshank, J.K.; Backer, T.D.; Filipovsky, J.; Huybrechts, S.; Mattace-Raso, F.U.S.; Protogerou, A.D.; et al. Expert consensus document on the measurement of aortic stiffness in daily practice using carotid-femoral pulse wave velocity. J. Hypertens. 2012, 30, 445–448. [Google Scholar] [CrossRef]
- Ho, K.K.; Anderson, K.M.; Kannel, W.B.; Grossman, W.; Levy, D. Survival after the onset of congestive heart failure in Framingham Heart Study subjects. Circ. Am. Heart Assoc. 1993, 88, 107–115. [Google Scholar] [CrossRef] [PubMed]
- Porter, T.R.; Mulvagh, S.L.; Abdelmoneim, S.S.; Becher, H.; Belcik, J.T.; Bierig, M.; Choy, J.; Gaibazzi, N.; Gillam, L.D.; Janardhanan, R.; et al. Clinical Applications of Ultrasonic Enhancing Agents in Echocardiography: 2018 American Society of Echocardiography Guidelines Update. J. Am. Soc. Echocardiogr. 2018, 31, 241–274. [Google Scholar] [CrossRef]
- Schultz, M.G.; Picone, D.S.; Armstrong, M.K.; Black, J.A.; Dwyer, N.; Roberts-Thomson, P.; Sharman, J.E. Validation Study to Determine the Accuracy of Central Blood Pressure Measurement Using the Sphygmocor Xcel Cuff Device. Hypertension 2020, 76, 244–250. [Google Scholar] [CrossRef] [PubMed]
- Meguro, T.; Nagatomo, Y.; Nagae, A.; Seki, C.; Kondou, N.; Shibata, M.; Oda, Y. Elevated Arterial Stiffness Evaluated by Brachial-Ankle Pulse Wave Velocity is Deleterious for the Prognosis of Patients With Heart Failure. Circ. J. 2009, 73, 673–680. [Google Scholar] [CrossRef] [PubMed]
- Weber, T.; Chirinos, J.A. Pulsatile arterial haemodynamics in heart failure. Eur. Heart J. 2018, 39, 3847–3854. [Google Scholar] [CrossRef]
- Messerli, F.H.; Rimoldi, S.F.; Bangalore, S. The Transition From Hypertension to Heart Failure: Contemporary Update. JACC Heart Fail 2017, 5, 543–551. [Google Scholar] [CrossRef]
- Pini, R.; Cavallini, M.C.; Bencini, F.; Silvestrini, G.; Tonon, E.; De Alfieri, W.; Marchionni, N.; Di Bari, M.; Devereux, R.B.; Masotti, G.; et al. Cardiovascular remodeling is greater in isolated systolic hypertension than in diastolic hypertension in older adults: The Insufficienza Cardiaca negli Anziani Residenti (ICARE) a Dicomano Study. J. Am. Coll. Cardiol. 2002, 40, 1283–1289. [Google Scholar] [CrossRef]
- Mauro, F. The influence of arterial stiffness in heart failure: A clinical review. J. Geriatr. Cardiol. 2019, 18, 135–140. [Google Scholar]
- Coksevim, M.; Akcay, M.; Yuksel, S.; Yenerçağ, M.; Cerik, I.B.; Gedikli, O.; Gulel, O.; Sahin, M. The effect of cardiac resynchronization therapy on arterial stiffness and central hemodynamic parameters. J. Arrhythm. 2020, 36, 498–507. [Google Scholar] [CrossRef]
- Jackson, C.E.; Castagno, D.; Maggioni, A.P.; Køber, L.; Squire, I.B.; Swedberg, K.; Andersson, B.; Richards, A.M.; Bayes-Genis, A.; Tribouilloy, C.; et al. Differing prognostic value of pulse pressure in patients with heart failure with reduced or preserved ejection fraction: Results from the MAGGIC individual patient meta-analysis. Eur. Heart J. 2015, 36, 1106–1114. [Google Scholar] [CrossRef]
- Dohaei, A.; Taghavi, S.; Amin, A.; Rahimi, S.; Naderi, N. Does aortic pulse wave velocity have any prognostic significance in advanced heart failure patients? J. Cardiovasc. Thorac. Res. 2017, 9, 35–40. [Google Scholar] [CrossRef] [PubMed][Green Version]




| HFpEF (n = 69) | HFmEF (n = 45) | HFrEF (n = 85) | p | |
|---|---|---|---|---|
| Sex (male) | 31 (44.9%) * | 30 (66.7%) | 61 (71.8%) * | 0.002 |
| Age | 77.9 ± 9.9 * | 75.0 ± 20.0 | 69.6 ± 18.3 * | 0.007 |
| DM | 32 (46.4%) | 14 (31.1%) | 41 (48.2%) | 0.15 |
| CAD | 8 (11.6%) * | 13 (28.9%) | 41 (48.9%) * | <0.001 |
| VHD | 30 (42.5%) | 24 (53.3%) | 39 (45.9%) | 0.58 |
| AF | 14 (20.3%) | 7 (15.6%) | 13 (15.3%) | 0.93 |
| Hypertension | 28 (40.6%) | 10 (22.2%) | 20 (23.5%) | 0.15 |
| ACE/ARB | 38/69 (55.1%) | 19/45 (42.2%) | 34/85 (40.0%) | 0.42 |
| ARNI/ARB | 11/69 (15.9%) | 2/45 (4.4%) | 17/85 (20.0%) | <0.001 |
| BB | 57/69 (82.6%) | 41/45 (91.1%) | 79/85 (92.9%) | 0.11 |
| Ivabradine | 6/69 (8.7%) | 4/45 (8.8%) | 10/85 (11.8%) | 0.69 |
| MRA | 53/69 (76.8%) | 33/45 (73.3%) | 74/85 (87.0%) | 0.10 |
| Furosemide (mg/die) | 75 [46–125] | 60 [50–125] | 75 [50–195] | 0.68 |
| Last 24 h diuresis (mL) | 1400 [1100–2000] | 1700 [1300–2400] | 1600 [1250–2500] | 0.12 |
| Weight decrease (kg) | 2.5 [1.8–3.2] | 2.2 [0.9–5.4] | 3.4 [1.3–4.3] | 0.35 |
| Weight decrease (%) | 3.0 [2.4–4.6] | 3.2 [1.5–8.1] | 3.9 [1.8–6.0] | 0.62 |
| SBP mmHg | 128 ± 18 | 124 ± 19 | 124 ± 17 | 0.28 |
| DBP mmHg | 75 ± 13 | 71 ± 14 | 75 ± 13 | 0.19 |
| Hb1ac % | 6.6 ± 1.3 | 6.5 ± 0.9 | 6.7 ± 1.2 | 0.47 |
| Creatinine mg/dL | 1.0 [0.8–1.2] * | 1.2 [0.8–1.8] | 1.3 [0.0–1.9] * | 0.007 |
| Pro-BNP pg/mL | 4310 [2118–10,338] * | 6855 [2588–15,185] | 10,483 [4694–24,388] * | <0.001 |
| LVEF % | 55 ± 5 #* | 44 ± 3 #φ | 28 ± 6 *φ | <0.001 |
| LVEDD mm | 46 ± 9 #* | 53 ± 15 #φ | 62 ± 15 *φ | <0.001 |
| TAPSE mm | 20 [18–23] | 18 [17–20] | 16 [14–19] | <0.001 |
| PAPs mmHg | 44.3 ± 20.3 | 38.5 ± 11.4 | 40.6 ± 13.9 | 0.51 |
| aPWV m/s | 10.7 ± 2.4 | 10.9 ± 2.5 | 11.2 ± 2.9 | 0.46 |
| AIx75 | 29.6 ± 13.3 | 23.4 ± 13.9 | 27.5 ± 18.1 | 0.32 |
| β0 | 3.8 ± 1.5 | 4.2 ± 1.7 | 4.2 ± 2.2 | 0.23 |
| Death | 21 (30.4%) | 17 (37.8%) | 29 (34.1%) | 0.71 |
| Event | 35 (50.7%) | 24 (53.3%) | 48 (56.5%) | 0.77 |
| 1-year free-event | 24/50 (48.0%) | 19/37 (51.4%) | 28/70 (40.0%) | 0.47 |
Publisher’s Note: MDPI stays neutral with regard to jurisdictional claims in published maps and institutional affiliations. |
© 2022 by the authors. Licensee MDPI, Basel, Switzerland. This article is an open access article distributed under the terms and conditions of the Creative Commons Attribution (CC BY) license (https://creativecommons.org/licenses/by/4.0/).
Share and Cite
Anastasio, F.; Testa, M.; Ferreri, C.; Rossi, A.; Ruocco, G.; Feola, M. The Analysis of Arterial Stiffness in Heart Failure Patients: The Prognostic Role of Pulse Wave Velocity, Augmentation Index and Stiffness Index. J. Clin. Med. 2022, 11, 3507. https://doi.org/10.3390/jcm11123507
Anastasio F, Testa M, Ferreri C, Rossi A, Ruocco G, Feola M. The Analysis of Arterial Stiffness in Heart Failure Patients: The Prognostic Role of Pulse Wave Velocity, Augmentation Index and Stiffness Index. Journal of Clinical Medicine. 2022; 11(12):3507. https://doi.org/10.3390/jcm11123507
Chicago/Turabian StyleAnastasio, Fabio, Marzia Testa, Cinzia Ferreri, Arianna Rossi, Gaetano Ruocco, and Mauro Feola. 2022. "The Analysis of Arterial Stiffness in Heart Failure Patients: The Prognostic Role of Pulse Wave Velocity, Augmentation Index and Stiffness Index" Journal of Clinical Medicine 11, no. 12: 3507. https://doi.org/10.3390/jcm11123507
APA StyleAnastasio, F., Testa, M., Ferreri, C., Rossi, A., Ruocco, G., & Feola, M. (2022). The Analysis of Arterial Stiffness in Heart Failure Patients: The Prognostic Role of Pulse Wave Velocity, Augmentation Index and Stiffness Index. Journal of Clinical Medicine, 11(12), 3507. https://doi.org/10.3390/jcm11123507

