Impact of Interferon-Based Therapy on Hepatitis C-Associated Rheumatic Diseases: A Nationwide Population-Based Cohort Study
Abstract
1. Introduction
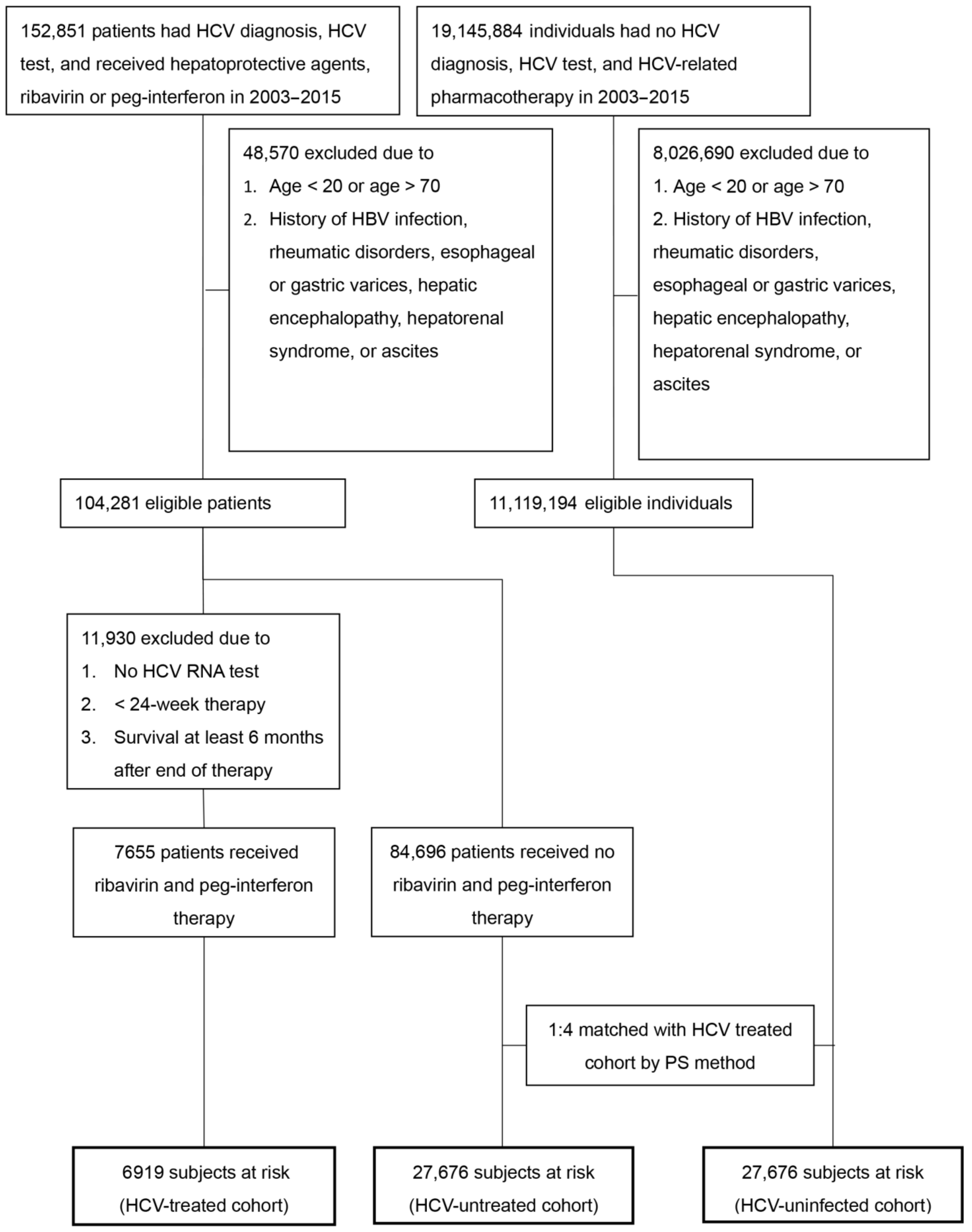
2. Methods
2.1. TNHIRD Samples and Measurements
2.2. Statistical Analysis
2.3. Ethics Approval and Consent to Participate
3. Results
3.1. Baseline Characteristics
3.2. Cumulative Incidences and Associated Factors of Rheumatic Diseases
3.3. Cumulative Incidences of Mortality.
4. Discussion
Supplementary Materials
Author Contributions
Funding
Institutional Review Board Statement
Informed Consent Statement
Acknowledgments
Conflicts of Interest
References
- Chang, M.L. Metabolic alterations and hepatitis C: From bench to bedside. World J. Gastroenterol. 2016, 22, 1461–1476. [Google Scholar] [CrossRef]
- Younossi, Z.M.; Henry, L.; Ong, P.J.; Tanaka, A.; Eguchi, Y.; Mizokami, M.; Lim, Y.-S.; Dan, Y.Y.; Yu, M.-L.; Stepanova, M. Systematic review with meta-analysis: Extrahepatic manifestations in chronic hepatitis C virus-infected patients in East Asia. Aliment. Pharmacol. Ther. 2019, 49, 644–653. [Google Scholar] [CrossRef]
- Sebastiani, M.; Giuggioli, D.; Colaci, M.; Fallahi, P.; Gragnani, L.; Antonelli, A.; Zignego, A.L.; Ferri, C. HCV-related rheumatic manifestations and therapeutic strategies. Curr. Drug Targets 2017, 18, 803–810. [Google Scholar] [CrossRef]
- Calvaruso, V.; Craxì, A. Immunological alterations in hepatitis C virus infection. World J. Gastroenterol. 2013, 19, 8916–8923. [Google Scholar] [CrossRef]
- Sayiner, Z.A.; Haque, U.; Malik, M.U.; Gurakar, A. Hepatitis C virus infection and its rheumatologic implications. Gastroenterol. Hepatol. 2014, 10, 287–293. [Google Scholar]
- Cacoub, P.; Renou, C.; Rosenthal, E.; Cohen, P.; Loury, I.; Loustaud-Ratti, V.; Yamamoto, A.-M.; Camproux, A.-C.; Hausfater, P.; Musset, L.; et al. Extrahepatic manifestations associated with hepatitis C virus infection. A prospective multicenter study of 321 patients. Medicine 2000, 79, 47–56. [Google Scholar] [CrossRef]
- Mohammed, R.H.; ElMakhzangy, H.I.; Gamal, A.; Mekky, F.; El Kassas, M.; Mohammed, N.; Hamid, A.M.; Esmat, G. Prevalence of rheumatologic manifestations of chronic hepatitis C virus infection among Egyptians. Clin.Rheumatol. 2010, 29, 1373–1380. [Google Scholar] [CrossRef]
- Palazzi, C.; Olivieri, I.; Cacciatore, P.; Pennese, E.; D’Amico, E. Difficulties in the differential diagnosis between primitive rheumatic diseases and hepatitis C virus-related disorders. Clin. ExpRheumatol. 2005, 23, 2–6. [Google Scholar]
- El Garf, A.; El Zorkany, B.; Gheith, R.; Sheba, H.; Abdel Moneim, G.; El Garf, K. Prevalence and clinical presentations of hepatitis C virus among patients admitted to the rheumatology ward. Rheumatol. Int. 2012, 32, 2691–2695. [Google Scholar] [CrossRef] [PubMed]
- MohdHanafiah, K.; Groeger, J.; Flaxman, A.D.; Wiersma, S.T. Global epidemiology of hepatitis C virus infection: New estimates of age-specific antibody to HCV seroprevalence. Hepatology 2013, 57, 1333–1342. [Google Scholar] [CrossRef] [PubMed]
- Ramos-Casals, M.; Muñoz, S.; Medina, F.; Jara, L.-J.; Rosas, J.; Calvo-Alen, J.; Brito-Zerón, P.; Forns, X.; Sánchez-Tapias, J.-M. Systemic autoimmune diseases in patients with hepatitis C virus infection: Characterization of 1020 cases (The HISPAMEC Registry). J. Rheumatol. 2009, 36, 1442–1448. [Google Scholar] [CrossRef] [PubMed]
- Pawlotsky, J.M.; Ben Yahia, M.; Andre, C.; Voisin, M.C.; Intrator, L.; Roudot-Thoraval, F.; Deforges, L.; Duvoux, C.; Zafrani, E.-S.; Duval, J.; et al. Immunological disorders in C virus chronic active hepatitis: A prospective case-control study. Hepatology 1994, 19, 841–848. [Google Scholar] [CrossRef] [PubMed]
- Loustaud-Ratti, V.; Riche, A.; Liozon, E.; Labrousse, F.; Soria, P.; Rogez, S.; Babany, G.; Delaire, L.; Denis, F.; Vidal, E. Prevalence and characteristics of Sjögren’s syndrome or Sicca syndrome in chronic hepatitis C virus infection: A prospective study. J. Rheumatol. 2001, 28, 2245–2251. [Google Scholar] [PubMed]
- Brito-Zerón, P.; Gheitasi, H.; Retamozo, S.; Bové, A.; Londoño, M.; Sánchez-Tapias, J.-M.; Caballero, M.; Kostov, B.; Forns, X.; Kaveri, S.V.; et al. How hepatitis C virus modifies the immunological profile of Sjögrensyndrome: Analysis of 783 patients. Arthritis Res.Ther. 2015, 17, 250. [Google Scholar] [CrossRef]
- Cacoub, P.; Poynard, T.; Ghillani, P.; Charlotte, F.; Olivi, M.; Piette, J.C.; Opolon, P. Extrahepatic manifestations of chronic hepatitis C. Arthritis Rheum. 1999, 42, 2204–2212. [Google Scholar] [CrossRef]
- Su, F.H.; Wu, C.S.; Sung, F.C.; Chang, S.N.; Su, C.T.; Shieh, Y.H.; Yeh, C.-C. Chronic hepatitis C virus infection is associated with the development of rheumatoid arthritis: A nationwide population-based study in taiwan. PLoS ONE 2014, 9, e113579. [Google Scholar] [CrossRef]
- Kudaeva, F.M.; Speechley, M.R.; Pope, J.E. A systematic review of viral exposures as a risk for rheumatoid arthritis. Semin. Arthritis Rheum. 2019, 48, 587–596. [Google Scholar] [CrossRef] [PubMed]
- Mercado, U.; Avendaño-Reyes, M.; Araiza-Casillas, R.; Díaz-Molina, R. Prevalance of antibodies against hepatitis C and B viruses in patients with systemic lupus erythematosus. Rev. Gastroenterol. Mex. 2005, 70, 399–401. (In Spanish) [Google Scholar]
- Vermehren, J.; Park, J.S.; Jacobson, I.M.; Zeuzem, S. Challenges and perspectives of direct antivirals for the treatment of hepatitis C virus infection. J. Hepatol. 2018, 69, 1178–1187. [Google Scholar] [CrossRef]
- Toyoda, H.; Kumada, T.; Tada, T.; Kiriyama, S.; Tanikawa, M.; Hisanaga, Y.; Kanamori, A.; Kitabatake, S.; Ito, T. Risk factors of hepatocellular carcinoma development in non-cirrhotic patients with sustained virologic response for chronic hepatitis C virus infection. J. Gastroenterol. Hepatol. 2015, 30, 1183–1189. [Google Scholar] [CrossRef]
- Kalaitzakis, E.; Gunnarsdottir, S.A.; Josefsson, A.; Björnsson, E. Increased risk for malignant neoplasms among patients with cirrhosis. Clin. Gastroenterol. Hepatol. 2011, 9, 168–174. [Google Scholar] [CrossRef]
- Hu, J.H.; Chen, M.Y.; Yeh, C.T.; Lin, H.S.; Lin, M.S.; Huang, T.J.; Chang, M.-L. Sexual dimorphic metabolic alterations in hepatitis C virus-infected patients: A community-based study in a hepatitis B/hepatitis C virus hyperendemic area. Medicine 2016, 95, e3546. [Google Scholar] [CrossRef] [PubMed]
- Chang, M.-L.; Lin, Y.-J.; Chang, C.-J.; Yeh, C.; Chen, T.-C.; Yeh, T.-S.; Lee, W.-C.; Yeh, C.-T. Occult and overt HBV co-infections independently predict postoperative prognosis in HCV-associated hepatocellular carcinoma. PLoS ONE 2013, 8, e64891. [Google Scholar] [CrossRef]
- Mathieu, A.; Paladini, F.; Vacca, A.; Cauli, A.; Fiorillo, M.T.; Sorrentino, R. The interplay between the geographic distribution of HLA-B27 alleles and their role in infectious and autoimmune diseases: A unifying hypothesis. Autoimmun. Rev. 2009, 8, 420–425. [Google Scholar] [CrossRef] [PubMed]
- Aksu, K.; Kabasakal, Y.; Sayiner, A.; Keser, G.; Oksel, F.; Bilgiç, A.; Gümüşdiş, G.; Doganavşargil, E. Prevalences of hepatitis A, B, C and E viruses in Behçet’s disease. Rheumatology 1999, 38, 1279–1281. [Google Scholar] [CrossRef] [PubMed]
- Ferri, C.; Sebastiani, M.; Antonelli, A.; Colaci, M.; Manfredi, A.; Giuggioli, D. Current treatment of hepatitis C-associated rheumatic diseases. Arthritis Res. Ther. 2012, 14, 215. [Google Scholar] [CrossRef]
- Noe, M.H.; Grewal, S.K.; Shin, D.B.; Ogdie, A.; Takeshita, J.; Gelfand, J.M. Increased prevalence of HCV and hepatic decompensation in adults with psoriasis: A population-based study in the United Kingdom. J. Eur. Acad. Dermatol. Venereol. 2017, 31, 1674–1680. [Google Scholar] [CrossRef]
- Chen, C.W.; Cheng, J.S.; Chen, T.D.; Le, P.H.; Ku, H.P.; Chang, M.L. The irreversible HCV-associated risk of gastric cancer following interferon-based therapy: A joint study of hospital-based cases and nationwide population-based cohorts. Therap. Adv. Gastroenterol. 2019, 12, 1756284819855732. [Google Scholar] [CrossRef]
- Yılmaz, N.; Karadağ, Ö.; Kimyon, G.; Yazıcı, A.; Yılmaz, S.; Kalyoncu, U.; Kaşifoğlu, T.; Temiz, H.; Baysal, B.; Tözün, N. Prevalence of hepatitis B and C infections in rheumatoid arthritis and ankylosing spondylitis: A multicenter countrywide study. Eur. J. Rheumatol. 2014, 1, 51–54. [Google Scholar] [CrossRef]
- Maillefert, J.F.; Muller, G.; Falgarone, G.; Bour, J.B.; Ratovohery, D.; Dougados, M.; Tavernier, C.; Breban, M. Prevalence of hepatitis C virus infection in patients with rheumatoid arthritis. Ann. Rheum. Dis. 2002, 61, 635–637. [Google Scholar] [CrossRef]
- Hsu, F.C.; Starkebaum, G.; Boyko, E.J.; Dominitz, J.A. Prevalence of rheumatoid arthritis and hepatitis C in those age 60 and older in a US population based study. J.Rheumatol. 2003, 30, 455–458. [Google Scholar]
- Cheng, Y.T.; Cheng, J.S.; Lin, C.H.; Chen, T.H.; Lee, K.C.; Chang, M.L. Rheumatoid factor and immunoglobulin M mark hepatitis C-associated mixed cryoglobulinaemia: An 8-year prospective study. Clin. Microbiol. Infect. 2020, 26, 366–372. [Google Scholar] [CrossRef] [PubMed]
- Tung, C.H.; Lai, N.S.; Li, C.Y.; Tsai, S.J.; Chen, Y.C.; Chen, Y.C. Risk of rheumatoid arthritis in patients with hepatitis C virus infection receiving interferon-based therapy: A retrospective cohort study using the Taiwanese national claims database. BMJ Open 2018, 8, e021747. [Google Scholar] [CrossRef]
- Rossi, C.; Jeong, D.; Wong, S.; McKee, G.; Butt, Z.A.; Buxton, J.; Wong, J.; Darvishian, M.; Bartlett, S.; Samji, H.; et al. Sustained virological response from interferon-based hepatitis C regimens is associated with reduced risk of extrahepatic manifestations. J. Hepatol. 2019, 71, 1116–1125. [Google Scholar] [CrossRef]
- Izumi, Y.; Komori, A.; Yasunaga, Y.; Hashimoto, S.; Miyashita, T.; Abiru, S.; Yatsuhashi, H.; Ishibashi, H.; Migita, K. Rheumatoid arthritis following a treatment with IFN-alpha/ribavirin against HCV infection. Intern Med. 2011, 50, 1065–1068. [Google Scholar] [CrossRef][Green Version]
- Pittau, E.; Bogliolo, A.; Tinti, A.; Mela, Q.; Ibba, G.; Salis, G.; Perpignano, G. Development of arthritis and hypothyroidism during alpha-interferon therapy for chronic hepatitis C. Clin. Exp. Rheumatol. 1997, 15, 415–419. [Google Scholar]
- Niewold, T.B.; Swedler, W.I. Systemic lupus erythematosus arising during interferon-alpha therapy for cryoglobulinemic vasculitis associated with hepatitis C. Clin. Rheumatol. 2005, 24, 178–181. [Google Scholar] [CrossRef]
- Wilson, L.E.; Widman, D.; Dikman, S.H.; Gorevic, P.D. Autoimmune disease complicating antiviral therapy for hepatitis C virus infection. Semin. Arthritis Rheum. 2002, 32, 163–173. [Google Scholar] [CrossRef]
- Cacoub, P.; Comarmond, C.; Desbois, A.C.; Saadoun, D. Rheumatologic manifestations of hepatitis C virus infection. Clin. Liver Dis. 2017, 21, 455–464. [Google Scholar] [CrossRef] [PubMed]
- Kida, T.; Umemura, A.; Kaneshita, S.; Sagawa, R.; Inoue, T.; Toyama, S.; Wada, M.; Kohno, M.; Oda, R.; Inaba, T.; et al. Effectiveness and safety of chronic hepatitis C treatment with direct-acting antivirals in patients with rheumatic diseases: A case-series. Mod. Rheumatol. 2020, 30, 1009–1015. [Google Scholar] [CrossRef] [PubMed]
- Safiri, S.; Kolahi, A.A.; Hoy, D.; Smith, E.; Bettampadi, D.; Mansournia, M.A.; Almasi-Hashiani, A.; Ashrafi-Asgarabad, A.; Moradi-Lakeh, M.; Qorbani, M.; et al. Global, regional and national burden of rheumatoid arthritis 1990–2017: A systematic analysis of the Global Burden of Disease study 2017. Ann. Rheum. Dis. 2019, 78, 1463–1471. [Google Scholar] [CrossRef]
- Nikiphorou, E.; De Lusignan, S.; Mallen, C.; Roberts, J.; Khavandi, K.; Bedarida, G.; Buckley, C.D.; Galloway, J.; Raza, K. Prognostic value of comorbidity indices and lung diseases in early rheumatoid arthritis: A UK population-based study. Rheumatology 2020, 59, 1296–1305. [Google Scholar] [CrossRef]
- Medina, G.; Vera-Lastra, O.; Peralta-Amaro, A.L.; Jiménez-Arellano, M.P.; Saavedra, M.A.; Cruz-Domínguez, M.P.; Jara, L.J. Metabolic syndrome, autoimmunity and rheumatic diseases. Pharmacol. Res. 2018, 133, 277–288. [Google Scholar] [CrossRef] [PubMed]
- Chung, W.-S.; Lin, C.-L.; Peng, C.-L.; Chen, Y.-F.; Lu, C.-C.; Sung, F.-C.; Kao, C.-H. Rheumatoid arthritis and risk of acute myocardial infarction—A nationwide retrospective cohort study. Int. J. Cardiol. 2013, 168, 4750–4754. [Google Scholar] [CrossRef] [PubMed]
- Hsu, C.S.; Lang, H.C.; Huang, K.Y.; Chao, Y.C.; Chen, C.L. Risks of hepatocellular carcinoma and cirrhosis-associated complications in patients with rheumatoid arthritis: A 10-year population-based cohort study in Taiwan. Hepatol. Int. 2018, 12, 531–543. [Google Scholar] [CrossRef]
- Tung, C.H.; Lai, N.S.; Lu, M.C.; Lee, C.C. Liver cirrhosis in selected autoimmune diseases: A nationwide cohort study in Taiwan. Rheumatol. Int. 2016, 36, 199–205. [Google Scholar] [CrossRef] [PubMed]
- Ciszek, M.; Kisiel, B.; Czerwinski, J.; Hryniewiecka, E.; Lewandowska, D.; Borczon, S.; Tlustochowicz, W.; Pączek, L. Kidney transplant recipients with rheumatic diseases: Epidemiological data from the Polish transplant registries 1998–2015. Transpl. Proc. 2018, 50, 1654–1657. [Google Scholar] [CrossRef] [PubMed]
- Akasbi, N.; Houssaini, T.S.; Tahiri, L.; Hachimi, H.; El Maaroufi, C.; El Youbi, R.; Arrayhani, M.; Harzy, T. Rheumatic complications of long term treatment with hemodialysis. Rheumatol. Int. 2012, 32, 1161–1163. [Google Scholar] [CrossRef] [PubMed]
- Emamifar, A.; Levin, K.; Jensen Hansen, I.M. Patients with newly diagnosed rheumatoid arthritis are at increased risk of diabetes mellitus: An observational cohort study. Acta Reumatol. Port. 2017, 42, 310–317. [Google Scholar] [PubMed]
- Eder, L.; Chandran, V.; Cook, R.; Gladman, D.D. The risk of developing diabetes mellitus in patients with psoriatic arthritis: A cohort study. J. Rheumatol. 2017, 44, 286–291. [Google Scholar] [CrossRef]
- Yu, M.-L.; Dai, C.-Y.; Huang, J.-F.; Hou, N.-J.; Lee, L.-P.; Hsieh, M.-Y.; Chiu, C.-F.; Lin, Z.-Y.; Chen, S.-C.; Wang, L.-Y.; et al. A randomised study of peginterferon and ribavirin for 16 versus 24 weeks in patients with genotype 2 chronic hepatitis C. Gut 2007, 56, 553–559. [Google Scholar] [CrossRef] [PubMed]
- Hsu, W.-F.; Chen, C.-Y.; Tseng, K.-C.; Lai, H.-C.; Kuo, H.-T.; Hung, C.-H.; Tung, S.-Y.; Wang, J.-H.; Chen, J.-J.; Lee, P.-L.; et al. Sustained virological response to hepatitis C therapy does not decrease the incidence of systemic lupus erythematosus or rheumatoid arthritis. Sci. Rep. 2020, 10, 5372. [Google Scholar] [CrossRef] [PubMed]



| (1) | (2) | (3) | p Values | |||
|---|---|---|---|---|---|---|
| Treated | Untreated | Uninfected | (1)–(2) | (1)–(3) | (2)–(3) | |
| n | 6919 | 27,676 | 27,676 | |||
| Gender, n, (%) | ||||||
| Male | 3832, (55.38) | 15,328, (55.38) | 15,328, (55.38) | 1 | 1 | 1 |
| Female | 3087, (44.62) | 12,348, (44.62) | 12,348, (44.62) | |||
| Age range (years), n, (%) | ||||||
| 20–39 | 1312, (18.96) | 5247, (18.96) | 5248, (18.96) | 1 | 1 | 1 |
| 40–49 | 1811, (26.17) | 7243, (26.17) | 7244, (26.17) | |||
| 50–59 | 2443, (35.31) | 9774, (35.32) | 9772, (35.31) | |||
| ≥60 | 1353, (19.55) | 5412, (19.55) | 5412, (19.55) | |||
| Area, n, (%) | ||||||
| city | 1482, (21.42) | 5928, (21.42) | 5928, (21.42) | 1 | 1 | 1 |
| township | 2174, (31.42) | 8696, (31.42) | 8696, (31.42) | |||
| rural area | 3263, (47.16) | 13,052, (47.16) | 13,052, (47.16) | |||
| CCI score, n, (%) | ||||||
| 0 | 3443, (49.76) | 13,774, (49.77) | 13,772, (49.76) | 0.9999 | 1 | 0.9998 |
| 1 | 2138, (30.90) | 8550, (30.89) | 8552, (30.90) | |||
| ≥2 | 1338, (19.34) | 5352, (19.34) | 5352, (19.34) | |||
| index_year, n, (%) | ||||||
| 2003–2006 | 3601, (52.05) | 14,404, (52.05) | 14,404, (52.05) | 0.9997 | 1 | 0.9992 |
| 2007–2009 | 2274, (32.87) | 9099, (32.88) | 9096, (32.87) | |||
| 2010–2012 | 1044, (15.09) | 4173, (15.08) | 4176, (15.09) | |||
| Baseline factor, n, (%) | ||||||
| Liver cirrhosis | 695, (10.04) | 1685, (6.09) | 9, (0.03) | <0.0001 | <0.0001 | <0.0001 |
| COPD | 775, (11.2) | 3160, (11.42) | 2548, (9.21) | 0.6114 | <0.0001 | <0.0001 |
| ESRD | 47, (0.68) | 722, (2.61) | 81, (0.29) | <0.0001 | <0.0001 | <0.0001 |
| DM | 1320, (19.08) | 6166, (22.28) | 5004, (18.08) | <0.0001 | 0.0549 | <0.0001 |
| Hypertension | 2011, (29.06) | 9485, (34.27) | 7422, (26.82) | <0.0001 | 0.0002 | <0.0001 |
| Dyslipidemia | 815, (11.78) | 5268, (19.03) | 4815, (17.4) | <0.0001 | <0.0001 | <0.0001 |
| Cardiovascular events | 165, (2.38) | 1059, (3.83) | 685, (2.48) | <0.0001 | 0.6642 | <0.0001 |
| Stroke | 227, (3.28) | 1369, (4.95) | 1407, (5.08) | <0.0001 | <0.0001 | 0.4593 |
| NAFLD | 724 (10.46) | 2425 (8.76) | 188 (0.68) | <0.0001 | <0.0001 | <0.0001 |
| ALD | 105 (1.52) | 653 (2.36) | 20 (0.07) | <0.0001 | <0.0001 | <0.0001 |
| Autoimmune liver disease | 0 | 0 | 0 | |||
| Rheumatic Disorders | (1) Treated | (2) Untreated | (3) Uninfected | p Values | |||
|---|---|---|---|---|---|---|---|
| (1)(2)(3) | (1)–(2) | (1)–(3) | (2)–(3) | ||||
| Number | 6919 | 27,676 | 27,676 | ||||
| Follow-up (years), mean ± SD | 4.61 ± 1.90 | 4.62 ± 1.07 | 4.89 ± 1.96 | ||||
| Event number, n (%) | 503 (7.27) | 2140 (7.73) | 1310 (4.73) | ||||
| Competing mortality, n (%) | 281 (4.06) | 3478 (12.57) | 1316 (4.10) | ||||
| Cumulative incidence, % (95% CI) | 14.95 (12.417–17.704) | 14.999 (13.585–16.479) | 9.535 (8.416–10.734) | <0.0001 | 0.8316 | <0.0001 | <0.0001 |
| Overall Mortality | (1) Treated | (2) Untreated | (3) Uninfected | p Values | |||
|---|---|---|---|---|---|---|---|
| (1)(2)(3) | (1)–(2) | (1)–(3) | (2)–(3) | ||||
| Number | 6919 | 27,676 | 27,676 | ||||
| Follow-up (years), mean ± SD | 4.82 ± 1.84 | 4.86 ± 2.03 | 5.03 ± 1.91 | ||||
| Event number, n (%) | 304 (4.39) | 3669 (13.26) | 1170 (4.23) | ||||
| Cumulative incidence, % (95% CI) | 13.662 (11.389–16.140) | 29.163 (27.218–31.133) | 9.99 (8.548–11.559) | <0.0001 | <0.0001 | 0.1796 | <0.0001 |
Publisher’s Note: MDPI stays neutral with regard to jurisdictional claims in published maps and institutional affiliations. |
© 2021 by the authors. Licensee MDPI, Basel, Switzerland. This article is an open access article distributed under the terms and conditions of the Creative Commons Attribution (CC BY) license (http://creativecommons.org/licenses/by/4.0/).
Share and Cite
Cheng, J.-S.; Lin, Y.-S.; Hu, J.-H.; Chang, M.-Y.; Ku, H.-P.; Chien, R.-N.; Chang, M.-L. Impact of Interferon-Based Therapy on Hepatitis C-Associated Rheumatic Diseases: A Nationwide Population-Based Cohort Study. J. Clin. Med. 2021, 10, 817. https://doi.org/10.3390/jcm10040817
Cheng J-S, Lin Y-S, Hu J-H, Chang M-Y, Ku H-P, Chien R-N, Chang M-L. Impact of Interferon-Based Therapy on Hepatitis C-Associated Rheumatic Diseases: A Nationwide Population-Based Cohort Study. Journal of Clinical Medicine. 2021; 10(4):817. https://doi.org/10.3390/jcm10040817
Chicago/Turabian StyleCheng, Jur-Shan, Yu-Sheng Lin, Jing-Hong Hu, Ming-Yu Chang, Hsin-Ping Ku, Rong-Nan Chien, and Ming-Ling Chang. 2021. "Impact of Interferon-Based Therapy on Hepatitis C-Associated Rheumatic Diseases: A Nationwide Population-Based Cohort Study" Journal of Clinical Medicine 10, no. 4: 817. https://doi.org/10.3390/jcm10040817
APA StyleCheng, J.-S., Lin, Y.-S., Hu, J.-H., Chang, M.-Y., Ku, H.-P., Chien, R.-N., & Chang, M.-L. (2021). Impact of Interferon-Based Therapy on Hepatitis C-Associated Rheumatic Diseases: A Nationwide Population-Based Cohort Study. Journal of Clinical Medicine, 10(4), 817. https://doi.org/10.3390/jcm10040817

