Induction Chemotherapy Followed by Pleurectomy Decortication and Hyperthermic Intraoperative Chemotherapy (HITHOC) for Early-Stage Epitheliod Malignant Pleural Mesothelioma—A Prospective Report
Abstract
1. Introduction
2. Materials and Methods
2.1. Pre-Operative Chemotherapy Protocol
2.2. Surgical Protocol
2.3. Adjuvant Therapies and Follow-Up
2.4. Statistical Analysis
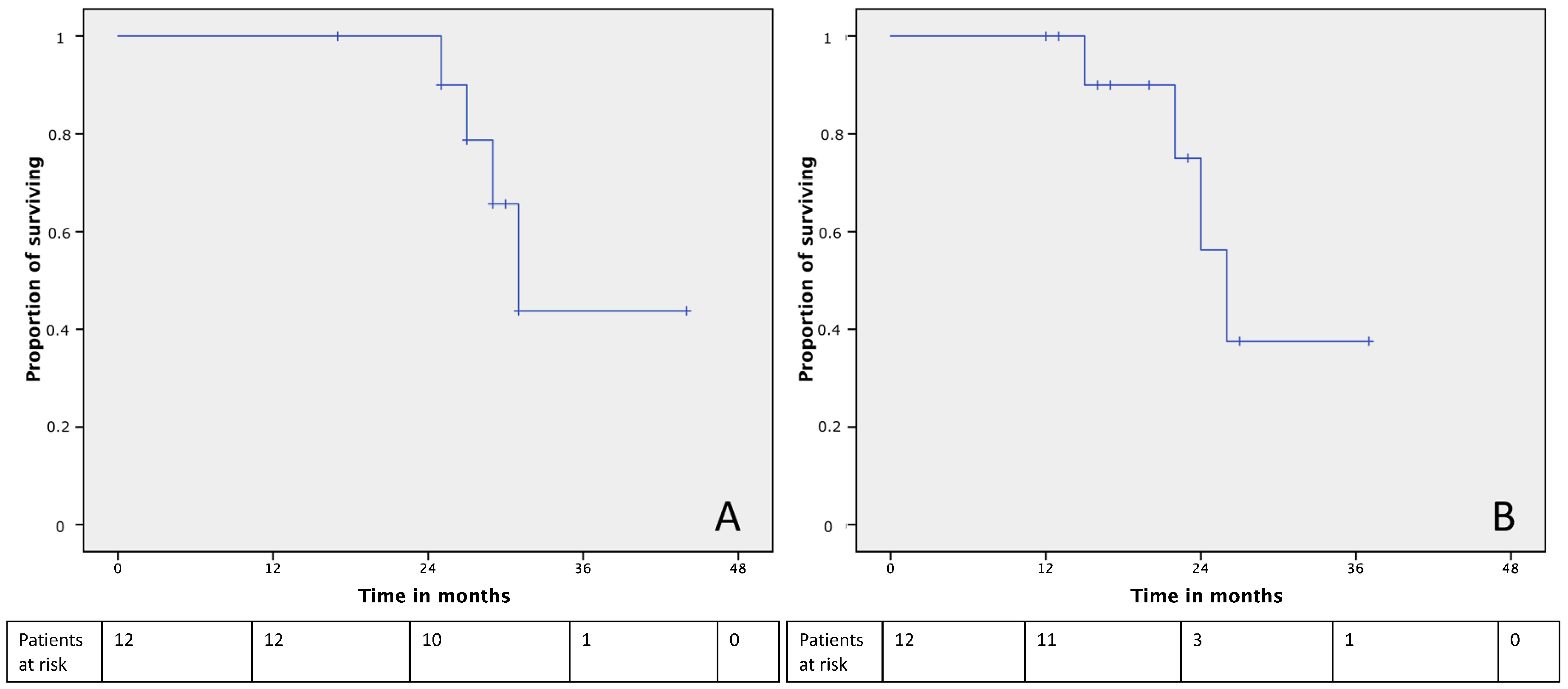
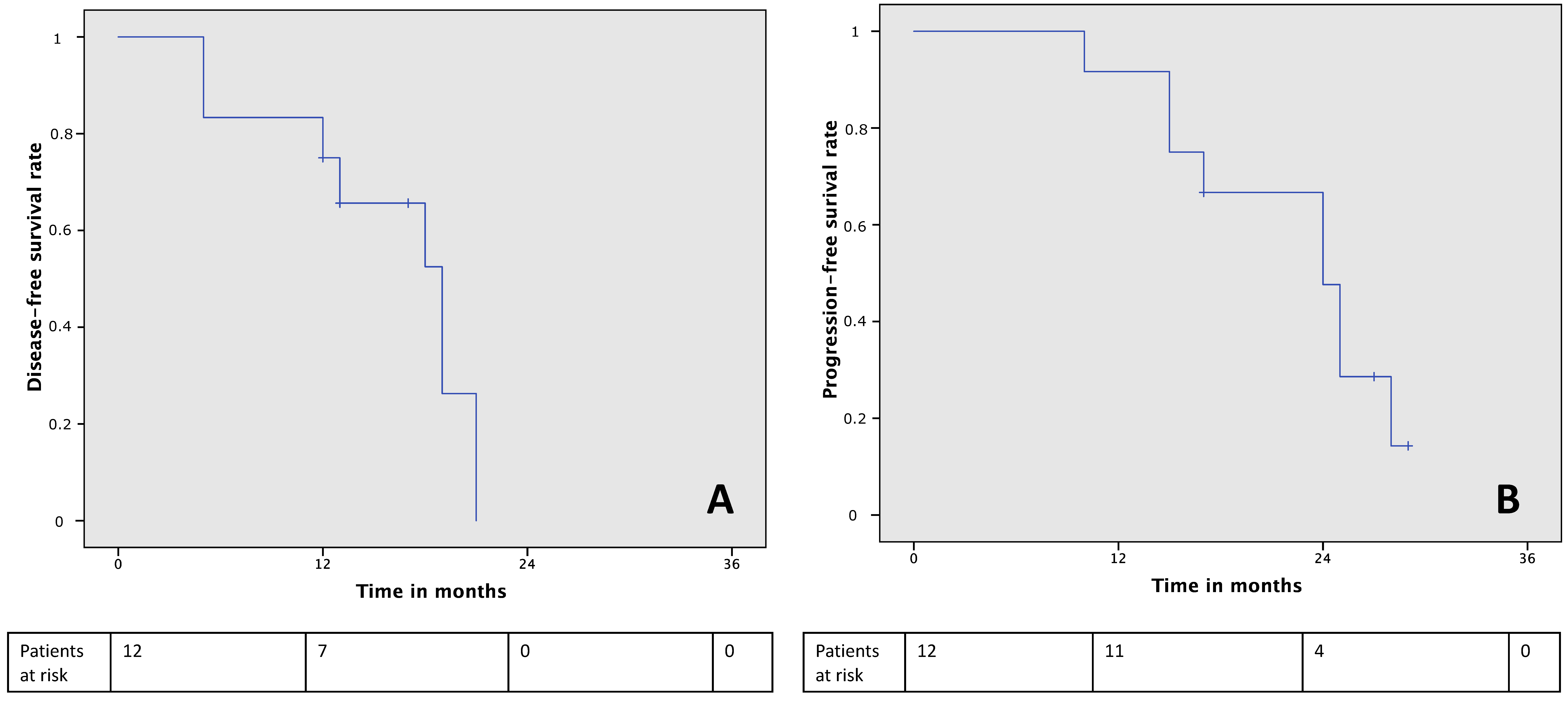
3. Results
4. Discussion
5. Conclusions
Author Contributions
Funding
Institutional Review Board Statement
Informed Consent Statement
Data Availability Statement
Conflicts of Interest
References
- Shersher, D.D.; Liptay, M.J. Multimodality treatment of pleural mesothelioma. Surg. Oncol. Clin. N. Am. 2013, 22, 345–355. [Google Scholar] [CrossRef]
- Vogelzang, N.K.; Rusthoven, J.J.; Symanowski, J.; Denham, C.; Kaukel, E.; Ruffie, P.; Gatzemeier, U.; Boyer, M.; Emri, S.; Manegold, C.; et al. Phase III study of pemetrexed in combination with cisplatin versus cisplatin alone in patients with malignant pleural mesothelioma. J. Clin. Oncol. 2003, 21, 2636–2644. [Google Scholar] [CrossRef]
- Shohdy, K.; Abdel-Rahman, O. The timing of chemotherapy in the management plan for medically operable early-stage malignant pleural mesothelioma. Expert. Rev. Respir. Med. 2019, 13, 579–584. [Google Scholar] [CrossRef]
- National Comprehensive Cancer Network. Malignant Pleural Mesothelioma (Version 2.2021). Available online: http://www.nccn.org (accessed on 27 January 2021).
- Kindler, H.L.; Ismaila, N.; Armato, S.G., 3rd; Bueno, R.; Hesdorffer, M.; Jahan, T.; Jones, C.M.; Miettinen, M.; Pass, H.; Rimner, A.; et al. Treatment of Malignant Pleural Mesothelioma: American Society of Clinical Oncology Clinical Practice Guideline. J. Clin. Oncol. 2018, 36, 1343–1373. [Google Scholar] [CrossRef] [PubMed]
- Scherpereel, A.; Opitz, I.; Berghmans, T.; Psallidas, I.; Glatzer, M.; Rigau, D.; Astoul, P.; Bölükbas, S.; Boyd, J.; Coolen, J.; et al. ERS/ESTS/EACTS/ESTRO guidelines for the management of malignant pleural mesothelioma. Eur. Respir. J. 2020, 55, 1900953. [Google Scholar] [CrossRef]
- Cao, C.; Tian, D.; Park, J.; Allan, J.; Pataky, K.A.; Yan, T.D. A systematic review and meta-analysis of surgical treatments for malignant pleural mesothelioma. Lung Cancer 2014, 83, 240–245. [Google Scholar] [CrossRef] [PubMed]
- Marulli, G.; Breda, C.; Fontana, P.; Ratto, G.B.; Leoncini, G.; Alloisio, M.; Infante, M.; Luzzi, L.; Paladini, P.; Oliaro, A.; et al. Pleurectomy-decortication in malignant pleural mesothelioma: Are different surgical techniques associated with different outcomes? Results from a multicentre study. Eur. J. Cardiothorac. Surg. 2017, 52, 63–69. [Google Scholar] [CrossRef] [PubMed]
- Kostron, A.; Friess, M.; Inci, I.; Hillinger, S.; Schneiter, D.; Gelpke, H.; Stahel, R.; Seifert, B.; Weder, W.; Opitz, I. Propensity matched comparison of extrapleural pneumonectomy and pleurectomy/decortication for mesothelioma patients. Interact Cardiovasc. Thorac. Surg. 2017, 24, 740–746. [Google Scholar] [CrossRef]
- Wolf, A.S.; Flores, R.M. Current Treatment of Mesothelioma: Extrapleural Pneumonectomy Versus Pleurectomy/Decortication. Thorac. Surg. Clin. 2016, 26, 359–375. [Google Scholar] [CrossRef]
- Rusch, V.; Baldini, E.H.; Bueno, R.; De Perrot, M.; Flores, R.; Hasegawa, S.; Klepetko, W.; Krug, L.; Lang-Lazdunski, L.; Pass, H.; et al. The role of surgical cytoreduction in the treatment of malignant pleural mesothelioma: Meeting summary of the International Mesothelioma Interest Group Congress, September 11–14, 2012, Boston, Mass. J. Thorac. Cardiovasc. Surg. 2013, 145, 909–910. [Google Scholar] [CrossRef]
- Sugarbaker, D.J.; Gill, R.R.; Yeap, B.Y.; Wolf, A.S.; DaSilva, M.C.; Baldini, E.H.; Bueno, R.; Richards, W.G. Hyperthermic intraoperative pleural cisplatin chemotherapy extends interval to recurrence and survival among low-risk patients with malignant pleural mesothelioma undergoing surgical macroscopic complete resection. J. Thorac. Cardiovasc. Surg. 2013, 145, 955–963. [Google Scholar] [CrossRef] [PubMed]
- Richards, W.G.; Zellos, L.; Bueno, R.; Jaklitsch, M.T.; Jänne, P.A.; Chirieac, L.R.; Yeap, B.Y.; Dekkers, R.J.; Hartigan, P.M.; Capalbo, L.; et al. Phase I to II study of pleurectomy/decortication and intraoperative intracavitary hyperthermic cisplatin lavage for mesothelioma. J. Clin. Oncol. 2006, 24, 1561–1567. [Google Scholar] [CrossRef]
- Friedberg, J.S.; Culligan, M.J.; Mick, R.; Stevenson, J.; Hahn, S.M.; Sterman, D.; Punekar, S.; Glatstein, E.; Cengel, K. Radical pleurectomy and intraoperative photodynamic therapy for malignant pleural mesothelioma. Ann. Thorac. Surg. 2012, 93, 1658–1665. [Google Scholar] [CrossRef]
- Lang-Lazdunski, L.; Bille, A.; Papa, S.; Marshall, S.; Lal, R.; Galeone, C.; Landau, D.; Steele, J.; Spicer, J. Pleurectomy/decortication, hyperthermic pleural lavage with povidone-iodine, prophylactic radiotherapy, and systemic chemotherapy in patients with malignant pleural mesothelioma: A 10-year experience. J. Thorac. Cardiovasc. Surg. 2015, 149, 558–565. [Google Scholar] [CrossRef] [PubMed]
- Ambrogi, M.C.; Bertoglio, P.; Aprile, V.; Chella, A.; Korasidis, S.; Fontanini, G.; Fanucchi, O.; Lucchi, M.; Mussi, A. Diaphragm and lung-preserving surgery with hyperthermic chemotherapy for malignant pleural mesothelioma: A 10-year experience. J. Thorac. Cardiovasc. Surg. 2018, 155, 1857–1866.e2. [Google Scholar] [CrossRef]
- International Association for the Study of Lung Cancer; Rami-Porta, R. (Eds.) Staging Manual in Thoracic Oncology, 2nd ed.Editorial Rx Press: North Fort Myers, FL, USA, 2016. [Google Scholar]
- Ceresoli, G.L.; Zucali, P.A.; Favaretto, A.G.; Grossi, F.; Bidoli, P.; Del Conte, G.; Ceribelli, A.; Bearz, A.; Morenghi, E.; Cavina, R.; et al. Phase II study of pemetrexed plus carboplatin in malignant pleural mesothelioma. J. Clin. Oncol. 2006, 24, 1443–1448. [Google Scholar] [CrossRef] [PubMed]
- Li, L.; Razak, A.R.; Hughes, A. Carboplatin and pemetrexed in the management of malignant pleural mesothelioma: A realistic treatment option? Lung Cancer 2009, 64, 207–210. [Google Scholar] [CrossRef] [PubMed]
- Rena, O.; Casadio, C. Extrapleural pneumonectomy for early stage malignant pleural mesothelioma: A harmful procedure. Lung Cancer 2012, 77, 151–155. [Google Scholar] [CrossRef] [PubMed]
- Flores, R.M.; Pass, H.I.; Seshan, V.E.; Dycoco, J.; Zakowski, M.; Carbone, M.; Bains, M.S.; Rusch, V.W. Extrapleural pneumonectomy versus pleurectomy/decortication in the surgical management of malignant pleural mesothelioma: Results in 663 patients. J. Thorac. Cardiovasc. Surg. 2008, 135, 620–626.e3. [Google Scholar] [CrossRef]
- Treasure, T.; Lang-Lazdunski, L.; Waller, D.; Bliss, J.M.; Tan, C.; Entwisle, J.; Snee, M.; O’Brien, M.; Thomas, G.; Senan, S.; et al. Extra-pleural pneumonectomy versus no extra-pleural pneumonectomy for patients with malignant pleural mesothelioma: Clinical outcomes of the Mesothelioma and Radical Surgery (MARS) randomised feasibility study. Lancet Oncol. 2011, 12, 763–772. [Google Scholar] [CrossRef]
- Kotecha, R.; Tonse, R.; Rubens, M.; Appel, H.; Albrecht, F.; Kaywin, P.; Alley, E.W.; Tom, M.C.; Mehta, M.P. Meta-Analysis of Survival and Development of a Prognostic Nomogram for Malignant Pleural Mesothelioma Treated with Systemic Chemotherapy. Cancers 2021, 13, 2186. [Google Scholar] [CrossRef] [PubMed]
- Armato, S.G., III; Nowak, A.K. Revised Modified Response Evaluation Criteria in Solid Tumors for Assessment of Response in Malignant Pleural Mesothelioma (Version 1.1). J. Thorac. Oncol. 2018, 13, 1012–1021. [Google Scholar] [CrossRef] [PubMed]
- Waller, D.A.; Opitz, I.; Bueno, R.; Van Schil, P.; Cardillo, G.; Harpole, D.; Adusumilli, P.S.; De Perrot, M. Divided by an ocean of water but united in an ocean of uncertainty: A transatlantic review of mesothelioma surgery guidelines. Eur. J. Cardiothorac. Surg. 2021, 59, 8–11. [Google Scholar] [CrossRef] [PubMed]
- Weder, W.; Stahel, R.A.; Bernhard, J.; Bodis, S.; Vogt, P.; Ballabeni, P.; Lardinois, D.; Betticher, D.; Schmid, R.; Stupp, R.; et al. Multicenter trial of neo-adjuvant chemotherapy followed by extrapleural pneumonectomy in malignant pleural mesothelioma. Ann. Oncol. 2007, 18, 1196–1202. [Google Scholar] [CrossRef]
- Verma, V.; Ahern, C.A.; Berlind, C.G.; Lindsay, W.D.; Sharma, S.; Shabason, J.; Culligan, M.J.; Grover, S.; Friedberg, J.S. Simone CB 2nd. National Cancer Database Report on Pneumonectomy Versus Lung-Sparing Surgery for Malignant Pleural Mesothelioma. J. Thorac. Oncol. 2017, 12, 1704–1714. [Google Scholar] [CrossRef]
- Van Schil, P.E.; Baas, P.; Gaafar, R.; Maat, A.P.; Van de Pol, M.; Hasan, B.; Klomp, H.M.; Abdelrahman, A.M.; Welch, J.; van Meerbeeck, J.P. Trimodality therapy for malignant pleural mesothelioma: Results from an EORTC phase II multicentre trial. Eur. Respir. J. 2010, 36, 1362–1369. [Google Scholar] [CrossRef] [PubMed]
- Raskin, J.; Surmont, V.; Cornelissen, R.; Baas, P.; van Schil, P.E.Y.; van Meerbeeck, J.P. A randomized phase II study of pleurectomy/decortication preceded or followed by (neo-)adjuvant chemotherapy in patients with early stage malignant pleural mesothelioma (EORTC 1205). Transl. Lung Cancer Res. 2018, 7, 593–598. [Google Scholar] [CrossRef]
- van Ruth, S.; Baas, P.; Haas, R.L.; Rutgers, E.J.; Verwaal, V.J.; Zoetmulder, F.A. Cytoreductive surgery combined with intraoperative hyperthermic intrathoracic chemotherapy for stage I malignant pleural mesothelioma. Ann. Surg. Oncol. 2003, 10, 176–182. [Google Scholar] [CrossRef]
- Ried, M.; Potzger, T.; Braune, N.; Neu, R.; Zausig, Y.; Schalke, B.; Diez, C.; Hofmann, H.S. Cytoreductive surgery and hyperthermic intrathoracic chemotherapy perfusion for malignant pleural tumours: Perioperative management and clinical experience. Eur. J. Cardiothorac. Surg. 2013, 43, 801–807. [Google Scholar] [CrossRef][Green Version]
- Burt, B.M.; Richards, W.G.; Lee, H.S.; Bartel, S.; Dasilva, M.C.; Gill, R.R.; Jaklitsch, M.T.; Johnson, B.E.; Swanson, S.J.; Bueno, R.; et al. A Phase I Trial of Surgical Resection and Intraoperative Hyperthermic Cisplatin and Gemcitabine for Pleural Mesothelioma. J. Thorac. Oncol. 2018, 13, 1400–1409. [Google Scholar] [CrossRef] [PubMed]


| Variable | Median or Number (%) | Range |
|---|---|---|
| Age | 67.5 | 47–78 |
| Sex male | 6 (50%) | |
| BMI | 25.5 | 22–31 |
| Asbesto expusure | 9 (75%) | |
| PS ECOG | ||
| 0 | 9 (75%) | |
| 1 | 3 (25%) | |
| CCI index | 4 | 2–7 |
| MPM subtype | ||
| Epithelioid | 12 (100%) | |
| Pre-op FEV1% | 89 | 68–111 |
| Pre-op FVC% | 90.5 | 75–126 |
| Pre-op DLCO% | 70.5 | 48–99 |
| Pre-op RBC (×1012/L) | 4.01 | 3.52–5.4 |
| Post-op RBC (×1012/L) | 3.42 | 2.76–5.2 |
| Pre-op Hb (g/dL) | 12.35 | 9.9–14.6 |
| Post-op Hb (g/dL) | 10.9 | 8.8–13.6 |
| Pre-op WBC (×109/L) | 5.83 | 4.27–8.53 |
| PLT pre (×109/L) | 238 | 114–346 |
| Pre-op Creatinine (mg/dL) | 0.82 | 0.62–1.13 |
| Post-op Creatinine (mg/dL) | 0.78 | 0.56–1.3 |
| Pre-op eGFR | 93.5 | 75–134 |
| Post-op eGFR | 91 | 76–120 |
| Variable | n (%) | Median (Range) |
|---|---|---|
| Side | ||
| Right | 8 (66.6%) | |
| Left | 4 (33.3%) | |
| Structures clinically involved | ||
| P | 4 (33.3%) | |
| P, D | 3 (25%) | |
| P, V | 2 (16.6%) | |
| P, V, D | 1 (8.4%) | |
| P, V, D, Pe | 2 (16.6%) | |
| Staging TNM | ||
| cT1N0M0 | 5 (41.6%) | |
| cT2N0M0 | 6 (50%) | |
| cT3N0M0 | 1 (8.4%) | |
| Clinical stage | ||
| IA | 5 (41.6%) | |
| IB | 7 (58.4%) | |
| Type of NAC | ||
| CDDP + pemetrexed | 5 (41.6%) | |
| CBDCA + pemetrexed | 7 (58.4%) | |
| Type of surgery/structures resected | ||
| P/D | 6 (50%) | |
| eP/D diaphragm | 3 (25%) | |
| eP/D pericardium | 2 (16.6%) | |
| eP/D diaphragm+pericardium | 1 (8.4%) | |
| Cisplatin dosage | 150 mg/mq | 100–150 mg/mq |
| Pathological involvement | ||
| CR | 1 (8.4%) | |
| Major pathological response, P | 1 (8.4%) | |
| Major pathological response, V | 1 (8.4%) | |
| P, V | 1 (8.4%) | |
| P, V, D | 2 (16.6%) | |
| P, V, D, Pe | 2 (16.6%) | |
| P, V, lung, ln5 | 1 (8.4%) | |
| P, V, D, Pe, lung | 2 (16.6%) | |
| P, V, D, lung, pericardial fat | 1 (8.4%) | |
| pTNM | ||
| CR | 1 (8.4%) | |
| pT1N0M0 | 3 (25%) | |
| pT3N0M0 | 7 (58.4%) | |
| pT3N1M0 | 1 (8.4%) | |
| Pathological stage | ||
| CR | 1 (8.4%) | |
| IA | 3 (25%) | |
| IB | 7 (58.4%) | |
| IIIA | 1 (8.4%) | |
| ICU stay | 2 days | 1–7 days |
| Hospital stay | 10.5 days | 6–20 days |
| Complications in detail | ||
| Blood transfusion | 5 (58.4%) | |
| Prolonged air leak | 3 (25%) | |
| Chylothorax | 3 (25%) | |
| Bleeding requiring surgery | 1 (8.4%) | |
| Post-operative re-habilitation | 2 (16.6%) | |
| Chronic pain | 1 (8.4%) | |
| Recurrence | ||
| No recurrence | 3 (25%) | |
| Local | 6 (50%) | |
| Local and distant | 3 (25%) |
Publisher’s Note: MDPI stays neutral with regard to jurisdictional claims in published maps and institutional affiliations. |
© 2021 by the authors. Licensee MDPI, Basel, Switzerland. This article is an open access article distributed under the terms and conditions of the Creative Commons Attribution (CC BY) license (https://creativecommons.org/licenses/by/4.0/).
Share and Cite
Bongiolatti, S.; Mazzoni, F.; Salimbene, O.; Caliman, E.; Ammatuna, C.; Comin, C.E.; Antonuzzo, L.; Voltolini, L. Induction Chemotherapy Followed by Pleurectomy Decortication and Hyperthermic Intraoperative Chemotherapy (HITHOC) for Early-Stage Epitheliod Malignant Pleural Mesothelioma—A Prospective Report. J. Clin. Med. 2021, 10, 5542. https://doi.org/10.3390/jcm10235542
Bongiolatti S, Mazzoni F, Salimbene O, Caliman E, Ammatuna C, Comin CE, Antonuzzo L, Voltolini L. Induction Chemotherapy Followed by Pleurectomy Decortication and Hyperthermic Intraoperative Chemotherapy (HITHOC) for Early-Stage Epitheliod Malignant Pleural Mesothelioma—A Prospective Report. Journal of Clinical Medicine. 2021; 10(23):5542. https://doi.org/10.3390/jcm10235542
Chicago/Turabian StyleBongiolatti, Stefano, Francesca Mazzoni, Ottavia Salimbene, Enrico Caliman, Carlo Ammatuna, Camilla E. Comin, Lorenzo Antonuzzo, and Luca Voltolini. 2021. "Induction Chemotherapy Followed by Pleurectomy Decortication and Hyperthermic Intraoperative Chemotherapy (HITHOC) for Early-Stage Epitheliod Malignant Pleural Mesothelioma—A Prospective Report" Journal of Clinical Medicine 10, no. 23: 5542. https://doi.org/10.3390/jcm10235542
APA StyleBongiolatti, S., Mazzoni, F., Salimbene, O., Caliman, E., Ammatuna, C., Comin, C. E., Antonuzzo, L., & Voltolini, L. (2021). Induction Chemotherapy Followed by Pleurectomy Decortication and Hyperthermic Intraoperative Chemotherapy (HITHOC) for Early-Stage Epitheliod Malignant Pleural Mesothelioma—A Prospective Report. Journal of Clinical Medicine, 10(23), 5542. https://doi.org/10.3390/jcm10235542

