Abstract
Introduction: Cardiac resynchronization therapy (CRT) is an established therapy for patients with heart failure with reduced ejection fraction (HFrEF). Women appear to respond differently to CRT, yet it remains unclear whether this is inherent to the female sex itself, or due to other patient characteristics. In this study, we aimed to investigate sex differences in response to CRT. Methods: This is a post-hoc analysis of a prospective, multicenter study (MARC) in the Netherlands, studying HFrEF patients with an indication for CRT according to the guidelines (n = 240). Primary outcome measures are left ventricular ejection fraction (LVEF) and left ventricular end systolic volume (LVESV) at 6 months follow-up. Results were validated in an independent retrospective Belgian cohort (n = 818). Results: In the MARC cohort 39% were women, and in the Belgian cohort 32% were women. In the MARC cohort, 70% of the women were responders (defined as >15% decrease in LVESV) at 6 months, compared to 55% of men (p = 0.040) (79% vs. 67% in the Belgian cohort, p = 0.002). Women showed a greater decrease in LVESV %, LVESV indexed to body surface area (BSA) %, and increase in LVEF (all p < 0.05). In regression analysis, after adjustment for BSA and etiology, female sex was no longer associated with change in LVESV % and LVESV indexed to BSA % and LVEF % (p > 0.05 for all). Results were comparable in the Belgian cohort. Conclusions: Women showed a greater echocardiographic response to CRT at 6 months follow-up. However, after adjustment for BSA and ischemic etiology, no differences were found in LV-function measures or survival, suggesting that non-ischemic etiology is responsible for greater response rates in women treated with CRT.
1. Introduction
Cardiac resynchronization therapy (CRT) is an established therapy for patients with heart failure with reduced ejection fraction (HFrEF) and ventricular conduction disturbance, which aims to improve cardiac function through resynchronizing electrical activation. CRT has been proven to be an effective treatment option as it improves quality of life, reduces heart failure (HF), hospitalization, and improves survival [1]. While numerous metrics exist to describe response to CRT, a striking observation is that not all patients exhibit the same left ventricular reverse remodeling response after implantation of CRT [2]. Several factors have been associated with different left ventricular reverse remodeling following CRT, including etiology of HF, QRS morphology, duration and area, and female sex [3,4,5,6,7]. Multiple studies have shown a greater response to CRT in women compared to men [6,8]. Women generally have a smaller body surface area (BSA), which may also be a driver for differences in response to heart failure therapy between women and men, reflected not only by different response to CRT treatment but for example also differences in optimal HF medication dosages [9]. It remains unclear whether the sex-related differences in the left ventricular reverse remodeling response to CRT is truly caused by female sex itself, or whether sex is a marker of another characteristic such as difference in BSA, LV size, or HF etiology [10,11]. We therefore aimed to investigate sex differences in reverse remodeling response to CRT using a thoroughly phenotyped, prospectively collected cohort (Markers and Response to CRT (MARC)), and validated this in a larger retrospective Belgian cohort. In order to test the accuracy of the findings of the index MARC cohort, a larger Belgian cohort was used as validation cohort. In addition, we aimed to study sex differences in other outcome measures to CRT as well, namely functional, clinical, and biochemical measures of response. We hypothesized that sex differences in response to CRT are mainly determined by the ischemic etiology of HF, classified by a medical history of myocardial infarction of revascularization.
2. Methods
2.1. Study Participant and Data Collection
The Markers and Response to CRT (MARC) study is a prospective, multicenter, observational study performed in the Netherlands, designed to identify a set of biomarkers that can predict the magnitude of reverse left ventricular (LV) remodeling after CRT. A total number of 240 patients were included in six participating centers between February 2012 and November 2013, all of which had a de novo indication for CRT according to the current American Heart Association (AHA) and European Society of Cardiology (ESC) guidelines [12,13]. This includes patients with a left bundle branch block (LBBB) and non-specific intraventricular conduction delay (IVCD), but without right bundle branch block, significant atrio-ventricular (AV) conduction delays, or recent episodes of atrial fibrillation (AF). Extensive data was collected in the MARC study, including clinical, electrocardiographic, and echocardiographic measures, as well as serum biomarkers were assessed. In both the MARC and the Belgian cohort, patients were categorized as having an ischemic cardiomyopathy if there was a history of myocardial infarction or revascularization [14]. All electrocardiographic and echocardiographic measures were assessed in the appropriate core lab for uniform and consistent assessments. Vectocardiographic measures (VCG) were synthesized from pre-procedural 12-leads electrocardiograms (ECGs). One month after implantation, all patients received echocardiographically guided optimization of atrio-ventricular and ventriculo-ventricular delays, as well as programming, of device settings to rate response unless good chronotropic response was observed at device check-up. More elaborate methods and the primary results of the MARC study have been published previously [5]. Data was collected at time of CRT implantation (baseline), 6 months, and 12 months. This study was approved by the institutional review boards of all participating centers (METc 2011/201, ethical approval received on 14 November 2011). Written consent has been given by all study participants.
For the Belgian cohort, consecutive patients with HFrEF undergoing CRT-implantation in compliance with the ESC guidelines in a single tertiary care center (Ziekenhuis Oost-Limburg, Genk, Belgium) between October 2008 and September 2016 were evaluated retrospectively. Unlike the MARC cohort, patients with AF were not excluded. Patients underwent a prespecified follow-up and post-CRT optimization protocol, which has been published previously [15]. In brief, all patients received standardized optimization of HF care and echocardiographically guided device optimization. Patients received their first follow-up at 6 weeks and the second follow-up at 6 months. Echocardiographic measures, as well as a cycloergometric bicycle test with maximum oxygen uptake (VO2 max) were assessed during the 6-month follow-up visit. Given the retrospective nature of the study design, the need for written informed consent was waived by the local ethics committee.
2.2. Response Measures
Our primary outcome measures were changes in echocardiographic markers of response, as well as biomarker and functional markers of response from baseline to 6 months after CRT implantation. More specifically, we studied absolute change and the % change in left ventricular ejection fraction (LVEF), left ventricular end systolic volume (LVESV), the % change in LVESV indexed to BSA, the number of responders (patients with >15% decrease in LVESV), the absolute and % change in N-terminal pro-B-type Natriuretic Peptide (NT-proBNP), the New York Heart Association (NYHA) class at 6 months, the change in NYHA when dichotomised into class I/II and III/IV and the 6 min walking distance (6MWD). In the Belgian cohort VO2 max was used instead of the 6MWD.
2.3. Survival
Our long-term outcome measure was all-cause mortality for the MARC cohort (maximum follow-up period 12 months) and a combined outcome of heart failure hospitalization and all-cause mortality for the Belgian cohort (maximum follow-up period 112 months).
2.4. Data Analyses
Continuous data are presented as mean ± standard deviation (SD) when normally distributed, and as median with interquartile range (IQR) when not normally distributed. Categorical data are presented as number (N) and percentages (%). Differences between women and men at baseline and at 6 months follow-up were analyzed using Student T-test, chi-square test, or Mann–Whitney U test, where appropriate. Associations between sex and response measures at 6 months were assessed using linear regression. Variables were log-transformed if not normally distributed. Multivariable adjustment was performed for body surface area and ischemic etiology (classified by medical history of myocardial infarction or revascularization). For the response variable decrease in LVESV >15%, logistic regression was used (yielding Odds Ratio (OR) with 95% confidence intervals (95% CI)). For the entire cohort a forward selection model was used, adding BSA and etiology to sex.
Additionally, the above analyses were repeated in the non-ischemic subgroups of both cohorts. We used Cox regression analysis to assess the association between sex and clinical outcomes. In multivariable Cox regression analyses we adjusted for BSA and etiology. Survival curves are displayed using Kaplan–Meier curves and compared with log-rank testing. Statistical analyses were performed using R.Studio version 3.6.3. A two-tailed p value of <0.05 was considered statistically significant.
3. Results
3.1. Patient Characteristics
In the MARC study, 240 patients were included (39% women), mean age was 66.5 ± 9.7 years, and median LVEF 26 (20–32)%. Baseline characteristics of the MARC cohort are described in Table 1. In brief, women more often had non-ischemic etiology (84% vs. 40% in men), larger inter ventricular mechanical delay (IVMD), more apical rocking (79% vs. 51% in men), and LBBB morphology (74% vs. 52% in men), all p values ≤ 0.005. QRS area and duration were similar for both sexes. There was no difference in NT-proBNP or QRS area. Medication did not differ at baseline, except for statin use which was lower in women (40% in women vs. 68% in men, p < 0.001). Beta blocker use between women and men did not differ at 6 months follow-up in both the MARC and Belgian cohort (data not shown).
Table 1.
Baseline characteristics based on sex.
The non-ischemic subgroup of the MARC cohort consisted of 132 patients (55% women). eGFR was significantly lower in non-ischemic women than in non-ischemic men, whereas Galectin-3 levels were higher in women (all p ≤ 0.011, Table 2). Similar to the entire cohort, the use of statins was less frequent in women compared to men with non-ischemic etiology (p = 0.02). QRS area, QRS morphology, and QRS duration did not differ between the sexes.
Table 2.
Baseline table and response measures at 6 months follow-up of patients with non-ischemic etiology.
In the Belgian cohort (n = 818), 32% were women, mean age was 72.0 ± 10.3 years, and median LVEF 30% (25–35)%. Baseline characteristics for the Belgian cohort are shown in Table 1. Women more frequently had a non-ischemic etiology and LBBB pattern, as well as poorer renal function (all p values < 0.020).
The non-ischemic subgroup of the Belgian cohort consisted of 468 patients (44% women, Table 2). Frequency of LBBB and QRS duration did not differ between women and men. Creatinine and eGFR was significantly lower in women (all p < 0.005).
3.2. Response Measures at 6 Months
In the entire MARC cohort, 70% of the women were responders (defined as >15% decrease in LVESV) at 6 months, compared to 55% of the men (p = 0.041, Table 3). In univariable analyses, women showed a greater decrease in LVESV (%) and LVESV indexed to BSA (%), compared to men (all p < 0.05). Women also significantly improved more in 6MWD and showed a greater decrease in NT-proBNP (all p < 0.050). When adjusted for BSA and etiology however, the differences in change in LVESV (%) and LVESV indexed to BSA (%) lost significance. The improvements in 6MWD and NT-proBNP (%) remained significantly greater for women (Table 4). In the non-ischemic subgroup of the MARC cohort, the response measures at 6 months did not differ between women and men (Table 2).
Table 3.
Response measures at 6 months follow-up.
Table 4.
Association of sex and response measures at 6 months follow-up.
In the Belgian cohort, the number of women who responded was higher (79% vs. 67% of men (p = 0.002), Table 3). Similar to the MARC cohort, in the univariable analyses, change in LVEF (%) and LVESV (%) was greater in women than in men (Table 3). Significance for change in LVEF (%) was lost after adjustment for BSA and etiology, but not for change in LVESV (%). Results remained unchanged after additional adjustment for apical rocking (Table 4). For the change in LVESV and LVESVi, the β’s in the multivariable analyses were greater for apical rocking than for ICM (β 12.21 vs. 11.69 for LVESV, and 12.76 vs. 11.66 LVESVi, respectively, all p values ≤ 0.001). In the non-ischemic subgroup of the Belgian cohort, women showed a significantly greater decrease in LVESV compared to men, yet no difference was observed for other response measures (Table 2).
Adjustment for height instead of BSA for change in LVEF (%) and LVESV (%) yielded similar findings (data not shown). Also, eGFR declined significantly in the MARC cohort from 71.4 (54–84.9) to 67.6 (55–80.7) (p value < 0.001), and remained unchanged in the Belgian cohort (eGFR 59 (41.7–74.7) at baseline and 54 (39–68.3) at 6 months follow-up, p value = 0.875).
3.3. Sex as Determinant of Response Defined as Decrease in LVESV >15%
When defining response to CRT as a decrease in LVESV >15%, women in the MARC cohort had significantly higher odds of responding compared to men in the univariable analysis (OR (95% CI) 1.92 (1.08–3.49), p = 0.030). After adjustment for BSA, and for BSA and etiology combined, this association was no longer significant (Table 4). In the non-ischemic subgroup, women did not have significantly greater odds of responding compared to men (p = 0.538).
In the Belgian cohort, women also had higher odds of responding, defined as a decrease in LVESV >15%, in univariable analysis (OR (95% CI) 1.82 (1.26–2.62), p = 0.002). Significance remained after adjustment for BSA, but was lost after adjustment for BSA and etiology (Table 4). In the non-ischemic subgroup of the Belgian cohort, sex was not a significant determinant of response (p = 0.190).
3.4. Survival
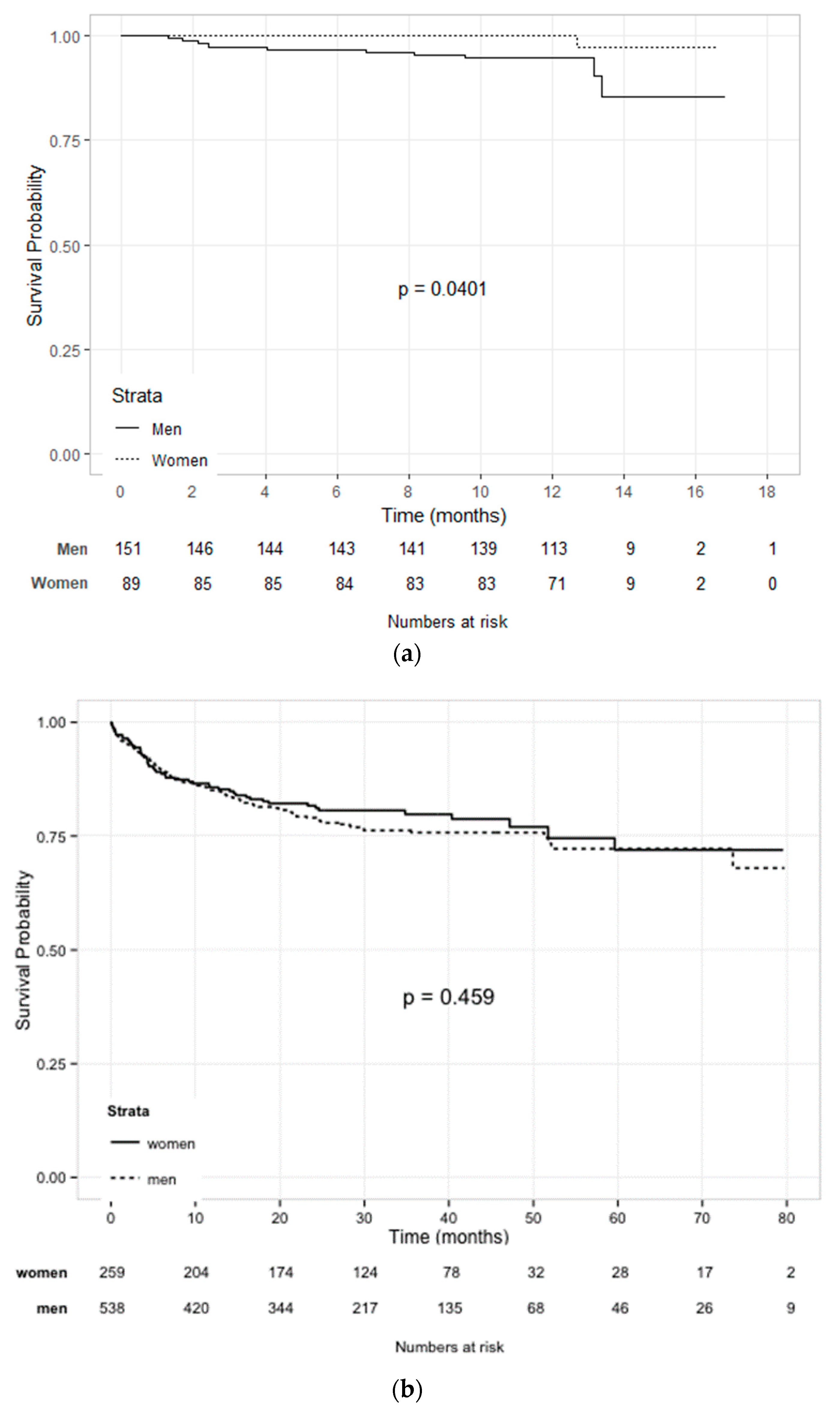
The median (IQR) follow-up in the MARC cohort consisted of 12 (12–13) months. Eleven patients (4.6%) died during follow-up. Survival curves of the MARC cohort are depicted in Figure 1a. Women showed a marginally significant better survival when analyzed using the log-rank test (p = 0.04). In univariable Cox regression analyses however, female sex was not associated with a lower risk of death (hazard ratio (HR) (95% CI) 0.19 (0.02–1.50), p = 0.115).
Figure 1.
(a): Kaplan–Meier for all-cause mortality for groups based on sex in the MARC cohort; (b): Kaplan–Meier for mortality and heart failure hospitalization for groups based on sex in the Belgian cohort.
During a median (IQR) follow-up of 26 (14–40) months, 168 (21.1%) patients in the Belgian cohort experienced the combined outcome of heart failure hospitalization or all-cause mortality. Survival estimates are depicted in Figure 1B. Survival did not differ between women and men (HR (95% CI) 1.13 (0.81–1.57), p = 0.460). Additionally, in the non-ischemic cohort, 64 patients (14%) experienced the combined outcome measure of heart failure hospitalization and all-cause mortality, with no difference in survival between women and men (HR (95% CI) 0.76 (0.47–1.24), p = 0.272).
4. Discussion
In a large prospective cohort of HFrEF patients receiving CRT implantation for indications according to the guidelines, we investigated sex differences in response to CRT, and sex-specific determinants of response. We used a larger independent retrospective Belgian cohort to validate our findings. Our results show that, compared to men, women are more often responders and show a greater response to CRT as measured by left ventricular remodeling echocardiographic measures, 6MWT, and NT-proBNP. However, this sex difference in LV remodeling response to CRT was lost after accounting for ischemic etiology (classified by medical history of myocardial infarction or revascularization), which confirms our hypothesis that the difference in response is mainly determined by HF etiology, where patients with non-ischemic etiology are more likely to respond to CRT. These findings were confirmed in the independent Belgian cohort. As this study shows this direct relationship between heart failure etiology and reverse remodeling response to CRT in a relatively large Dutch and Belgian cohort, it adds to the evidence in the ongoing discussion that the female sex is very likely not the main determinant for response to CRT.
4.1. Sex Differences in Response to CRT
Multiple previous studies have reported a greater benefit of CRT on LV reverse remodeling in women, and suggested female sex as a determinant of response [6,10,16,17]. Our study provides important information on differential response to CRT by sex and expands on current knowledge by studying echocardiographic as well as biochemical response measures following CRT implantation in two independent cohorts. Several types of response have been studied previously, ranging from functional (6MWT, VO2 max, NYHA) to structural changes measured by echocardiographic parameters and survival. In this study, we found that LV remodeling response to CRT was significantly greater in women compared to men. These differences in echocardiographic response between women and men did however not remain after accounting for etiology. Our results stress the importance of etiology as a driver for left ventricular remodeling in HFrEF patients receiving CRT implantation, which has also been suggested by Beela et al. [18]. Previously, Beela et al. reported ischemic HF etiology as the driver for sex difference in volumetric response to CRT. This conclusion was drawn based on the finding of a significant association between dyssynchrony and volumetric response and dyssynchrony and ICM. However, ICM itself was not significantly associated with volumetric response. The current study expands on this suggestion by showing a direct effect of ICM on volumetric response to CRT. Furthermore, our findings are in accordance with findings by Martens et al. showing that LV remodeling was less common in patients with an ischemic etiology. These patients however did derive benefit at a lesser degree of remodeling compared with patients with a non-ischemic etiology, underscoring that the clinical impression of less reverse remodeling based on pre-implant characteristics should not preclude the implantation of a CRT device, as benefits on hard outcome persist [14]. Furthermore, subanalyses of multiple prospective randomized studies, including the Multicenter InSync Randomized Clinical Evaluation (MIRACLE), Cardiac Resynchronization—Heart Failure (CARE-HF) and Multicenter Automatic Defibrillator Implantation with Cardiac Resynchronization Therapy (MADIT-CRT) studies, have confirmed the finding of greater reverse remodeling in non-ischemic cardiomyopathy [16,19,20]. The fibrotic scar tissue in the myocardium after an ischemic event impairs proper conduction of the electrical impulses generated by the CRT device, inhibiting cardiomyocyte contraction and thereby hampering reverse remodeling of the ventricle. Specifically, focal myocardial fibrosis in the vicinity of the LV lead tip leads to reduced response to CRT. In non-ischemic cardiomyopathy, fibrosis may also be present, but its localization is different from ischemic cardiomyopathy, where fibrosis follows subendocardial or transmural distribution along the coronary arteries [21].
4.2. Serum Biomarkers, Functional Response and Survival
Unlike the echocardiographic measures, change in NT-proBNP and 6MWT remained significantly greater for women compared to men after adjustment for BSA and etiology, with women showing greater reduction in NT-proBNP and greater improvement in 6MWD. This seemingly contradictory result has been mentioned in previous studies, namely that reverse remodeling (improvement in LVEF) does not necessarily correlate with an improvement in biochemical or clinical response [8,22]. NT-proBNP has been reported previously to correlate with improvements in markers of cardiac function and volume [23]. However, LVESV and LVEF did not show a significant improvement after adjustment, and we were not able to validate the significant improvement in NT-proBNP for women in the Belgian cohort. Also, as the eGFR declined significantly at 6 months follow-up compared to baseline in women in the MARC cohort, the greater reduction in NT-proBNP is unlikely to be caused by an improvement in renal function.
It has recently been suggested that given the discordant results for 6MWT and for instance morbidity and mortality with several treatment options for heart failure, 6MWT might not be the most suitable outcome measure to evaluate response unless the intervention studied is aimed at improving (submaximal) exercise capacity [24]. In the present study we also did not observe a significant difference in survival between the sexes. This finding is in line with several large CRT trials that did not demonstrate a significant interaction between sex and outcomes (HF and mortality) in predefined subgroup analyses [25,26,27]. Although there is a disconnect in response measures observed in women, i.e., no difference in survival yet better LV reverse remodeling, functional and NT-proBNP response, our findings suggest that women with HFrEF receiving CRT could perhaps be a subgroup in which further studies such as into heart failure medication withdrawal may be considered [28]. In patients with a normalized ejection fraction following CRT implantation, it was recently shown that withdrawal of neurohumoral blockers was feasible in 2/3 of patients, yet the ability to withdraw treatment was mainly limited by comorbidities such as hypertension [28]. Sex differences were not taken into consideration in this study. Also, in the current study, we have not provided data on whether this applies to our population as well, and therefore the possibility to withdraw medication should be considered with care.
4.3. Determinants of Response to CRT
It is increasingly recognized that women differ from men in several aspects relating to HF therapy. Not only do they show different response to CRT, they are also thought to have different optimal dosages for HF medication [9]. Women generally have a smaller body surface area, which may be a possible driver for the differences regarding HF therapies. Related to this, there is an ongoing discussion whether QRS duration should be individualized to body/heart size, possibly especially influencing CRT indications for women [29,30,31]. The guidelines favor CRT implantation in patients with a broad QRS duration (≥150 ms) and LBBB morphology (class IA recommendation) and do not recommend CRT in patient with QRS duration <120 ms [12]. It has however been reported that in patients with LBBB, women more frequently have true LBBB morphology and more mechanical dyssynchrony at shorter QRS durations compared to men, indicating that also dyssynchrony should be interpreted differently between women and men [32]. Using a sophisticated approach were QRS area was normalized to heart size, using the QRS area/LVEDV ratio, Salden and colleagues showed that women have a larger QRS area/LVEDV ratio and this contributes to a greater change in LVESV in women after CRT [33]. This association remained significant after adjusting for, among other things, ischemic etiology (classified by medical history of myocardial infarction or revascularization). Based on this, it is suggested that greater electrical dyssynchrony in smaller hearts is responsible for the improved reverse remodeling response in women. In our study, we were only able to replicate this analysis in the MARC cohort, showing independent associations with LV remodeling response for QRS area/LVEDV ratio and ischemic etiology, however not for female sex (data not shown). It is possible that our study is underpowered for these analyses, however it confirms the finding that other contributory factors, possibly inherent to the female sex, are responsible for the greater LV remodeling response in women. Also, in the multivariable analyses in the MARC cohort, apical rocking had a slightly higher β compared to ICM for response measured by LVESV, but not for other measures of response. This finding suggests that apical rocking would have a greater influence on the response to CRT measured by LVESV than ICM. Apical rocking has previously also been reported to as a predictor of clinical and echocardiographic response to CRT [34]. However, this finding could only be shown in the MARC cohort. This result could not be validated as there was no data on apical rocking available in the Belgian cohort. Nevertheless, apical rocking seems to be another valuable tool to use in the prediction of response to CRT. Finally, despite the repeated finding that response to CRT is more pronounced in women, CRT is still underused in women representing only 24% of implantations in ESC survey II [35]. Our data underscores the importance of CRT implantation in women as we demonstrated that remodeling response is generally better and outcomes are comparable. In both cohorts only 32–39% of patients were women, also illustrating the possible underuse of CRT in women.
4.3.1. Strengths and Limitations
The MARC study is a multicenter effort and the only study to date which prospectively studied the effect of biomarkers on CRT response, and our results have been validated in a large Belgian retrospective cohort. A limitation of this study was that we could not validate our findings of 6MWT and NT-proBNP in the Belgian cohort. However, we did use VO2 max, which is the gold standard for assessing maximal exercise capacity. Furthermore, the long-term outcome measure of the MARC cohort consisted of mortality while this was mortality combined with HF hospitalization in the Belgian cohort. Unfortunately, there was no data available on the number of hospitalizations in the MARC cohort. Furthermore, we do not have non-invasive data on ischemia available and classified patients as having ICM based on their medical history of myocardial infarction or revascularization. Although this definition of ICM is used more often, it would have been more favorable to base this classification on imaging data showing myocardial scarring. Finally, our subgroup analyses in the non-ischemic cohort, particularly in the MARC study, might have been underpowered to detect significant differences. Therefore, these analyses should be replicated in even larger cohorts in future studies.
4.3.2. Future Steps
Our study indeed demonstrates that women show a greater response to CRT in terms of LV reverse remodeling, which is most likely due to the higher prevalence of non-ischemic cardiomyopathy. However, this does not mean that CRT would not benefit men with ischemic cardiomyopathy. As our results show, and the study by Martens et al. supports, risk of outcome is similar for women and men, independent of their HF etiology and despite differences in LV remodeling [14]. Furthermore, our results imply that, in order to attain an improved prediction of response to CRT, not only HF etiology should be considered, but also the electrical dyssynchrony. Several measures of electrical dyssynchrony are being used in studies and clinical practice such as QRS area, QRS duration, QRS morphology, apical rocking, and most recently QRS area/LVEDV ratio where electrical dyssynchrony is indexed to heart size. QRS index is another measure which may be considered to identify responders to CRT [36,37]. Future studies, using large cohorts, should focus on which measure is most informative for the prediction of CRT response in ischemic and non-ischemic etiology and possibly take into account individualized measures of electrical dyssynchrony adjusted for body/heart size.
5. Conclusions
In conclusion, this study shows that women with HFrEF respond better to CRT in terms of LV reverse remodeling compared to men, significance was however lost after adjustment of ischemic etiology. Our findings suggest that non-ischemic etiology, rather than female sex, is responsible for greater response rates in women treated with CRT compared to men.
Author Contributions
Disclosures, F.S., J.M.t.M., B.G., M.J.C. and M.R. have nothing to dis-close. P.M. has received a research grant from Vifor pharma and Fonds Wetenschappelijk Onderzoek (grant number: 1127917N) and consultancy fees from AstraZeneca, Abbott, Bayer, Boehringer-Ingelheim, Novartis, Novo Nordisk and Vifor pharma. K.V. has received consultan-cy fees from Medtronic, Abbott, Boston and Philips. A.H.M. received lecture fees from Med-tronic and LivaNova. Conceptualization, F.S., J.M.t.M., A.H.M.; methodology, F.S., J.M.t.M., B.G., A.H.M.; formal analysis, F.S., J.M.t.M., B.G.; data curation, P.M.; writing—original draft, F.S.; writing—review and editing, J.M.t.M., P.M., K.V., M.M., C.P.A., B.G., M.A.V., M.J.C., I.C.v.G., W.M., M.R., A.H.M.; supervision, J.M.t.M., A.H.M. All authors have read and agreed to the published version of the manuscript.
Funding
The MARC study was performed within the framework of the CTMM, the Centre for Translational Molecular Medicine (www.ctmm.nl), project COHFAR (Congestive Heart Failure and Arrhythmias, grant 01C–203), and supported by the Dutch Heart Foundation.
Institutional Review Board Statement
This study was approved by the institutional review boards of all participating centers (for the MARC cohort: METc 2011/201, ethical approval received on 14 November 2011).
Informed Consent Statement
Given the retrospective nature of the study design, the need for written informed consent was waived by the local ethics committee for the Belgian cohort. For the MARC cohort, written informed consent was given by all study participants.
Conflicts of Interest
The authors declare no conflict of interest.
Abbreviations
| 6MWD/6MWT | 6 min walking distance/6 min walking test |
| ACE-inhibitor | Angiotensin converting enzyme inhibitor |
| ARB | Angiotensin receptor blocker |
| BSA | Body surface area |
| CRT | Cardiac resynchronization therapy |
| DM | Diabetes mellitus |
| eGFR | Estimated glomerular filtration rate |
| HFrEF | Heart failure with reduced ejection fraction |
| IVCD | Interventricular conduction delay |
| LBBB | Left bundle branch block |
| LVEF | Left ventricular ejection fraction |
| LVESV | Left ventricular end systolic volume |
| MARC study | Markers and Response to CRT study |
| NT-proBNP | N-terminal pro B-type natriuretic peptide |
| NYHA | New York Heart Association |
| VCG | Vector cardiography |
References
- Dauw, J.; Martens, P.; Mullens, W. CRT Optimization: What Is New? What Is Necessary? Curr. Treat. Options Cardiovasc. Med. 2019, 21, 45. [Google Scholar] [CrossRef] [PubMed]
- Costanzo, M.R. Cardiac Resynchronization Therapy in Women. Heart Fail. Clin. 2017, 13, 165–178. [Google Scholar] [CrossRef] [PubMed]
- Vernooy, K.; Van Deursen, C.J.M.; Strik, M.; Prinzen, F.W. Strategies to improve cardiac resynchronization therapy. Nat. Rev. Cardiol. 2014, 11, 481–493. [Google Scholar] [CrossRef]
- Poole, J.E.; Singh, J.P.; Birgersdotter-Green, U. QRS duration or QRS morphology what really matters in cardiac resynchronization therapy? J. Am. Coll. Cardiol. 2016, 67, 1104–1117. [Google Scholar] [CrossRef] [PubMed]
- Maass, A.H.; Vernooy, K.; Wijers, S.C.; van’t Sant, J.; Cramer, M.J.; Meine, M.; Allaart, C.P.; De Lange, F.J.; Prinzen, F.W.; Gerritse, B.; et al. Refining Success of Cardiac Resynchronization Therapy Using a Simple Score Predicting the Amount of Reverse Ventricular Remodelling: Results from the Markers and Response to CRT (MARC) Study. EP Eur. 2018, 20, e1–e10. Available online: https://academic.oup.com/europace/article/20/2/e1/3057420 (accessed on 23 September 2021). [CrossRef]
- Arshad, A.; Moss, A.J.; Foster, E.; Padeletti, L.; Barsheshet, A.; Goldenberg, I.; Greenberg, H.; Hall, W.J.; McNitt, S.; Zareba, W.; et al. Cardiac resynchronization therapy is more effective in women than in men: The MADIT-CRT (multicenter automatic defibrillator implantation trial with cardiac resynchronization therapy) trial. J. Am. Coll. Cardiol. 2011, 57, 813–820. [Google Scholar] [CrossRef]
- Leyva, F.; Foley, P.W.X.; Chalil, S.; Irwin, N.; Smith, R.E.A. Female Gender is Associated with a Better Outcome after Cardiac Resynchronization Therapy. Pacing Clin. Electrophysiol. 2011, 34, 82–88. [Google Scholar] [CrossRef]
- Woo, G.W.; Petersen-Stejskal, S.; Johnson, J.W.; Conti, J.B.; Aranda, J.A.; Curtis, A.B. Ventricular Reverse Remodeling and 6-Month Outcomes in Patients Receiving Cardiac Resynchronization Therapy: Analysis of the MIRACLE Study. J. Interv. Card. Electrophysiol. 2005, 12, 107–113. [Google Scholar] [CrossRef]
- Santema, B.T.; Ouwerkerk, W.; Tromp, J.; Sama, I.E.; Ravera, A.; Regitz-Zagrosek, V.; Hillege, H.; Samani, N.J.; Zannad, F.; Dickstein, K.; et al. Identifying Optimal Doses of Heart Failure Medications in Men Compared with Women: A Prospective, Observational, Cohort Study. Lancet 2019, 394, 1254–1263. Available online: https://linkinghub.elsevier.com/retrieve/pii/S0140673619317921 (accessed on 23 September 2021). [CrossRef]
- Linde, C.; Cleland, J.G.; Gold, M.R.; Claude Daubert, J.; Tang, A.S.; Young, J.B.; Sherfesee, L.; Abraham, W.T. The interaction of sex, height, and QRS duration on the effects of cardiac resynchronization therapy on morbidity and mortality: An individual-patient data meta-analysis. Eur. J. Heart Fail. 2018, 20, 780–791. [Google Scholar] [CrossRef]
- Lee, A.W.; O’Regan, D.P.; Gould, J.; Sidhu, B.; Sieniewicz, B.; Plank, G.; Warriner, D.R.; Lamata, P.; Rinaldi, C.A.; Niederer, S.A. Sex-Dependent QRS Guidelines for Cardiac Resynchronization Therapy Using Computer Model Predictions. Biophys. J. 2019, 1–7. [Google Scholar] [CrossRef]
- Task Force Members; Brignole, M.; Auricchio, A.; Baron-Esquivias, G.; Bordachar, P.; Boriani, G.; Breithardt, O.A.; Cleland, J.; Deharo, J.C.; Delgado, V.; et al. 2013 ESC Guidelines on cardiac pacing and cardiac resynchronization therapy. Eur. Heart J. 2013, 34, 2281–2329. [Google Scholar] [CrossRef] [PubMed][Green Version]
- Tracy, C.M.; Epstein, A.E.; Darbar, D.; DiMarco, J.P.; Dunbar, S.B.; Estes, N.M.; Ferguson, T.B.; Hammill, S.C.; Karasik, P.E.; Link, M.S.; et al. 2012 ACCF/AHA/HRS Focused Update Incorporated into the ACCF/AHA/HRS 2008 Guidelines for Device-Based Therapy of Cardiac Rhythm Abnormalities. J. Am. Coll. Cardiol. 2013, 61, e6–e75. Available online: https://linkinghub.elsevier.com/retrieve/pii/S0735109712054952 (accessed on 23 September 2021). [CrossRef]
- Martens, P.; Nijst, P.; Verbrugge, F.H.; Dupont, M.; Tang, W.W.H.; Mullens, W. Profound Differences in Prognostic Impact of Left Ventricular Reverse Remodeling after Cardiac Resynchronization Therapy Relate to Heart Failure Etiology. Heart Rhythm. 2018, 15, 130–136. Available online: https://www.heartrhythmjournal.com/article/S1547-5271(17)31011-1/fulltext (accessed on 24 November 2021). [CrossRef] [PubMed]
- Mullens, W.; Kepa, J.; De Vusser, P.; Vercammen, J.; Rivero-Ayerza, M.; Wagner, P.; Dens, J.; Vrolix, M.; Vandervoort, P.; Tang, W.W. Importance of Adjunctive Heart Failure Optimization Immediately After Implantation to Improve Long-Term Outcomes With Cardiac Resynchronization Therapy. Am. J. Cardiol. 2011, 108, 409–415. [Google Scholar] [CrossRef] [PubMed]
- Goldenberg, I.; Moss, A.J.; Hall, W.J.; Foster, E.; Goldberger, J.J.; Santucci, P.; Shinn, T.; Solomon, S.; Steinberg, J.S.; Wilber, D.; et al. Predictors of Response to Cardiac Resynchronization Therapy in the Multicenter Automatic Defibrillator Implantation Trial with Cardiac Resynchronization Therapy (MADIT-CRT). Circulation 2011, 124, 1527–1536. [Google Scholar] [CrossRef] [PubMed]
- Hsu, J.C.; Solomon, S.D.; Bourgoun, M.; McNitt, S.; Goldenberg, I.; Klein, H.; Moss, A.J.; Foster, E.; MADIT-CRTExecutive Committee. Predictors of Super-Response to Cardiac Resynchronization Therapy and Associated Improvement in Clinical Outcome. J. Am. Coll. Cardiol. 2012, 59, 2366–2373. Available online: https://linkinghub.elsevier.com/retrieve/pii/S0735109712012430 (accessed on 23 September 2021). [CrossRef] [PubMed]
- Beela, A.S.; Duchenne, J.; Petrescu, A.; Ünlü, S.; Penicka, M.; Aakhus, S.; Winter, S.; Aarones, M.; Stefanidis, E.; Fehske, W.; et al. Sex-Specific Difference in Outcome after Cardiac Resynchronization Therapy. Eur. Heart J. Cardiovasc. Imaging 2019, 20, 504–511. Available online: https://academic.oup.com/ehjcimaging/article/20/5/504/5289619?login=true (accessed on 24 November 2021). [CrossRef] [PubMed]
- Wikstrom, G.; Blomström-Lundqvist, C.; Andren, B.; Lönnerholm, S.; Blomström, P.; Freemantle, N.; Remp, T.; Cleland, J.G. The effects of aetiology on outcome in patients treated with cardiac resynchronization therapy in the CARE-HF trial. Eur. Heart J. 2009, 30, 782–788. [Google Scholar] [CrossRef]
- St John Sutton, M.G.; Plappert, T.; Hilpisch, K.E.; Abraham, W.T.; Hayes, D.L.; Chinchoy, E. Sustained Reverse Left Ventricular Structural Remodeling With Cardiac Resynchronization at One Year Is a Function of Etiology. Circulation 2006, 113, 266–272. [Google Scholar] [CrossRef]
- Shanks, M.; Delgado, V.; Bax, J.J. Cardiac Resynchronization Therapy in Non-Ischemic Cardiomyopathy. J. Atr. Fibrillation 2008, 8, 1362. [Google Scholar]
- Verbrugge, F.H.; Dupont, M.; Rivero-Ayerza, M.; De Vusser, P.; Van Herendael, H.; Vercammen, J.; Jacobs, L.; Verhaert, D.; Vandervoort, P.; Tang, W.W.; et al. Comorbidity Significantly Affects Clinical Outcome After Cardiac Resynchronization Therapy Regardless of Ventricular Remodeling. J. Card. Fail. 2012, 18, 845–853. [Google Scholar] [CrossRef] [PubMed]
- Januzzi, J.L., Jr.; Prescott, M.F.; Butler, J.; Felker, G.M.; Maisel, A.S.; McCague, K.; Camacho, A.; Piña, I.L.; Rocha, R.A.; Shah, A.M.; et al. Association of Change in N-Terminal Pro-B-Type Natriuretic Peptide following Initiation of Sacubitril Valsartan Treatment with Cardiac Structure and Function in Patients with Heart Failure with Reduced Ejection Fraction. JAMA 2019, 322, 1085–1095. Available online: https://jamanetwork.com/journals/jama/fullarticle/2749476 (accessed on 24 November 2021). [CrossRef]
- Docherty, K.F.; Vaduganathan, M. OUTSTEP-HF: Re-evaluating the role of physical activity measures in drug and device development in heart failure. Eur. J. Heart Fail. 2021, 23, 136–139. [Google Scholar] [CrossRef]
- Bristow, M.R.; Saxon, L.A.; Boehmer, J.; Krueger, S.; Kass, D.A.; De Marco, T.; Carson, P.; DiCarlo, L.; DeMets, D.; White, B.G.; et al. Cardiac-Resynchronization Therapy with or without an Implantable Defibrillator in Advanced Chronic Heart Failure. N. Engl. J. Med. 2004, 350, 2140–2150. [Google Scholar] [CrossRef] [PubMed]
- Cleland, J.G.; Daubert, J.C.; Erdmann, E.; Freemantle, N.; Gras, D.; Kappenberger, L.; Tavazzi, L. The Effect of Cardiac Resynchronization on Morbidity and Mortality in Heart Failure. N. Engl. J. Med. 2005, 352, 1539–1549. [Google Scholar] [CrossRef]
- Moss, A.J.; Hall, W.J.; Cannom, D.S.; Klein, H.; Brown, M.W.; Daubert, J.P.; Estes, N.M., III; Foster, E.; Greenberg, H.; Higgins, S.L.; et al. Cardiac-resynchronization therapy for the prevention of heart-failure events. N. Engl. J. Med. 2009, 361, 1329–1338. [Google Scholar] [CrossRef]
- Nijst, P.; Martens, P.; Dauw, J.; Tang, W.W.; Bertrand, P.B.; Penders, J.; Bruckers, L.; Voros, G.; Willems, R.; Vandervoort, P.M.; et al. Withdrawal of Neurohumoral Blockade after Cardiac Resynchronization Therapy. J. Am. Coll. Cardiol. 2020, 75, 1426–1438. Available online: https://linkinghub.elsevier.com/retrieve/pii/S0735109720305118 (accessed on 23 September 2021). [CrossRef]
- Mullens, W.; Auricchio, A.; Martens, P.; Witte, K.; Cowie, M.R.; Delgado, V.; Dickstein, K.; Linde, C.; Vernooy, K.; Leyva, F.; et al. Optimized implementation of cardiac resynchronization therapy: A call for action for referral and optimization of care: A joint position statement from the Heart Failure Association (HFA), European Heart Rhythm Association (EHRA), and European Association. Eur. J. Heart Fail 2020, 22, 2349–2369. [Google Scholar] [CrossRef]
- Zweerink, A.; Wu, L.; de Roest, G.J.; Nijveldt, R.; de Cock, C.C.; van Rossum, A.C.; Allaart, C.P. Improved patient selection for cardiac resynchronization therapy by normalization of QRS duration to left ventricular dimension. Europace 2017, 19, 1508–1513. [Google Scholar] [CrossRef]
- Zweerink, A.; Friedman, D.J.; Klem, I.; van de Ven, P.M.; Vink, C.; Biesbroek, P.S.; Hansen, S.M.; Emerek, K.; Kim, R.J.; van Rossum, A.C.; et al. Size Matters: Normalization of QRS Duration to Left Ventricular Dimension Improves Prediction of Long-Term Cardiac Resynchronization Therapy Outcome. Circ. Arrhythm Electrophysiol. 2018, 11, e006767. [Google Scholar] [CrossRef] [PubMed]
- De Pooter, J.; Kamoen, V.; El Haddad, M.; Stroobandt, R.; De Buyzere, M.; Jordaens, L.; Timmermans, F. Gender differences in electro-mechanical characteristics of left bundle branch block: Potential implications for selection and response of cardiac resynchronization therapy. Int. J. Cardiol. 2018, 257, 84–91. [Google Scholar] [CrossRef] [PubMed]
- Salden, O.A.; van Stipdonk, A.M.; den Ruijter, H.M.; Cramer, M.J.; Kloosterman, M.; Rienstra, M.; Maass, A.H.; Prinzen, F.W.; Vernooy, K.; Meine, M. Heart Size Corrected Electrical Dyssynchrony and Its Impact on Sex-Specific Response to Cardiac Resynchronization Therapy. Circ. Arrhythm Electrophysiol. 2021, 14, e008452. [Google Scholar] [CrossRef] [PubMed]
- Ghani, A.; Delnoy, P.P.H.; Ottervanger, J.P.; Misier, A.R.R.; Smit, J.J.J.; Adiyaman, A.; Elvan, A. Apical Rocking is Predictive of Response to Cardiac Resynchronization Therapy. Int. J. Cardiovasc. Imaging 2015, 31, 717–725. Available online: https://pubmed.ncbi.nlm.nih.gov/25651877/ (accessed on 24 November 2021). [CrossRef]
- Dickstein, K.; Normand, C.; Auricchio, A.; Bogale, N.; Cleland, J.G.; Gitt, A.K.; Stellbrink, C.; Anker, S.D.; Filippatos, G.; Gasparini, M.; et al. CRT Survey II: A European Society of Cardiology survey of cardiac resynchronisation therapy in 11,088 patients—Who is doing what to whom and how? Eur. J. Heart Fail. 2018, 20, 1039–1051. [Google Scholar] [CrossRef] [PubMed]
- Coppola, G.; Bonaccorso, P.; Corrado, E.; Ciaramitaro, G.; Ajello, L.; Nugara, C.; Assennato, P. The QRS Narrowing Index for Easy and Early Identification of Responder to Cardia Resynchronization Therapy. Int. J. Cardiol. 2014, 170, 440–441. Available online: https://pubmed.ncbi.nlm.nih.gov/24342404/ (accessed on 24 November 2021). [CrossRef]
- Coppola, G.; Ciaramitaro, G.; Stabile, G.; DOnofrio, A.; Palmisano, P.; Carità, P.; Mascioli, M.; Pecora, D.; De Simone, A.; Marini, M.; et al. Magnitude of QRS Duration Reduction after Biventricular Pacing Identifies Responders to Cardiac Resynchronization Therapy. Int. J. Cardiol. 2016, 221, 450–455. Available online: https://pubmed.ncbi.nlm.nih.gov/27414720/ (accessed on 24 November 2021). [CrossRef]
Publisher’s Note: MDPI stays neutral with regard to jurisdictional claims in published maps and institutional affiliations. |
© 2021 by the authors. Licensee MDPI, Basel, Switzerland. This article is an open access article distributed under the terms and conditions of the Creative Commons Attribution (CC BY) license (https://creativecommons.org/licenses/by/4.0/).
