Systemic Immune-Inflammation Index Predicted Short-Term Outcomes in Patients Undergoing Isolated Tricuspid Valve Surgery
Abstract
:1. Introduction
2. Materials and Methods
2.1. Study Design and Participants
2.2. Markers of Systemic Inflammation
2.3. Outcomes and Definitions
2.4. Statistical Analyses
3. Results
3.1. Baseline Characteristics According to SII
3.2. Clinical Outcomes
3.3. Prognostic Impact of SII
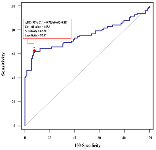
3.4. Sensitivity Analyses of SII Cut-Off
4. Discussion
5. Conclusions
Supplementary Materials
Author Contributions
Funding
Institutional Review Board Statement
Informed Consent Statement
Data Availability Statement
Acknowledgments
Conflicts of Interest
References
- Awan, Z.; Genest, J. Inflammation modulation and cardiovascular disease prevention. Eur. J. Prev. Cardiol. 2015, 22, 719–733. [Google Scholar] [CrossRef]
- Davi, G.; Patrono, C. Platelet activation and atherothrombosis. N. Engl. J. Med. 2007, 357, 2482–2494. [Google Scholar] [CrossRef] [PubMed]
- Iliopoulos, I.; Alder, M.N.; Cooper, D.S.; Villarreal, E.G.; Loomba, R.; Sahay, R.D.; Fei, L.; Steele, P.E.; Flores, S. Pre-operative neutrophil-lymphocyte ratio predicts low cardiac output in children after cardiac surgery. Cardiol. Young 2020, 30, 521–525. [Google Scholar] [CrossRef]
- Weedle, R.C.; Da Costa, M.; Veerasingam, D.; Soo, A.W.S. The use of neutrophil lymphocyte ratio to predict complications post cardiac surgery. Ann. Transl. Med. 2019, 7, 778. [Google Scholar] [CrossRef]
- Candemir, M.; Kiziltunc, E.; Nurkoc, S.; Sahinarslan, A. Relationship between systemic immune-inflammation index (SII) and the severity of stable coronary artery disease. Angiology 2021, 72, 575–581. [Google Scholar] [CrossRef] [PubMed]
- Huang, J.; Zhang, Q.; Wang, R.; Ji, H.; Chen, Y.; Quan, X.; Zhang, C. Systemic immune-inflammatory index predicts clinical outcomes for elderly patients with acute myocardial infarction receiving percutaneous coronary intervention. Med. Sci. Monit. 2019, 25, 9690–9701. [Google Scholar] [CrossRef]
- Dey, S.; Kashav, R.; Kohli, J.K.; Magoon, R.; ItiShri; Walian, A.; Grover, V. Systemic immune-Inflammation Index predicts poor outcome after elective off-pump CABG: A retrospective, single-center study. J. Cardiothorac. Vasc. Anesth. 2021, 35, 2397–2404. [Google Scholar] [CrossRef] [PubMed]
- Seo, M.; Yamada, T.; Morita, T.; Furukawa, Y.; Tamaki, S.; Iwasaki, Y.; Kawasaki, M.; Kikuchi, A.; Kawai, T.; Ikeda, I.; et al. P589Prognostic value of systemic immune-inflammation index in patients with chronic heart failure. Eur. Heart J. 2018, 39 (Suppl. 1), 70. [Google Scholar] [CrossRef]
- Chorin, E.; Rozenbaum, Z.; Topilsky, Y.; Konigstein, M.; Ziv-Baran, T.; Richert, E.; Keren, G.; Banai, S. Tricuspid regurgitation and long-term clinical outcomes. Eur. Heart J. Cardiovasc. Imaging 2020, 21, 157–165. [Google Scholar] [CrossRef]
- Dreyfus, J.; Flagiello, M.; Bazire, B.; Eggenspieler, F.; Viau, F.; Riant, E.; Mbaki, Y.; Bohbot, Y.; Eyharts, D.; Senage, T.; et al. Isolated tricuspid valve surgery: Impact of aetiology and clinical presentation on outcomes. Eur. Heart J. 2020, 41, 4304–4317. [Google Scholar] [CrossRef]
- Kim, J.B.; Jung, S.H.; Choo, S.J.; Chung, C.H.; Lee, J.W. Surgical outcomes of severe tricuspid regurgitation: Predictors of adverse clinical outcomes. Heart 2013, 99, 181–187. [Google Scholar] [CrossRef] [PubMed]
- Nam, J.S.; Jeon, S.B.; Jo, J.Y.; Joung, K.W.; Chin, J.H.; Lee, E.H.; Chung, C.H.; Choi, I.C. Perioperative rupture risk of unruptured intracranial aneurysms in cardiovascular surgery. Brain 2019, 142, 1408–1415. [Google Scholar] [CrossRef] [PubMed]
- von Elm, E.; Altman, D.G.; Egger, M.; Pocock, S.J.; Gotzsche, P.C.; Vandenbroucke, J.P.; Initiative, S. The strengthening the reporting of observational studies in epidemiology (STROBE) statement: Guidelines for reporting observational studies. Int. J. Surg. 2014, 12, 1495–1499. [Google Scholar] [CrossRef] [Green Version]
- Hu, B.; Yang, X.R.; Xu, Y.; Sun, Y.F.; Sun, C.; Guo, W.; Zhang, X.; Wang, W.M.; Qiu, S.J.; Zhou, J.; et al. Systemic immune-inflammation index predicts prognosis of patients after curative resection for hepatocellular carcinoma. Clin. Cancer Res. 2014, 20, 6212–6222. [Google Scholar] [CrossRef] [Green Version]
- Jammer, I.; Wickboldt, N.; Sander, M.; Smith, A.; Schultz, M.J.; Pelosi, P.; Leva, B.; Rhodes, A.; Hoeft, A.; Walder, B.; et al. Standards for definitions and use of outcome measures for clinical effectiveness research in perioperative medicine: European Perioperative Clinical Outcome (EPCO) definitions: A statement from the ESA-ESICM joint taskforce on perioperative outcome measures. Eur. J. Anaesthesiol. 2015, 32, 88–105. [Google Scholar] [CrossRef] [PubMed] [Green Version]
- Yang, Y.L.; Wu, C.H.; Hsu, P.F.; Chen, S.C.; Huang, S.S.; Chan, W.L.; Lin, S.J.; Chou, C.Y.; Chen, J.W.; Pan, J.P.; et al. Systemic immune-inflammation index (SII) predicted clinical outcome in patients with coronary artery disease. Eur. J. Clin. Investig. 2020, 50, e13230. [Google Scholar] [CrossRef] [PubMed]
- Xu, M.; Chen, R.; Liu, L.; Liu, X.; Hou, J.; Liao, J.; Zhang, P.; Huang, J.; Lu, L.; Chen, L.; et al. Systemic immune-inflammation index and incident cardiovascular diseases among middle-aged and elderly Chinese adults: The Dongfeng-Tongji cohort study. Atherosclerosis 2021, 323, 20–29. [Google Scholar] [CrossRef]
- Izumi, C. Isolated functional tricuspid regurgitation: When should we go to surgical treatment? J. Cardiol. 2020, 75, 339–343. [Google Scholar] [CrossRef]
- Zack, C.J.; Fender, E.A.; Chandrashekar, P.; Reddy, Y.N.V.; Bennett, C.E.; Stulak, J.M.; Miller, V.M.; Nishimura, R.A. National trends and outcomes in isolated tricuspid valve surgery. J. Am. Coll. Cardiol. 2017, 70, 2953–2960. [Google Scholar] [CrossRef]
- Kim, Y.J.; Kwon, D.A.; Kim, H.K.; Park, J.S.; Hahn, S.; Kim, K.H.; Kim, K.B.; Sohn, D.W.; Ahn, H.; Oh, B.H.; et al. Determinants of surgical outcome in patients with isolated tricuspid regurgitation. Circulation 2009, 120, 1672–1678. [Google Scholar] [CrossRef]
- Topilsky, Y.; Khanna, A.D.; Oh, J.K.; Nishimura, R.A.; Enriquez-Sarano, M.; Jeon, Y.B.; Sundt, T.M.; Schaff, H.V.; Park, S.J. Preoperative factors associated with adverse outcome after tricuspid valve replacement. Circulation 2011, 123, 1929–1939. [Google Scholar] [CrossRef] [Green Version]
- Park, K.; Kim, H.K.; Kim, Y.J.; Cho, G.Y.; Kim, K.H.; Kim, K.B.; Sohn, D.W.; Ahn, H.; Oh, B.H.; Park, Y.B. Incremental prognostic value of early postoperative right ventricular systolic function in patients undergoing surgery for isolated severe tricuspid regurgitation. Heart 2011, 97, 1319–1325. [Google Scholar] [CrossRef]
- Fender, E.A.; Zack, C.J.; Nishimura, R.A. Isolated tricuspid regurgitation: Outcomes and therapeutic interventions. Heart 2018, 104, 798–806. [Google Scholar] [CrossRef]
- Kim, J.B.; Jung, S.H.; Choo, S.J.; Chung, C.H.; Lee, J.W. Clinical and echocardiographic outcomes after surgery for severe isolated tricuspid regurgitation. J. Thorac. Cardiovasc. Surg. 2013, 146, 278–284. [Google Scholar] [CrossRef] [PubMed] [Green Version]
- Kwon, D.A.; Park, J.S.; Chang, H.J.; Kim, Y.J.; Sohn, D.W.; Kim, K.B.; Ahn, H.; Oh, B.H.; Park, Y.B.; Choi, Y.S. Prediction of outcome in patients undergoing surgery for severe tricuspid regurgitation following mitral valve surgery and role of tricuspid annular systolic velocity. Am. J. Cardiol. 2006, 98, 659–661. [Google Scholar] [CrossRef] [PubMed]
- Dick, S.A.; Epelman, S. Chronic heart failure and inflammation: What do we really know? Circ. Res. 2016, 119, 159–176. [Google Scholar] [CrossRef] [PubMed] [Green Version]
- Agus, H.Z.; Kahraman, S.; Arslan, C.; Yildirim, C.; Erturk, M.; Kalkan, A.K.; Yildiz, M. Systemic immune-inflammation index predicts mortality in infective endocarditis. J. Saudi Heart Assoc. 2020, 32, 58–64. [Google Scholar] [CrossRef] [PubMed]
- Aziz, M.H.; Sideras, K.; Aziz, N.A.; Mauff, K.; Haen, R.; Roos, D.; Saida, L.; Suker, M.; van der Harst, E.; Mieog, J.S.; et al. The systemic-immune-inflammation index independently predicts survival and recurrence in resectable pancreatic cancer and its prognostic value depends on bilirubin levels: A retrospective multicenter cohort study. Ann. Surg. 2019, 270, 139–146. [Google Scholar] [CrossRef] [PubMed]
- Tew, G.A.; Ayyash, R.; Durrand, J.; Danjoux, G.R. Clinical guideline and recommendations on pre-operative exercise training in patients awaiting major non-cardiac surgery. Anaesthesia 2018, 73, 750–768. [Google Scholar] [CrossRef] [PubMed] [Green Version]
- Bermejo-Martin, J.F.; Tamayo, E.; Ruiz, G.; Andaluz-Ojeda, D.; Herran-Monge, R.; Muriel-Bombin, A.; Fe Munoz, M.; Heredia-Rodriguez, M.; Citores, R.; Gomez-Herreras, J.; et al. Circulating neutrophil counts and mortality in septic shock. Crit. Care 2014, 18, 407. [Google Scholar] [CrossRef] [Green Version]
- Sionis, A.; Suades, R.; Sans-Rosello, J.; Sanchez-Martinez, M.; Crespo, J.; Padro, T.; Cubedo, J.; Ferrero-Gregori, A.; Vila-Perales, M.; Duran-Cambra, A.; et al. Circulating microparticles are associated with clinical severity of persistent ST-segment elevation myocardial infarction complicated with cardiogenic shock. Int. J. Cardiol. 2018, 258, 249–256. [Google Scholar] [CrossRef] [PubMed]
- Barron, H.V.; Cannon, C.P.; Murphy, S.A.; Braunwald, E.; Gibson, C.M. Association between white blood cell count, epicardial blood flow, myocardial perfusion, and clinical outcomes in the setting of acute myocardial infarction: A thrombolysis in myocardial infarction 10 substudy. Circulation 2000, 102, 2329–2334. [Google Scholar] [CrossRef] [PubMed]
- Bian, C.; Wu, Y.; Shi, Y.; Xu, G.; Wang, J.; Xiang, M.; Weng, S.; Jiang, J.; Ma, J. Predictive value of the relative lymphocyte count in coronary heart disease. Heart Vessels 2010, 25, 469–473. [Google Scholar] [CrossRef] [PubMed]
- Ommen, S.R.; Gibbons, R.J.; Hodge, D.O.; Thomson, S.P. Usefulness of the lymphocyte concentration as a prognostic marker in coronary artery disease. Am. J. Cardiol. 1997, 79, 812–814. [Google Scholar] [CrossRef]
- Angkananard, T.; Anothaisintawee, T.; McEvoy, M.; Attia, J.; Thakkinstian, A. Neutrophil lymphocyte ratio and cardiovascular disease risk: A systematic review and meta-analysis. Biomed. Res. Int. 2018, 2018, 2703518. [Google Scholar] [CrossRef] [Green Version]
- Ferroni, P.; Basili, S.; Davi, G. Platelet activation, inflammatory mediators and hypercholesterolemia. Curr. Vasc. Pharmacol. 2003, 1, 157–169. [Google Scholar] [CrossRef]
- Ibrahim, H.; Schutt, R.C.; Hannawi, B.; DeLao, T.; Barker, C.M.; Kleiman, N.S. Association of immature platelets with adverse cardiovascular outcomes. J. Am. Coll. Cardiol. 2014, 64, 2122–2129. [Google Scholar] [CrossRef] [PubMed] [Green Version]



| Variables | Total | SII <455.6 × 109/L | SII ≥455.6 × 109/L | p-Value |
|---|---|---|---|---|
| N | 213 | 153 | 60 | |
| Demographic variables | ||||
| Age, years | 57.2 ± 12.8 | 57.1 ± 12.9 | 57.5 ± 12.7 | 0.857 |
| Female sex, n | 136 (63.8) | 97 (63.4) | 39 (65.0) | 0.827 |
| Body mass index, kg/m2 | 23.4 ± 3.3 | 23.5 ± 3.2 | 23.1 ± 3.6 | 0.472 |
| EuroSCORE (logistic) | 6.3 ± 5.9 | 5.9 ± 6.0 | 7.1 ± 5.7 | 0.174 |
| NYHA class ≥ 3 | 96 (45.1) | 69 (45.1) | 27 (45.0) | 1.000 |
| Diabetes, n (%) | 33 (15.5) | 22 (14.4) | 11 (18.3) | 0.612 |
| Hypertension, n (%) | 69 (32.4) | 47 (30.7) | 22 (36.7) | 0.502 |
| Dyslipidemia | 119 (55.9) | 86 (56.2) | 33 (55.0) | 0.873 |
| Previous cardiac surgery | 53 (24.9) | 38 (24.8) | 15 (25.0) | 0.980 |
| Preoperative laboratory tests | ||||
| Hematocrit, % | 38.8 ± 5.8 | 39.6 ± 5.5 | 36.6 ± 5.9 | 0.001 |
| Creatinine, mg/dL | 1.0 ± 1.4 | 1.0 ± 1.6 | 0.9 ± 0.3 | 0.211 |
| Total bilirubin, mg/dL | 0.9 ± 0.6 | 1.0 ± 0.6 | 0.9 ± 0.4 | 0.249 |
| Albumin, g/dL | 3.8 ± 0.5 | 3.8 ± 0.5 | 3.6 ± 0.7 | 0.031 |
| AST, IU/L | 26.0 ± 8.4 | 26.2 ± 7.9 | 25.5 ± 9.8 | 0.842 |
| ALT, IU/L | 20.0 ± 11.9 | 20.3 ± 11.5 | 19.4 ± 13.0 | 0.103 |
| ALP, IU/L | 87.3 ± 43.4 | 83.8 ± 38.6 | 96.1 ± 53.0 | 0.107 |
| Uric acid, mg/dL | 6.1 ± 2.1 | 6.2 ± 1.9 | 5.9 ± 2.4 | 0.155 |
| BNP, pg/mL | 172.0 ± 273.9 | 174.2 ± 266.6 | 166.4 ± 294.0 | 0.591 |
| C-reactive protein | 0.4 ± 0.8 | 0.2 ± 0.3 | 0.7 ± 1.4 | 0.008 |
| PLR | 6.6 ± 6.2 | 4.8 ± 1.7 | 11.4 ± 9.9 | 0.001 |
| NLR | 2.2 ± 1.8 | 1.7 ± 0.7 | 3.7 ± 2.8 | 0.001 |
| Preoperative echocardiographic findings | ||||
| LVEF, % | 59.0 ± 7.3 | 58.8 ± 7.8 | 59.6 ± 6.2 | 0.765 |
| RV dysfunction | 58 (27.2) | 38 (24.8) | 20 (33.3) | 0.182 |
| PASP, mmHg | 35.5 ± 16.4 | 34.6 ± 16.6 | 37.9 ± 15.8 | 0.392 |
| Preoperative medications | ||||
| ACEI/ARB | 75 (35.2) | 50 (32.7) | 25 (41.7) | 0.866 |
| β-blocker | 66 (31.0) | 47 (30.7) | 19 (31.7) | 1.000 |
| CCB | 60 (28.2) | 38 (24.8) | 22 (36.7) | 0.920 |
| Digoxin | 62 (29.1) | 42 (27.5) | 20 (33.3) | 0.289 |
| Diuretics | 156 (73.2) | 109 (71.2) | 47 (78.3) | 0.379 |
| Intraoperative data | ||||
| Maze operation | 78 (36.6) | 60 (39.2) | 18 (30.0) | 0.120 |
| Valve replacement | 65 (30.5) | 48 (31.4) | 17 (28.3) | 0.661 |
| CPB time, min | 246.1 ± 53.8 | 247.2 ± 51.8 | 243.2 ± 59.0 | 0.102 |
| Anesthesia time, min | 354.8 ± 102.1 | 354.6 ± 99.1 | 355.3 ± 110.3 | 0.824 |
| Variables | Total | SII <455.6 × 109/L | SII ≥455.6 × 109/L |
|---|---|---|---|
| N | 213 | 153 | 60 |
| Primary outcomes: composite 30-day major postoperative complications. | 82 (38.5) | 32 (20.9) | 50 (83.3) * |
| 30-day death | 4 (1.9) | 2 (1.3) | 2 (3.3) |
| MACE | 34 (16.0) | 15 (9.8) | 19 (31.7) |
| Pulmonary complications | 24 (11.3) | 10 (6.5) | 14 (23.3) |
| Renal complications | 16 (7.5) | 9 (5.9) | 7 (11.7) |
| Stroke | 9 (4.2) | 5 (3.3) | 4 (6.7) |
| Sepsis | 5 (2.3) | 3 (2.0) | 2 (3.3) |
| Multi-organ failure | 5 (2.3) | 4 (2.6) | 1 (1.7) |
| Wound complications | 4 (1.9) | 2 (1.1) | 2 (6.5) |
| GI complication | 9 (4.2) | 7 (4.6) | 2 (3.3) |
| Secondary outcomes | |||
| Extubation time, h | 20.0 ± 50.7 | 15.6 ± 25.8 | 31.0 ± 85.7 |
| Inotropic support, h | 69.2 ± 213.8 | 61.3 ± 225.4 | 89.4 ± 181.0 |
| Intensive care unit stay, h | 114.0 ± 313.3 | 101.1 ± 332.5 | 146.9 ± 257.6 |
| Hospital stay, days | 17.5 ± 22.2 | 13.3 ± 18.2 | 28.2 ± 27.6 * |
| 30-day readmission | 14 (6.6) | 10 (6.5) | 4 (6.7) |
| Variables | Univariate | Multivariable | ||
|---|---|---|---|---|
| Hazard Ratio (95% CI) | p-Value | Hazard Ratio (95% CI) | p-Value | |
| SII | 5.58 (3.56–8.77) | 0.001 | 3.58 (1.62–7.95) | 0.001 |
| Sex (female) | 0.97 (0.58–1.60) | 0.897 | ||
| Age, years | 1.03 (1.01–1.05) | 0.003 | ||
| Body mass index, kg/m2 | 0.95 (0.87–1.02) | 0.163 | ||
| Diabetes | 1.71 (1.01–2.88) | 0.046 | ||
| Hypertension | 1.63 (1.05–2.54) | 0.029 | ||
| NYHA | 1.73 (1.12–2.67) | 0.014 | ||
| EuroSCORE | 1.06 (1.03–1.10) | 0.001 | ||
| Preoperative hematocrit, % | 0.91 (0.88–0.95) | 0.001 | ||
| Total bilirubin, mg/dl | 1.06 (0.70–1.60) | 0.790 | ||
| Serum albumin, g/dL | 0.43 (0.29–0.62) | 0.001 | ||
| Creatinine, mg/dL | 0.96 (0.76–1.21) | 0.718 | ||
| AST, IU/L | 1.00 (0.98–1.03) | 0.920 | ||
| ALT, IU/L | 0.98 (0.96–1.01) | 0.152 | ||
| ALP, IU/L | 1.01 (1.00–1.01) | 0.020 | ||
| Uric acid, mg/dL | 1.07 (0.95–1.20) | 0.288 | ||
| BNP, pg/mL | 1.00 (0.99–1.00) | 0.780 | ||
| CRP | 1.54 (1.31–1.82) | 0.001 | ||
| PLR | 1.04 (1.03–1.06) | 0.001 | ||
| NLR | 1.33 (1.24–1.42) | 0.001 | ||
| LVEF, % | 0.99 (0.96–1.02) | 0.418 | ||
| RV dysfunction | 1.67 (0.99–2.79) | 0.053 | ||
| PASP, mmHg | 0.99 (0.98–1.01) | 0.494 | ||
| Use of ACEI/ARB | 1.51 (0.91–2.48) | 0.109 | ||
| Use of β-blocker | 1.64 (0.98–2.71) | 0.057 | ||
| Use of CCB | 2.03 (1.29–3.16) | 0.002 | ||
| Use of digoxin | 1.26 (0.74–2.12) | 0.391 | ||
| Use of diuretics | 2.27 (1.15–4.45) | 0.018 | ||
Publisher’s Note: MDPI stays neutral with regard to jurisdictional claims in published maps and institutional affiliations. |
© 2021 by the authors. Licensee MDPI, Basel, Switzerland. This article is an open access article distributed under the terms and conditions of the Creative Commons Attribution (CC BY) license (https://creativecommons.org/licenses/by/4.0/).
Share and Cite
Yoon, J.; Jung, J.; Ahn, Y.; Oh, J. Systemic Immune-Inflammation Index Predicted Short-Term Outcomes in Patients Undergoing Isolated Tricuspid Valve Surgery. J. Clin. Med. 2021, 10, 4147. https://doi.org/10.3390/jcm10184147
Yoon J, Jung J, Ahn Y, Oh J. Systemic Immune-Inflammation Index Predicted Short-Term Outcomes in Patients Undergoing Isolated Tricuspid Valve Surgery. Journal of Clinical Medicine. 2021; 10(18):4147. https://doi.org/10.3390/jcm10184147
Chicago/Turabian StyleYoon, Jungpil, Jaewan Jung, Youngick Ahn, and Jimi Oh. 2021. "Systemic Immune-Inflammation Index Predicted Short-Term Outcomes in Patients Undergoing Isolated Tricuspid Valve Surgery" Journal of Clinical Medicine 10, no. 18: 4147. https://doi.org/10.3390/jcm10184147
APA StyleYoon, J., Jung, J., Ahn, Y., & Oh, J. (2021). Systemic Immune-Inflammation Index Predicted Short-Term Outcomes in Patients Undergoing Isolated Tricuspid Valve Surgery. Journal of Clinical Medicine, 10(18), 4147. https://doi.org/10.3390/jcm10184147

