Abnormal Liver Function Test in Patients Infected with Coronavirus (SARS-CoV-2): A Retrospective Single-Center Study from Spain
Abstract
1. Introduction
2. Materials and Methods
2.1. Study Design and Patients
2.2. Statistical Analysis
3. Results
4. Discussion
- (i)
- Pathophysiological causes of fluctuation in liver injury parameters in COVID-19 patients;
- (ii)
- A more detailed analysis of the effects of existing liver-related comorbidities on the outcome of the disease, and;
- (iii)
- The potential mechanisms of hepatotoxicity of treatment for COVID-19. Detailed information from different national registries is particularly important in order to understand the heterogeneous character of COVID-19 and its real impact on the liver.
Supplementary Materials
Author Contributions
Funding
Institutional Review Board Statement
Informed Consent Statement
Data Availability Statement
Acknowledgments
Conflicts of Interest
References
- Zaim, S.; Chong, J.H.; Sankaranarayanan, V.; Harky, A. Covid-19 and multiorgan response. Curr. Probl. Cardiol. 2020, 45, 100618. [Google Scholar] [CrossRef]
- Yuki, K.; Fujiogi, M.; Koutsogiannaki, S. Covid-19 pathophysiology: A review. Clin. Immunol. 2020, 215, 108427. [Google Scholar] [CrossRef] [PubMed]
- Chen, N.; Zhou, M.; Dong, X.; Qu, J.; Gong, F.; Han, Y.; Qiu, Y.; Wang, J.; Liu, Y.; Wei, Y.; et al. Epidemiological and clinical characteristics of 99 cases of 2019 novel coronavirus pneumonia in wuhan, china: A descriptive study. Lancet 2020, 395, 507–513. [Google Scholar] [CrossRef]
- Huang, C.; Wang, Y.; Li, X.; Ren, L.; Zhao, J.; Hu, Y.; Zhang, L.; Fan, G.; Xu, J.; Gu, X.; et al. Clinical features of patients infected with 2019 novel coronavirus in Wuhan, China. Lancet 2020, 395, 497–506. [Google Scholar] [CrossRef]
- Tian, S.; Hu, N.; Lou, J.; Chen, K.; Kang, X.; Xiang, Z.; Chen, H.; Wang, D.; Liu, N.; Liu, D.; et al. Characteristics of covid-19 infection in beijing. J. Infect. 2020, 80, 401–406. [Google Scholar] [CrossRef] [PubMed]
- Grein, J.; Ohmagari, N.; Shin, D.; Diaz, G.; Asperges, E.; Castagna, A.; Feldt, T.; Green, G.; Green, M.L.; Lescure, F.X.; et al. Compassionate use of remdesivir for patients with severe covid-19. N. Engl. J. Med. 2020, 382, 2327–2336. [Google Scholar] [CrossRef] [PubMed]
- Yang, W.; Cao, Q.; Qin, L.; Wang, X.; Cheng, Z.; Pan, A.; Dai, J.; Sun, Q.; Zhao, F.; Qu, J.; et al. Clinical characteristics and imaging manifestations of the 2019 novel coronavirus disease (covid-19):A multi-center study in Wenzhou city, Zhejiang, China. J. Infect. 2020, 80, 388–393. [Google Scholar] [CrossRef] [PubMed]
- Cai, Q.; Huang, D.; Yu, H.; Zhu, Z.; Xia, Z.; Su, Y.; Li, Z.; Zhou, G.; Gou, J.; Qu, J.; et al. Covid-19: Abnormal liver function tests. J. Hepatol. 2020, 73, 566–574. [Google Scholar] [CrossRef] [PubMed]
- Fan, Z.; Chen, L.; Li, J.; Cheng, X.; Yang, J.; Tian, C.; Zhang, Y.; Huang, S.; Liu, Z.; Cheng, J. Clinical features of covid-19-related liver functional abnormality. Clin. Gastroenterol. Hepatol. 2020, 18, 1561–1566. [Google Scholar] [CrossRef] [PubMed]
- Richardson, S.; Hirsch, J.S.; Narasimhan, M.; Crawford, J.M.; McGinn, T.; Davidson, K.W.; Northwell, C.-R.C.; Barnaby, D.P.; Becker, L.B.; Chelico, J.D.; et al. Presenting characteristics, comorbidities, and outcomes among 5700 patients hospitalized with covid-19 in the New York city area. JAMA 2020, 323, 2052–2059. [Google Scholar] [CrossRef] [PubMed]
- Bloom, P.P.; Meyerowitz, E.A.; Reinus, Z.; Daidone, M.; Gustafson, J.; Kim, A.Y.; Schaefer, E.; Chung, R.T. Liver biochemistries in hospitalized patients with covid-19. Hepatology 2020. [Google Scholar] [CrossRef] [PubMed]
- Piano, S.; Dalbeni, A.; Vettore, E.; Benfaremo, D.; Mattioli, M.; Gambino, C.G.; Framba, V.; Cerruti, L.; Mantovani, A.; Martini, A.; et al. Abnormal liver function tests predict transfer to intensive care unit and death in covid-19. Liver Int. 2020, 40, 2394–2406. [Google Scholar] [CrossRef] [PubMed]
- Ponziani, F.R.; Del Zompo, F.; Nesci, A.; Santopaolo, F.; Ianiro, G.; Pompili, M.; Gasbarrini, A.; “Gemelli against COVID-19” Group. Liver involvement is not associated with mortality: Results from a large cohort of sars-cov-2-positive patients. Aliment. Pharmacol. Ther. 2020, 52, 1060–1068. [Google Scholar] [CrossRef] [PubMed]
- Meszaros, M.; Meunier, L.; Morquin, D.; Klouche, K.; Fesler, P.; Malezieux, E.; Makinson, A.; Le Moing, V.; Reynes, J.; Pageaux, G.P. Abnormal liver tests in patients hospitalized with coronavirus disease 2019: Should we worry? Liver Int. 2020, 40, 1860–1864. [Google Scholar] [CrossRef] [PubMed]
- Effenberger, M.; Grander, C.; Grabherr, F.; Griesmacher, A.; Ploner, T.; Hartig, F.; Bellmann-Weiler, R.; Joannidis, M.; Zoller, H.; Weiss, G.; et al. Systemic inflammation as fuel for acute liver injury in covid-19. Dig. Liver Dis. 2021, 53, 158–165. [Google Scholar] [CrossRef] [PubMed]
- The Lancet Haematology. Covid-19 coagulopathy: An evolving story. Lancet Haematol. 2020, 7, e425. [Google Scholar] [CrossRef]
- Xie, J.; Covassin, N.; Fan, Z.Y.; Singh, P.; Gao, W.; Li, G.X.; Kara, T.; Somers, V.K. Association between hypoxemia and mortality in patients with covid-19. Mayo Clin. Proc. 2020, 95, 1138–1147. [Google Scholar] [CrossRef] [PubMed]
- Gomez-Pastora, J.; Weigand, M.; Kim, J.; Wu, X.; Strayer, J.; Palmer, A.F.; Zborowski, M.; Yazer, M.; Chalmers, J.J. Hyperferritinemia in critically ill covid-19 patients—Is ferritin the product of inflammation or a pathogenic mediator? Clin. Chim. Acta 2020, 509, 249–251. [Google Scholar] [CrossRef]
- Al-Samkari, H.; Karp Leaf, R.S.; Dzik, W.H.; Carlson, J.C.T.; Fogerty, A.E.; Waheed, A.; Goodarzi, K.; Bendapudi, P.K.; Bornikova, L.; Gupta, S.; et al. Covid-19 and coagulation: Bleeding and thrombotic manifestations of sars-cov-2 infection. Blood 2020, 136, 489–500. [Google Scholar] [CrossRef]
- Shi, H.; Han, X.; Jiang, N.; Cao, Y.; Alwalid, O.; Gu, J.; Fan, Y.; Zheng, C. Radiological findings from 81 patients with covid-19 pneumonia in Wuhan, China: A descriptive study. Lancet Infect. Dis. 2020, 20, 425–434. [Google Scholar] [CrossRef]
- Bangash, M.N.; Patel, J.; Parekh, D. Covid-19 and the liver: Little cause for concern. Lancet Gastroenterol. Hepatol. 2020, 5, 529–530. [Google Scholar] [CrossRef]
- Sun, J.; Aghemo, A.; Forner, A.; Valenti, L. Covid-19 and liver disease. Liver Int. 2020, 40, 1278–1281. [Google Scholar] [CrossRef] [PubMed]
- Tian, D.; Ye, Q. Hepatic complications of covid-19 and its treatment. J. Med. Virol. 2020, 92, 1818–1824. [Google Scholar] [CrossRef] [PubMed]
- Hamming, I.; Timens, W.; Bulthuis, M.L.; Lely, A.T.; Navis, G.; van Goor, H. Tissue distribution of ace2 protein, the functional receptor for sars coronavirus. A first step in understanding sars pathogenesis. J. Pathol. 2004, 203, 631–637. [Google Scholar] [CrossRef]
- Harmer, D.; Gilbert, M.; Borman, R.; Clark, K.L. Quantitative mrna expression profiling of ace 2, a novel homologue of angiotensin converting enzyme. FEBS Lett. 2002, 532, 107–110. [Google Scholar] [CrossRef]
- Xu, Z.; Shi, L.; Wang, Y.; Zhang, J.; Huang, L.; Zhang, C.; Liu, S.; Zhao, P.; Liu, H.; Zhu, L.; et al. Pathological findings of covid-19 associated with acute respiratory distress syndrome. Lancet Respir. Med. 2020, 8, 420–422. [Google Scholar] [CrossRef]
- Wang, Y.; Liu, S.; Liu, H.; Li, W.; Lin, F.; Jiang, L.; Li, X.; Xu, P.; Zhang, L.; Zhao, L.; et al. Sars-cov-2 infection of the liver directly contributes to hepatic impairment in patients with covid-19. J. Hepatol. 2020, 73, 807–816. [Google Scholar] [CrossRef] [PubMed]
- Philips, C.A.; Ahamed, R.; Augustine, P. Sars-cov-2 related liver impairment—Perception may not be the reality. J. Hepatol. 2020, 73, 991–992. [Google Scholar] [CrossRef]
- Coperchini, F.; Chiovato, L.; Croce, L.; Magri, F.; Rotondi, M. The cytokine storm in covid-19: An overview of the involvement of the chemokine/chemokine-receptor system. Cytokine Growth Factor Rev. 2020, 53, 25–32. [Google Scholar] [CrossRef] [PubMed]
- Jothimani, D.; Venugopal, R.; Abedin, M.F.; Kaliamoorthy, I.; Rela, M. Covid-19 and the liver. J. Hepatol. 2020, 73, 1231–1240. [Google Scholar] [CrossRef]
- Colafrancesco, S.; Alessandri, C.; Conti, F.; Priori, R. Covid-19 gone bad: A new character in the spectrum of the hyperferritinemic syndrome? Autoimmun. Rev. 2020, 19, 102573. [Google Scholar] [CrossRef]
- Liu, C.L.; Lu, Y.T.; Peng, M.J.; Chen, P.J.; Lin, R.L.; Wu, C.L.; Kuo, H.T. Clinical and laboratory features of severe acute respiratory syndrome vis-a-vis onset of fever. Chest 2004, 126, 509–517. [Google Scholar] [CrossRef]
- Huang, H.; Cai, S.; Li, Y.; Li, Y.; Fan, Y.; Li, L.; Lei, C.; Tang, X.; Hu, F.; Li, F.; et al. Prognostic factors for covid-19 pneumonia progression to severe symptoms based on earlier clinical features: A retrospective analysis. Front. Med. (Lausanne) 2020, 7, 557453. [Google Scholar] [CrossRef]
- Guan, W.J.; Ni, Z.Y.; Hu, Y.; Liang, W.H.; Ou, C.Q.; He, J.X.; Liu, L.; Shan, H.; Lei, C.L.; Hui, D.S.C.; et al. Clinical characteristics of coronavirus disease 2019 in china. N. Engl. J. Med. 2020, 382, 1708–1720. [Google Scholar] [CrossRef] [PubMed]
- Ge, W.; Huh, J.W.; Park, Y.R.; Lee, J.H.; Kim, Y.H.; Turchin, A. An interpretable icu mortality prediction model based on logistic regression and recurrent neural networks with lstm units. AMIA Annu. Symp. Proc. 2018, 2018, 460–469. [Google Scholar] [PubMed]
- Wu, M.Y.; Yao, L.; Wang, Y.; Zhu, X.Y.; Wang, X.F.; Tang, P.J.; Chen, C. Clinical evaluation of potential usefulness of serum lactate dehydrogenase (ldh) in 2019 novel coronavirus (covid-19) pneumonia. Respir. Res. 2020, 21, 171. [Google Scholar] [CrossRef] [PubMed]
- Kotoh, K.; Kato, M.; Kohjima, M.; Tanaka, M.; Miyazaki, M.; Nakamura, K.; Enjoji, M.; Nakamuta, M.; Takayanagi, R. Lactate dehydrogenase production in hepatocytes is increased at an early stage of acute liver failure. Exp. Ther. Med. 2011, 2, 195–199. [Google Scholar] [CrossRef] [PubMed]
- Ebert, E.C. Hypoxic liver injury. Mayo Clin. Proc. 2006, 81, 1232–1236. [Google Scholar] [CrossRef] [PubMed]
- Chen, S.; Liu, H.; Li, T.; Huang, R.; Gui, R.; Zhang, J. Correlation analysis of coagulation dysfunction and liver damage in patients with novel coronavirus pneumonia: A single-center, retrospective, observational study. Ups. J. Med. Sci. 2020, 125, 293–296. [Google Scholar] [CrossRef] [PubMed]
- Botros, M.; Sikaris, K.A. The de ritis ratio: The test of time. Clin. Biochem. Rev. 2013, 34, 117–130. [Google Scholar]
- Chai, X.; Hu, L.; Zhang, Y.; Han, W.; Lu, Z.; Ke, A.; Zhou, J.; Shi, G.; Fang, N.; Fan, J.; et al. Specific Ace 2 expression in scholasticates may cause liver damage after 2019-nov infection. Biloxi 2020. [Google Scholar] [CrossRef]
- Lippi, G.; Wong, J.; Henry, B.M. Myalgia may not be associated with severity of coronavirus disease 2019 (covid-19). World J. Emerg. Med. 2020, 11, 193–194. [Google Scholar] [CrossRef] [PubMed]
- Echeverria-Rodriguez, O.; Gallardo-Ortiz, I.A.; Del Valle-Mondragon, L.; Villalobos-Molina, R. Angiotensin-(1-7) participates in enhanced skeletal muscle insulin sensitivity after a bout of exercise. J. Endocr. Soc. 2020, 4, bvaa007. [Google Scholar] [CrossRef] [PubMed]
- Kucuk, A.; Cumhur Cure, M.; Cure, E. Can covid-19 cause myalgia with a completely different mechanism? A hypothesis. Clin. Rheumatol. 2020, 39, 2103–2104. [Google Scholar] [CrossRef] [PubMed]
- Adams, D.H.; Hubscher, S.G. Systemic viral infections and collateral damage in the liver. Am. J. Pathol. 2006, 168, 1057–1059. [Google Scholar] [CrossRef] [PubMed]
- Alqahtani, S.A.; Schattenberg, J.M. Liver injury in covid-19: The current evidence. United Eur. Gastroenterol. J. 2020, 8, 509–519. [Google Scholar] [CrossRef] [PubMed]
- Cao, B.; Wang, Y.; Wen, D.; Liu, W.; Wang, J.; Fan, G.; Ruan, L.; Song, B.; Cai, Y.; Wei, M.; et al. A trial of lopinavir-ritonavir in adults hospitalized with severe covid-19. N. Engl. J. Med. 2020, 382, 1787–1799. [Google Scholar] [CrossRef]
- Zampino, R.; Mele, F.; Florio, L.L.; Bertolino, L.; Andini, R.; Galdo, M.; De Rosa, R.; Corcione, A.; Durante-Mangoni, E. Liver injury in remdesivir-treated covid-19 patients. Hepatol. Int. 2020, 14, 881–883. [Google Scholar] [CrossRef] [PubMed]
- Marjot, T.; Moon, A.M.; Cook, J.A.; Abd-Elsalam, S.; Aloman, C.; Armstrong, M.J.; Pose, E.; Brenner, E.J.; Cargill, T.; Catana, M.A.; et al. Outcomes following sars-cov-2 infection in patients with chronic liver disease: An international registry study. J. Hepatol. 2020, 74, 567–577. [Google Scholar] [CrossRef] [PubMed]






| Characteristics | |
| Total number of patients | 799 |
| Sex, n (%) | |
| Women | 362 (45.3%) |
| Men | 437 (54.7%) |
| Age, years, n (%) | |
| <19, n (%) | 2 (0.3%) |
| 20–29, n (%) | 21 (2.6%) |
| 30–39, n (%) | 45 (5.6%) |
| 40–49, n (%) | 100 (12.5%) |
| 50–59, n (%) | 177 (22.2%) |
| 60–69, n (%) | 143 (17.9%) |
| 70–79, n (%) | 147 (18.4%) |
| 80–89, n (%) | 139 (17.4%) |
| 90–99, n (%) | 25 (3.1%) |
| Outcome, n (%) | |
| Dead | 140 (17.5%) |
| Survived | 659 (82.5%) |
| PARAMETERS | ALT | AST | GGT | ALP | LDH | AST/ALT Ratio |
| Total, ± SD (U/L) | 38.07 ± 39.61 | 43.57 ± 35.35 | 69.42 ± 85.11 | 87.32 ± 67.91 | 369.58 ± 159.08 | 1.41 ± 0.91 |
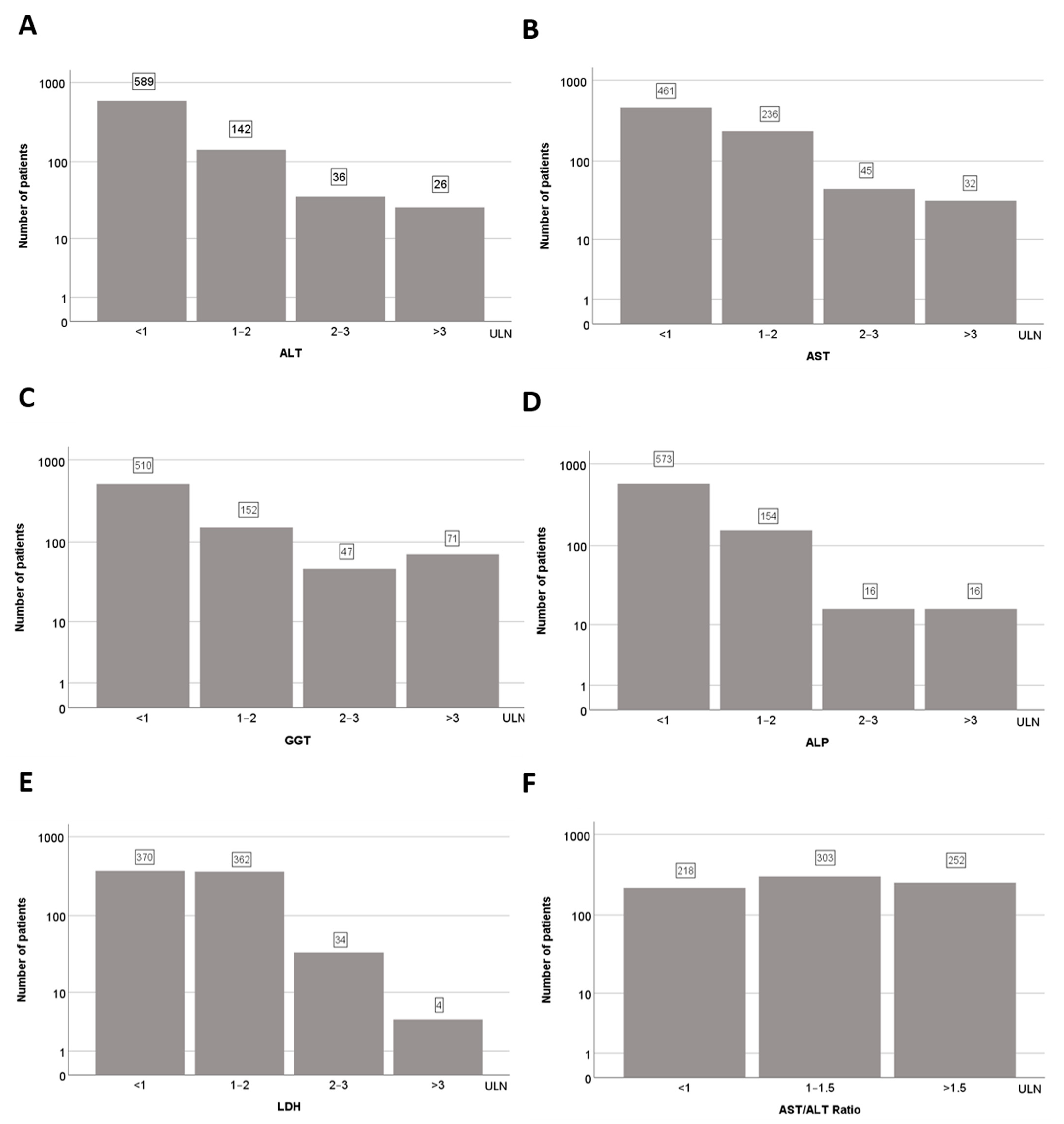
| Normal, total n (%) | 589 (74.27%) | 461 (50.83%) | 510 (65.38%) | 573 (75.79%) | 370 (44.16%) | 193 |
| Elevated, n (%) | 204 (25.73%) | 446 (49.17%) | 270 (34.62%) | 186 (24.21%) | 400 (55.84%) | 579 |
| Women, ± SD (U/L) | 35.55 ± 2.39 | 41.67 ± 1.83 | 61.57 ± 4.59 | 88.59 ± 3.16 | 363.85 ± 8.90 | 1.46 ± 0.39 |
| Men, ± SD (U/L) | 40.04 ± 1.85 | 45.52 ± 1.91 | 76.53 ± 4.37 | 86.00 ± 3.79 | 369.88 ± 7.77 | 1.33 ± 0.03 |
| AGE (years) | ALT ± SD (U/L) | AST ± SD (U/L) | GGT ± SD (U/L) | ALP ± SD (U/L) | LDH ± SD (U/L) | AST/ALT Ratio |
| <19 | 251.500 ± 222.50 | 153.50 ± 114.50 | 272.50 ± 205.50 | 547.50 ± 140.50 | 838.50 ± 564.00 | 0.96 ± 0.39 |
| 20–29 | 47.95 ± 7.10 | 40.47 ± 4.71 | 68.74 ± 14.72 | 94.68 ± 12.62 | 311.37 ± 23.90 | 0.98 ± 0.09 |
| 30–39 | 52.20 ± 6.99 | 43.90 ± 4.72 | 82.63 ± 16.78 | 82.60 ± 6.99 | 307.88 ± 16.68 | 1.04 ± 0.07 |
| 40–49 | 46.21 ± 4.46 | 43.38 ± 4.28 | 78.65 ± 9.54 | 102.69 ± 13.34 | 342.90 ± 13.42 | 1.06 ± 0.04 |
| 50–59 | 45.54 ± 3.46 | 49.58 ± 3.81 | 84.13 ± 8.23 | 90.43 ± 4.52 | 382.29 ± 12.71 | 1.22 ± 0.03 |
| 60–69 | 35.54 ± 2.38 | 41.23 ± 1.96 | 74.64 ± 7.24 | 77.34 ± 4.22 | 345.32 ± 11.27 | 1.30 ± 0.04 |
| 70–79 | 30.17 ± 1.86 | 42.20 ± 2.37 | 60.95 ± 5.67 | 83.63 ± 5.25 | 394.28 ± 14.48 | 1.30 ± 0.04 |
| 80–89 | 29.46 ± 3.71 | 41.79 ± 3.18 | 51.91 ± 6.54 | 85.15 ± 5.09 | 380.51 ± 16.22 | 1.87 ± 0.15 |
| 90–99 | 19.50 ± 1.92 | 35.63 ± 3.77 | 36.69 ± 7.32 | 76.88 ± 5.27 | 349.84 ± 19.47 | 2.05 ± 0.14 |
| OUTCOME | ALT ± SD (U/L) | AST ± SD (U/L) | GGT ± SD (U/L) | ALP ± SD (U/L) | LDH ± SD (U/L) | AST/ALT Ratio |
| Dead | 33.59 ± 3.88 | 51.51 ± 4.71 | 64.43 ± 6.87 | 91.53 ± 5.97 | 439.72 ± 19.17 | 1.80 ± 0.07 |
| Survived | 38.88 ± 1.60 | 42.24 ± 1.29 | 70.80 ± 3.56 | 86.31 ± 2.77 | 352.73 ± 5.72 | 1.33 ± 0.04 |
| LINEAL CORRELATION TO AGE | |||||
|---|---|---|---|---|---|
| Pearson Coefficient | R2 | R | p Value (Lineal Correlation) | % Cases Represented by Correlation | |
| ALT | −0.234 * | 0.055 | 0.234 | 0.0001 | 23.4% |
| AST | −0.072 * | 0.005 | 0.072 | 0.046 | 7.2% |
| GGT | −0.151 * | 0.023 | 0.151 | 0.0001 | 15.1% |
| ALP | −0.088 * | 0.008 | 0.088 | 0.016 | 8.8% |
| LDH | 0.073 † | 0.005 | 0.073 | 0.042 | 7.3% |
| AST/ALT | 0.329 † | 0.108 | 0.329 | 0.0001 | 32.9% |
| PARAMETERS | SO2 | FERRITIN | FIBRINOGEN | PT Time | D Dimers |
| Total, ± SD | 95.45 ± 4.18% | 1145.05 ± 1222.16 ng/mL | 733.34 ± 209.13 mg/dL | 17.54 ± 49.66 s | 3160.68 ± 13,089.83 µg/L |
| Normal, total n (%) | 694 (93.41%) | 102 (18.85%) | 20 (3.39%) | 235 (30.36%) | 46 (9.02%) |
| Abnormal, n (%) | 49 (6.59%) (Decreased) | 439 (81.15%) (Increased) | 570 (96.61%) (Increased) | 539 (69.64%) (Decreased) | 464 (90.98%) (Increased) |
| Women,± SD (U/L) | 95.75 ± 0.21% | 804.43 ± 53.69 ng/mL | 695.63 ± 11.52 mg/dL | 18.24 ± 3.33 s | 3420.64 ± 850.14 µg/L |
| Men,± SD (U/L) | 95.19 ± 0.22% | 1439.87 ± 82.57 ng/mL | 763.25 ± 12.21 mg/dL | 16.97 ± 1.77 s | 2958.69 ± 791.39 µg/L |
| AGE (years) | SO2 (%) | FERRITIN (ng/mL) | FIBRINOGEN (mg/dL) | PT Time (s) | D Dimers (µg/L) |
| <19 | 95.50 ± 1.50 | 916.00 ± 823.00 | 537.00 ± 282.00 | 11.55 ± 0.05 | 3478.50 ± 2576.50 |
| 20–29 | 97.95 ± 0.41 | 734.20 ± 149.93 | 732.83 ± 70.06 | 12.96 ± 0.46 | 792.60 ± 140.35 |
| 30–39 | 96.97 ± 0.37 | 769.73 ± 209.10 | 634.26 ± 24.75 | 12.87 ± 0.17 | 470.63 ± 51.25 |
| 40–49 | 96.36 ± 0.30 | 1091.15 ± 165.12 | 784.40 ± 25.83 | 13.13 ± 0.14 | 1077.98 ± 451.12 |
| 50–59 | 96.24 ± 0.25 | 1309.02 ± 137.48 | 750.78 ± 17.60 | 13.44 ± 0.21 | 1515.38 ± 411.47 |
| 60–69 | 95.48 ± 0.33 | 1308.92 ± 111.77 | 766.80 ± 15.92 | 13.76 ± 0.41 | 3925.34 ± 1648.36 |
| 70–79 | 94.47 ± 0.41 | 1204.33 ± 100.18 | 749.51 ± 25.53 | 28.20 ± 9.19 | 5487.67 ± 2311.68 |
| 80–89 | 94.24 ± 0.44 | 903.75 ± 112.01 | 676.24 ± 15.96 | 19.84 ± 2.14 | 4873.30 ± 1719.06 |
| 90–99 | 94.91 ± 1.00 | 945.79 ± 196.733 | 664.33 ± 37.80 | 18.18 ± 1.78 | 4205.78 ± 1665.44 |
| OUTCOME | SO2 (%) | FERRITIN (ng/mL) | FIBRINOGEN (mg/dL) | PT Time (s) | D Dimers (µg/L) |
| Dead | 92.31 ± 0.57% | 1629.05 ± 214.96 ng/mL | 745.97 ± 19.26 mg/dL | 17.54 ± 1.38 s | 8082.74 ± 2570.75 µg/L |
| Survived | 96.07 ± 0.13% | 1081.26 ± 51.70 ng/mL | 730.91 ± 9.58 mg/dL | 17.54 ± 2.14 s | 2285.39 ± 497.74 µg/L |
| LINEAL CORRELATION TO O2 SATURATION | |||||
| Pearson Coefficient | R2 | R | p Value (Lineal Correlation) | % Cases Represented by Correlation | |
| AST | −0.072 * | 0.005 | 0.072 | 0.054 | 7.2% |
| LDH | −0.228 * | 0.052 | 0.228 | 0.0001 | 22.8% |
| AST/ALT | −0.106 * | 0.011 | 0.106 | 0.005 | 10.6% |
| LINEAL CORRELATION TO FERRITIN | |||||
| Pearson Coefficient | R2 | R | pValue (Lineal Correlation) | % Cases Represented by Correlation | |
| AST | 0.434 † | 0.188 | 0.434 | 0.0001 | 43.3% |
| LDH | 0.357 † | 0.127 | 0.357 | 0.0001 | 35.7% |
| AST/ALT | −0.079 * | 0.006 | 0.079 | 0.0001 | 7.9 |
| LINEAL CORRELATION TO D-DIMERS | |||||
| Pearson Coefficient | R2 | R | pValue (Lineal Correlation) | % Cases Represented by Correlation | |
| AST | 0.076 † | 0.006 | 0.076 | 0.09 | 7.6% |
| LDH | 0.365 † | 0.133 | 0.365 | 0.0001 | 36.5 |
| AST/ALT | 0.041 † | 0.002 | 0.041 | 0.361 | 4.1% |
| LINEAL CORRELATION TO FIBRINOGEN | |||||
| Pearson Coefficient | R2 | R | pValue (Lineal Correlation) | % Cases Represented by Correlation | |
| AST | 0.013 † | 0.011 | 0.104 | 0.013 | 10.4% |
| LDH | 0.152 † | 0.023 | 0.152 | 0.0001 | 15.2% |
| AST/ALT | −0.116 * | 0.014 | 0.116 | 0.005 | 11.6% |
| LINEAL CORRELATION TO PT TIME | |||||
| Pearson Coefficient | R2 | R | p Value (Lineal Correlation) | % Cases Represented by Correlation | |
| AST | 0.008 † | 0.0001 | 0.008 | 0.833 | 0.8% |
| LDH | 0.035 † | 0.001 | 0.035 | 0.334 | 3.5% |
| AST/ALT | 0.053 † | 0.003 | 0.053 | 0.145 | 5.3% |
Publisher’s Note: MDPI stays neutral with regard to jurisdictional claims in published maps and institutional affiliations. |
© 2021 by the authors. Licensee MDPI, Basel, Switzerland. This article is an open access article distributed under the terms and conditions of the Creative Commons Attribution (CC BY) license (http://creativecommons.org/licenses/by/4.0/).
Share and Cite
Benedé-Ubieto, R.; Estévez-Vázquez, O.; Flores-Perojo, V.; Macías-Rodríguez, R.U.; Ruiz-Margáin, A.; Martínez-Naves, E.; Regueiro, J.R.; Ávila, M.A.; Trautwein, C.; Bañares, R.; et al. Abnormal Liver Function Test in Patients Infected with Coronavirus (SARS-CoV-2): A Retrospective Single-Center Study from Spain. J. Clin. Med. 2021, 10, 1039. https://doi.org/10.3390/jcm10051039
Benedé-Ubieto R, Estévez-Vázquez O, Flores-Perojo V, Macías-Rodríguez RU, Ruiz-Margáin A, Martínez-Naves E, Regueiro JR, Ávila MA, Trautwein C, Bañares R, et al. Abnormal Liver Function Test in Patients Infected with Coronavirus (SARS-CoV-2): A Retrospective Single-Center Study from Spain. Journal of Clinical Medicine. 2021; 10(5):1039. https://doi.org/10.3390/jcm10051039
Chicago/Turabian StyleBenedé-Ubieto, Raquel, Olga Estévez-Vázquez, Vicente Flores-Perojo, Ricardo U. Macías-Rodríguez, Astrid Ruiz-Margáin, Eduardo Martínez-Naves, José R. Regueiro, Matías A. Ávila, Christian Trautwein, Rafael Bañares, and et al. 2021. "Abnormal Liver Function Test in Patients Infected with Coronavirus (SARS-CoV-2): A Retrospective Single-Center Study from Spain" Journal of Clinical Medicine 10, no. 5: 1039. https://doi.org/10.3390/jcm10051039
APA StyleBenedé-Ubieto, R., Estévez-Vázquez, O., Flores-Perojo, V., Macías-Rodríguez, R. U., Ruiz-Margáin, A., Martínez-Naves, E., Regueiro, J. R., Ávila, M. A., Trautwein, C., Bañares, R., Bosch, J., Cubero, F. J., & Nevzorova, Y. A. (2021). Abnormal Liver Function Test in Patients Infected with Coronavirus (SARS-CoV-2): A Retrospective Single-Center Study from Spain. Journal of Clinical Medicine, 10(5), 1039. https://doi.org/10.3390/jcm10051039

