Comparison of Prognostic Performance between Neuron-Specific Enolase and S100 Calcium-Binding Protein B Obtained from the Cerebrospinal Fluid of Out-of-Hospital Cardiac Arrest Survivors Who Underwent Targeted Temperature Management
Abstract
1. Introduction
2. Patients and Methods
2.1. Study Design and Patients
2.2. Target Temperature Management Protocol
2.3. Measurement of NSE and S100B Values Obtained from Both Serum and Cerebrospinal Fluid
2.4. Outcomes and Data Collection
2.5. Statistical Analysis
3. Results
3.1. Characteristics of the Study Population
3.2. Comparison of NSE and S100B Concentrations between Groups with Good and Poor Outcomes
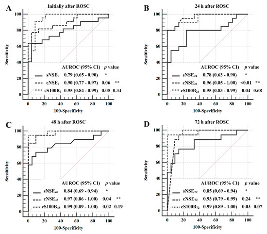
3.3. Receiver Operating Characteristic Analysis for Predicting Poor Neurological Outcomes
4. Discussion
5. Conclusions
Author Contributions
Funding
Institutional Review Board Statement
Informed Consent Statement
Data Availability Statement
Conflicts of Interest
Abbreviations
| CSF | cerebrospinal fluid |
| OHCA | out-of-hospital cardiac arrest |
| NSE | neuron-specific enolase |
| S100B | S100 calcium-binding protein B |
| ROSC | return of spontaneous circulation |
| FPR | false-positive rate |
| CA | cardiac arrest |
| WLST | withdrawal of life-sustaining treatment |
| TTM | targeted temperature management |
| CPC | cerebral performance categories |
| GCS | Glasgow coma score |
| IQR | interquartile range |
| ROC | receiver operating characteristic |
| AUROC | area under the receiver operating characteristic |
| BBB | blood–brain barrier |
| GWR | grey and white matter ratio |
References
- Geocadin, R.G.; Callaway, C.W.; Fink, E.L.; Golan, E.; Greer, D.M.; Ko, N.U.; Lang, E.; Licht, D.J.; Marino, B.S.; McNair, N.D.; et al. Standards for Studies of Neurological Prognostication in Comatose Survivors of Cardiac Arrest: A Scientific Statement From the American Heart Association. Circulation 2019, 140, e517–e542. [Google Scholar] [CrossRef] [PubMed]
- Benjamin, E.J.; Muntner, P.; Alonso, A.; Bittencourt, M.S.; Callaway, C.W.; Carson, A.P.; Chamberlain, A.M.; Chang, A.R.; Cheng, S.; Das, S.R.; et al. Heart Disease and Stroke Statistics—2019 Update: A Report From the American Heart Association. Circulation 2019, 139, e56–e528. [Google Scholar] [CrossRef]
- Sandroni, C.; Cariou, A.; Cavallaro, F.; Cronberg, T.; Friberg, H.; Hoedemaekers, C.; Horn, J.; Nolan, J.P.; Rossetti, A.O.; Soar, J. Prognostication in comatose survivors of cardiac arrest: An advisory statement from the European Resuscitation Council and the European Society of Intensive Care Medicine. Resuscitation 2014, 85, 1779–1789. [Google Scholar] [CrossRef]
- Choi, S.; Park, K.; Ryu, S.; Kang, T.; Kim, H.; Cho, S.; Oh, S. Use of S-100B, NSE, CRP and ESR to predict neurological outcomes in patients with return of spontaneous circulation and treated with hypothermia. Emerg. Med. J. 2016, 33, 690–695. [Google Scholar] [CrossRef] [PubMed]
- Duez, C.H.V.; Grejs, A.M.; Jeppesen, A.N.; Schrøder, A.D.; Søreide, E.; Nielsen, J.F.; Kirkegaard, H. Neuron-specific enolase and S-100b in prolonged targeted temperature management after cardiac arrest: A randomised study. Resuscitation 2018, 122, 79–86. [Google Scholar] [CrossRef] [PubMed]
- Jang, J.H.; Park, W.B.; Lim, Y.S.; Choi, J.Y.; Cho, J.S.; Woo, J.H.; Choi, W.S.; Yang, H.J.; Hyun, S.Y. Combination of S100B and procalcitonin improves prognostic performance compared to either alone in patients with cardiac arrest: A prospective observational study. Medicine (Baltimore) 2019, 98, e14496. [Google Scholar] [CrossRef] [PubMed]
- Stammet, P.; Dankiewicz, J.; Nielsen, N.; Fays, F.; Collignon, O.; Hassager, C.; Wanscher, M.; Undèn, J.; Wetterslev, J.; Pellis, T.; et al. Protein S100 as outcome predictor after out-of-hospital cardiac arrest and targeted temperature management at 33 °C and 36 °C. Crit. Care 2017, 21, 153. [Google Scholar] [CrossRef]
- Callaway, C.W.; Donnino, M.W.; Fink, E.L.; Geocadin, R.G.; Golan, E.; Kern, K.B.; Leary, M.; Meurer, W.J.; Peberdy, M.A.; Thompson, T.M.; et al. Part 8: Post-Cardiac Arrest Care: 2015 American Heart Association Guidelines Update for Cardiopulmonary Resuscitation and Emergency Cardiovascular Care. Circulation 2015, 132, S465–S482. [Google Scholar] [CrossRef] [PubMed]
- You, Y.; Park, J.S.; Min, J.; Yoo, I.; Ahn, H.J.; Cho, Y.; Ryu, S.; Lee, J.; Kim, S.; Cho, S.; et al. The usefulness of neuron-specific enolase in cerebrospinal fluid to predict neurological prognosis in cardiac arrest survivors who underwent target temperature management: A prospective observational study. Resuscitation 2019, 145, 185–191. [Google Scholar] [CrossRef]
- Bottiger, B.W.; Mobes, S.; Glatzer, R.; Bauer, H.; Gries, A.; Bartsch, P.; Motsch, J.; Martin, E. Astroglial protein S-100 is an early and sensitive marker of hypoxic brain damage and outcome after cardiac arrest in humans. Circulation 2001, 103, 2694–2698. [Google Scholar] [CrossRef]
- Zellner, T.; Gartner, R.; Schopohl, J.; Angstwurm, M. NSE and S-100B are not sufficiently predictive of neurologic outcome after therapeutic hypothermia for cardiac arrest. Resuscitation 2013, 84, 1382–1386. [Google Scholar] [CrossRef] [PubMed]
- Moseby-Knappe, M.; Cronberg, T. Blood biomarkers of brain injury after cardiac arrest-A dynamic field. Resuscitation 2020, 156, 273–276. [Google Scholar] [CrossRef] [PubMed]
- Panchal, A.R.; Bartos, J.A.; Cabañas, J.G.; Donnino, M.W.; Drennan, I.R.; Hirsch, K.G.; Kudenchuk, P.J.; Kurz, M.C.; Lavonas, E.J.; Morley, P.T.; et al. Part 3: Adult Basic and Advanced Life Support: 2020 American Heart Association Guidelines for Cardiopulmonary Resuscitation and Emergency Cardiovascular Care. Circulation 2020, 142, S366–S468. [Google Scholar] [CrossRef] [PubMed]
- You, Y.; Park, J.; Min, J.; Yoo, I.; Jeong, W.; Cho, Y.; Ryu, S.; Lee, J.; Kim, S.; Cho, S.; et al. Relationship between time related serum albumin concentration, optic nerve sheath diameter, cerebrospinal fluid pressure, and neurological prognosis in cardiac arrest survivors. Resuscitation 2018, 131, 42–47. [Google Scholar] [CrossRef]
- Longstreth, W.T., Jr.; Nichol, G.; Van Ottingham, L.; Hallstrom, A.P. Two simple questions to assess neurologic outcomes at 3 months after out-of-hospital cardiac arrest: Experience from the public access defibrillation trial. Resuscitation 2010, 81, 530–533. [Google Scholar] [CrossRef]
- DeLong, E.R.; DeLong, D.M.; Clarke-Pearson, D.L. Comparing the areas under two or more correlated receiver operating characteristic curves: A nonparametric approach. Biometrics 1988, 44, 837–845. [Google Scholar] [CrossRef]
- Kärkelä, J.; Bock, E.; Kaukinen, S. CSF and serum brain-specific creatine kinase isoenzyme (CK-BB), neuron-specific enolase (NSE) and neural cell adhesion molecule (NCAM) as prognostic markers for hypoxic brain injury after cardiac arrest in man. J. Neurol. Sci. 1993, 116, 100–109. [Google Scholar] [CrossRef]
- Stammet, P.; Wagner, D.R.; Gilson, G.; Devaux, Y. Modeling serum level of S100β and bispectral index to predict outcome after cardiac arrest. J. Am. Coll. Cardiol. 2013, 62, 851–858. [Google Scholar] [CrossRef]
- Goncalves, C.A.; Leite, M.C.; Nardin, P. Biological and methodological features of the measurement of S100B, a putative marker of brain injury. Clin. Biochem. 2008, 41, 755–763. [Google Scholar] [CrossRef]
- Shandiz, F.H.; Ghaffarzadegan, K.; Fariman, S.J.; Jannati, M.; Elyasi, S.; Amir Hooshang, M. Evaluation of human serum S100B protein as a prognostic factor in nonmetastatic breast cancer patients. Breast Cancer Manag. 2018, 7. [Google Scholar] [CrossRef]
- Pantoni, L.; Garcia, J.H.; Gutierrez, J.A. Cerebral white matter is highly vulnerable to ischemia. Stroke 1996, 27, 1641–1646; discussion 1647. [Google Scholar] [CrossRef] [PubMed]
- Choi, S.P.; Park, H.K.; Park, K.N.; Kim, Y.M.; Ahn, K.J.; Choi, K.H.; Lee, W.J.; Jeong, S.K. The density ratio of grey to white matter on computed tomography as an early predictor of vegetative state or death after cardiac arrest. Emerg. Med. J. 2008, 25, 666–669. [Google Scholar] [CrossRef] [PubMed]
- Hong, J.Y.; Lee, D.H.; Oh, J.H.; Lee, S.H.; Choi, Y.H.; Kim, S.H.; Min, J.H.; Kim, S.J.; Park, Y.S. Grey-white matter ratio measured using early unenhanced brain computed tomography shows no correlation with neurological outcomes in patients undergoing targeted temperature management after cardiac arrest. Resuscitation 2019, 140, 161–169. [Google Scholar] [CrossRef] [PubMed]
- Lee, B.K.; Kim, W.Y.; Shin, J.; Oh, J.S.; Wee, J.H.; Cha, K.C.; Park, Y.; Choi, J.H.; Jeung, K.W. Prognostic value of gray matter to white matter ratio in hypoxic and non-hypoxic cardiac arrest with non-cardiac etiology. Am. J. Emerg. Med. 2016, 34, 1583–1588. [Google Scholar] [CrossRef]
- Lee, B.K.; Jeung, K.W.; Song, K.H.; Jung, Y.H.; Choi, W.J.; Kim, S.H.; Youn, C.S.; Cho, I.S.; Lee, D.H. Prognostic values of gray matter to white matter ratios on early brain computed tomography in adult comatose patients after out-of-hospital cardiac arrest of cardiac etiology. Resuscitation 2015, 96, 46–52. [Google Scholar] [CrossRef]
- Hol, E.M.; Pekny, M. Glial fibrillary acidic protein (GFAP) and the astrocyte intermediate filament system in diseases of the central nervous system. Curr. Opin. Cell Biol. 2015, 32, 121–130. [Google Scholar] [CrossRef]
- Martínez-Losas, P.; López de Sá, E.; Armada, E.; Rosillo, S.; Monedero, M.C.; Rey, J.R.; Caro-Codón, J.; Buño Soto, A.; López Sendón, J.L. Neuron-specific enolase kinetics: An additional tool for neurological prognostication after cardiac arrest. Rev. Esp. Cardiol. (Engl. Ed.) 2020, 73, 123–130. [Google Scholar] [CrossRef]
- Sekhon, M.S.; Ainslie, P.N.; Griesdale, D.E. Clinical pathophysiology of hypoxic ischemic brain injury after cardiac arrest: A “two-hit” model. Crit. Care 2017, 21, 90. [Google Scholar] [CrossRef]



| Total Patients (n = 45) | Good Neurological Outcome (n = 23) | Poor Neurological Outcome (n = 22) | p | |
|---|---|---|---|---|
| Age, years, median (IQR) | 57 (18–87) | 58 (18–81) | 51 (19–87) | 0.73 |
| Male, n (%) | 36 (80.0) | 21 (91.3) | 15 (68.2) | 0.07 |
| Cardiac arrest characteristics | ||||
| Witness, n (%) | 28 (62.2) | 18 (78.3) | 10 (45.5) | 0.03 |
| Bystander CPR, n (%) | 30 (66.7) | 19 (82.6) | 11 (50.0) | 0.03 |
| Shockable rhythm, n (%) | 14 (31.1) | 14 (60.9) | 0 | <0.01 |
| Cardiac etiology, n (%) | 20 (44.4) | 15 (65.2) | 5 (22.7) | 0.02 |
| No flow time, min, median (IQR) | 4.0 (0.0–90.0) | 1.0 (0.0–30.0) | 12.0 (0.0–90.0) | <0.01 |
| Low flow time, min, median (IQR) | 18.5 (2.0–58.0) | 12.0 (2.0–40.0) | 26.0 (2.0–58.0) | <0.01 |
| GCS immediately after ROSC | 3 (3–8) | 3 (3–8) | 3 (3–3) | <0.01 |
| Time to LP from ROSC, hour, median (IQR) | 4.5 (1.2–19.5) | 3.4 (1.2–11.6) | 5.0 (2.3–19.5) | 0.11 |
| Value | Total Patients (n = 45) | Good Neurological Outcome (n = 23) | Poor Neurological Outcome (n = 22) | p Value |
|---|---|---|---|---|
| Serum NSE, ng/mL, median (IQR) | ||||
| NSEi, | 29.0 (13.8–208.0) | 23.8 (14.1–49.3) | 43.4 (13.8–208.0) | <0.01 |
| NSE24 | 33.7 (12.8–300.0) | 26.1 (12.8–75.1) | 56.5 (16.6–300.0) | <0.01 |
| NSE48 | 29.2 (9.3–300.0 | 22.6 (9.3–54.6) | 79.1 (11.5–300.0) | <0.01 |
| NSE72 | 25.7 (8.0–300.0) | 17.7 (8.0–65.3) | 70.7 (12.4–300.0) | <0.01 |
| CSF NSE, ng/mL, median (IQR) | ||||
| NSEi, | 30.8 (8.0–300.0) | 20.9 (8.0–60.3) | 106.8 (17.4–300.0) | <0.01 |
| NSE24 | 109.0 (7.1–300.0) | 39.1 (7.1–210.0) | 300.0 (62.0–300.0) | <0.01 |
| NSE48 | 137.5 (9.1–300.0) | 33.1 (9.1–290.0) | 300.0 (46.6–300.0) | <0.01 |
| NSE72 | 63.7 (10.6–300.0) | 20.3 (10.6–300.0) | 300.0 (40.2–300.0) | <0.01 |
| CSF S100B, μg/L, median (IQR) | ||||
| S100Bi | 3.46 (0.20–30.00) | 1.50 (0.20–12.72) | 7.88 (2.26–30.00) | <0.01 |
| S100B24 | 4.68 (0.22–30.00) | 1.54 (0.22–7.97) | 30.00 (1.73–30.00) | <0.01 |
| S100B48 | 3.04 (0.07–30.00) | 1.21 (0.07–3.42) | 30.00 (2.31–30.00) | <0.01 |
| S100B72 | 1.45 (0.27–30.00) | 0.82 (0.27–2.73) | 30.00 (1.43–30.00) | <0.01 |
| Values | Cut-off | Sensitivity (95% CI) | Specificity (95% CI) | TP | FP | TN | FN | PPV | NPV |
|---|---|---|---|---|---|---|---|---|---|
| Serum NSE, ng/mL | |||||||||
| NSEi (n = 45) | 49.3 | 40.9 (20.7–63.6) | 100.0 | 9 | 0 | 23 | 13 | 100 | 63.9 |
| NSE24 (n = 45) | 75.1 | 40.9 (20.7–63.6) | 100.0 | 9 | 0 | 23 | 13 | 100 | 63.9 |
| NSE48 (n = 45) | 54.6 | 63.6 (40.7–82.8) | 100.0 | 14 | 0 | 23 | 8 | 100 | 74.2 |
| NSE72 (n = 43) | 65.3 | 55.0 (31.5–76.9) | 100.0 | 11 | 0 | 23 | 9 | 100 | 71.9 |
| CSF NSE, ng/mL | |||||||||
| NSEi (n = 45) | 60.3 | 66.6 (40.7–82.8) | 100.0 | 14 | 0 | 23 | 8 | 100 | 74.2 |
| NSE24 (n = 41) | 210.0 | 80.0 (56.3–94.3) | 100.0 | 16 | 0 | 21 | 4 | 100 | 84.0 |
| NSE48 (n = 40) | 290.0 | 84.2 (60.4–96.6) | 100.0 | 16 | 0 | 21 | 3 | 100 | 87.5 |
| NSE72 (n = 38) | 283.0 | 88.2 (63.6–98.5) | 95.0 (75.1–99.9) | 15 | 2 | 19 | 2 | 82.4 | 94.7 |
| CSF S100B, μg/L | |||||||||
| S100Bi (n = 45) | 12.72 | 45.5 (24.4–67.8) | 100.0 | 10 | 0 | 23 | 12 | 100 | 65.7 |
| S100B24 (n = 41) | 7.97 | 80.0 (56.3–94.3) | 100.0 | 16 | 0 | 21 | 4 | 100 | 84.0 |
| S100B48 (n = 40) | 3.42 | 94.7 (74.0–99.9) | 100.0 | 18 | 0 | 21 | 1 | 100 | 95.5 |
| S100B72 (n = 38) | 2.73 | 94.1 (71.3–99.9) | 100.0 | 16 | 0 | 21 | 1 | 100 | 95.5 |
Publisher’s Note: MDPI stays neutral with regard to jurisdictional claims in published maps and institutional affiliations. |
© 2021 by the authors. Licensee MDPI, Basel, Switzerland. This article is an open access article distributed under the terms and conditions of the Creative Commons Attribution (CC BY) license (https://creativecommons.org/licenses/by/4.0/).
Share and Cite
Kang, C.; Jeong, W.; Park, J.S.; You, Y.; Min, J.H.; Cho, Y.C.; Ahn, H.J. Comparison of Prognostic Performance between Neuron-Specific Enolase and S100 Calcium-Binding Protein B Obtained from the Cerebrospinal Fluid of Out-of-Hospital Cardiac Arrest Survivors Who Underwent Targeted Temperature Management. J. Clin. Med. 2021, 10, 1531. https://doi.org/10.3390/jcm10071531
Kang C, Jeong W, Park JS, You Y, Min JH, Cho YC, Ahn HJ. Comparison of Prognostic Performance between Neuron-Specific Enolase and S100 Calcium-Binding Protein B Obtained from the Cerebrospinal Fluid of Out-of-Hospital Cardiac Arrest Survivors Who Underwent Targeted Temperature Management. Journal of Clinical Medicine. 2021; 10(7):1531. https://doi.org/10.3390/jcm10071531
Chicago/Turabian StyleKang, Changshin, Wonjoon Jeong, Jung Soo Park, Yeonho You, Jin Hong Min, Yong Chul Cho, and Hong Joon Ahn. 2021. "Comparison of Prognostic Performance between Neuron-Specific Enolase and S100 Calcium-Binding Protein B Obtained from the Cerebrospinal Fluid of Out-of-Hospital Cardiac Arrest Survivors Who Underwent Targeted Temperature Management" Journal of Clinical Medicine 10, no. 7: 1531. https://doi.org/10.3390/jcm10071531
APA StyleKang, C., Jeong, W., Park, J. S., You, Y., Min, J. H., Cho, Y. C., & Ahn, H. J. (2021). Comparison of Prognostic Performance between Neuron-Specific Enolase and S100 Calcium-Binding Protein B Obtained from the Cerebrospinal Fluid of Out-of-Hospital Cardiac Arrest Survivors Who Underwent Targeted Temperature Management. Journal of Clinical Medicine, 10(7), 1531. https://doi.org/10.3390/jcm10071531

