Atrial Fibrillation and Chronic Kidney Disease—A Risky Combination for Post-Contrast Acute Kidney Injury
Abstract
:1. Introduction
2. Materials and Methods
Statistical Analysis
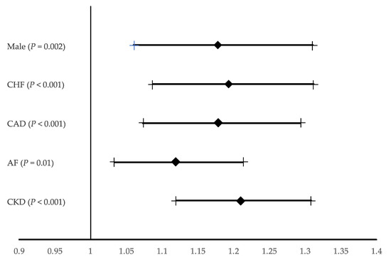
3. Results
4. Discussion
5. Conclusions
Author Contributions
Funding
Institutional Review Board Statement
Informed Consent Statement
Data Availability Statement
Conflicts of Interest
References
- Menezes, A.R.; Lavie, C.J.; Di Nicolantonio, J.J.; O’Keefe, J.; Morin, D.P.; Khatib, S.; Milani, R.V. Atrial fibrillation in the 21st century: A current understanding of risk factors and primary prevention strategies. Mayo Clin. Proc. 2013, 88, 394–409. [Google Scholar] [CrossRef] [PubMed] [Green Version]
- Gaziano, T.A.; Bitton, A.; Anand, S.; Abrahams-Gessel, S.; Murphy, A. Growing epidemic of coronary heart disease in low- and middle-income countries. Curr. Probl. Cardiol. 2010, 35, 72–115. [Google Scholar] [CrossRef] [Green Version]
- Malakar, A.K.; Choudhury, D.; Halder, B.; Paul, P.; Uddin, A.; Chakraborty, S. A review on coronary artery disease, its risk factors, and therapeutics. J. Cell Physiol. 2019, 234, 16812–16823. [Google Scholar] [CrossRef] [PubMed]
- Staerk, L.; Sherer, J.A.; Ko, D.; Benjamin, E.J.; Helm, R.H. Atrial Fibrillation: Epidemiology, Pathophysiology, and Clinical Outcomes. Circ. Res. 2017, 120, 1501–1517. [Google Scholar] [CrossRef] [PubMed] [Green Version]
- Kuźma, Ł.; Pogorzelski, S.; Struniawski, K.; Bachórzewska-Gajewska, H.; Dobrzycki, S. Exposure to air pollution-a trigger for myocardial infarction? A nine-year study in Bialystok-the capital of the Green Lungs of Poland (BIA-ACS registry). Int. J. Hyg. Environ. Health 2020, 229, 113578. [Google Scholar] [CrossRef]
- Kuźma, Ł.; Pogorzelski, S.; Struniawski, K.; Dobrzycki, S.; Bachórzewska-Gajewska, H. Effect of air pollution on the number of hospital admissions for acute coronary syndrome in elderly patients. Pol. Arch. Intern. Med. 2020, 130, 38–46. [Google Scholar] [CrossRef] [Green Version]
- Kuźma, Ł.; Małyszko, J.; Kurasz, A.; Niwińska, M.M.; Zalewska-Adamiec, M.; Bachórzewska-Gajewska, H.; Dobrzycki, S. Impact of renal function on patients with acute coronary syndromes: 15,593 patient-years study. Ren. Card. Fail. 2020, 42, 881–889. [Google Scholar] [CrossRef]
- AFFIRM Investigators; Atrial Fibrillation Follow-up Investigation of Rhythm Management. Baseline characteristics of patients with atrial fibrillation: The AFFIRM Study. Am. Heart J. 2002, 143, 991–1001. [Google Scholar] [CrossRef]
- Baber, U.; Howard, V.J.; Halperin, J.L.; Soliman, E.Z.; Zhang, X.; McClellan, W.; Warnock, D.G.; Muntner, P. Association of chronic kidney disease with atrial fibrillation among adults in the United States: REasons for Geographic and Racial Differences in Stroke (REGARDS) Study. Circ. Arrhythm. Electrophysiol. 2011, 4, 26–32. [Google Scholar] [CrossRef] [Green Version]
- Ozkok, S.; Ozkok, A. Contrast-Induced acute kidney injury: A review of practical points. World J. Nephrol. 2017, 6, 86–99. [Google Scholar] [CrossRef] [PubMed]
- Rudnick, M.R.; Leonberg-Yoo, A.K.; Litt, H.I.; Cohen, R.M.; Hilton, S.; Reese, P.P. The Controversy of Contrast-Induced Nephropathy with intravenous contrast: What is the risk? Am. J. Kidney Dis. 2020, 75, 105–113. [Google Scholar] [CrossRef] [Green Version]
- Judkins, M.P. Percutaneous transfemoral selective coronary arteriography. Radiol. Clin. N. Am. 1968, 6, 467–492. [Google Scholar]
- Montalescot, G.; Sechtem, U.; Achenbach, S.; Andreotti, F.; Arden, C.; Budaj, A.; Bugiardini, R.; Crea, F.; Cuisset, T.; Di Mario, C.; et al. 2013 ESC guidelines on the management of stable coronary artery disease: The Task Force on the management of stable coronary artery disease of the European Society of Cardiology. Eur. Heart J. 2013, 34, 2949–3003. [Google Scholar] [CrossRef]
- Van der Molen, A.J.; Reimer, P.; Dekkers, I.A.; Bongartz, G.; Bellin, M.F.; Bertolotto, M.; Clement, O.; Heinz-Peer, G.; Stacul, F.; Webb, J.A.W.; et al. Post-Contrast acute kidney injury—Part 1: Definition, clinical features, incidence, role of contrast medium and risk factors: Recommendations for updated ESUR Contrast Medium Safety Committee guidelines. Eur. Radiol. 2018, 28, 2845–2855. [Google Scholar] [CrossRef] [Green Version]
- Solomon, R.; Dauerman, H.L. Contrast-Induced acute kidney injury. Circulation 2016, 122, 2451–2455. [Google Scholar] [CrossRef] [Green Version]
- Van der Molen, A.J.; Reimer, P.; Dekkers, I.A.; Bongartz, G.; Bellin, M.F.; Bertolotto, M.; Clement, O.; Heinz-Peer, G.; Stacul, F.; Webb, J.A.W.; et al. Post-Contrast acute kidney injury. Part 2: Risk stratification, role of hydration and other prophylactic measures, patients taking metformin and chronic dialysis patients: Recommendations for updated ESUR Contrast Medium Safety Committee guidelines. Eur. Radiol. 2018, 28, 2856–2869. [Google Scholar] [CrossRef] [PubMed] [Green Version]
- Kirchhof, P.; Benussi, S.; Kotecha, D.; Ahlsson, A.; Atar, D.; Casadei, B.; Castella, M.; Diener, H.C.; Heidbuchel, H.; Hendriks, J.; et al. 2016 ESC Guidelines for the management of atrial fibrillation developed in collaboration with EACTS. Eur. J. Cardio-Thorac. Surg. 2016, 50, e1–e88. [Google Scholar] [CrossRef]
- Lippi, G.; Sanchis-Gomar, F.; Cervellin, G. Global epidemiology of atrial fibrillation: An increasing epidemic and public health challenge. Int. J Stroke 2020, 16, 217–221. [Google Scholar] [CrossRef]
- Chlabicz, M.; Jamiołkowski, J.; Paniczko, M.; Sowa, P.; Łapińska, M.; Szpakowicz, M.; Jurczuk, N.; Kondraciuk, M.; Raczkowski, A.; Sawicka, E.; et al. Independent Impact of Gynoid Fat Distribution and Free Testosterone on Circulating Levels of N-Terminal Pro-Brain Natriuretic Peptide (NT-proBNP) in Humans. J. Clin. Med. 2019, 9, 74. [Google Scholar] [CrossRef] [Green Version]
- Brandes, A.; Smit, M.D.; Nguyen, B.O.; Rienstra, M.; Van Gelder, I.C. Risk Factor Management in Atrial Fibrillation. Arrhythm. Electrophysiol. Rev. 2018, 7, 118–127. [Google Scholar] [CrossRef] [PubMed] [Green Version]
- Cameron, A.; Schwartz, M.J.; Kronmal, R.A.; Kosinski, A.S. Prevalence and significance of atrial fibrillation in coronary artery disease (CASS Registry). Am. J. Cardiol. 1988, 6, 714–717. [Google Scholar] [CrossRef]
- Otterstad, J.E.; Kirwan, B.A.; Lubsen, J.; De Brouwer, S.; Fox, K.A.; Corell, P.; Poole-Wilson, P.A.; Action Investigators. Incidence and outcome of atrial fibrillation in stable symptomatic coronary disease. Scand. Cardiovasc. J. 2006, 40, 152–159. [Google Scholar] [CrossRef]
- Michniewicz, E.; Mlodawska, E.; Lopatowska, P.; Tomaszuk-Kazberuk, A.; Malyszko, J. Patients with atrial fibrillation and coronary artery disease—Double trouble. Adv. Med. Sci. 2018, 63, 30–35. [Google Scholar] [CrossRef]
- Connolly, S.J.; Ezekowitz, M.D.; Yusuf, S.; Eikelboom, J.; Oldgren, J.; Parekh, A.; Pogue, J.; Reilly, P.A.; Themeles, E.; Varrone, J.; et al. RE- LY Steering Committee and Investigators. Dabigatran versus warfarin in patients with atrial fibrillation. N. Engl. J. Med. 2009, 17, 1139–115151. [Google Scholar] [CrossRef] [PubMed] [Green Version]
- Lip, G.Y.H.; Beevers, D.G. ABC of atrial fibrillation. History, epidemiology and importance of atrial fibrillation. Br. Med. J. 1995, 311, 1361. [Google Scholar] [CrossRef] [Green Version]
- Kralev, S.; Schneider, K.; Lang, S.; Süselbeck, T.; Borggrefe, M. Incidence and severity of coronary artery disease in patients with atrial fibrillation undergoing first-time coronary angiography. PLoS ONE 2011, 6, e24964. [Google Scholar] [CrossRef]
- Wynn, G.J.; Todd, D.M.; Webber, M.; Bonnett, L.; McShane, J.; Kirchhof, P.; Gupta, D. The European Heart Rhythm Association symptom classification for atrial fibrillation: Validation and improvement through a simple modification. Europace 2014, 16, 965–972. [Google Scholar] [CrossRef] [PubMed]
- Pradhan, R.; Chaudhary, A.; Donato, A.A. Predictive accuracy of ST depression during rapid atrial fibrillation on the presence of obstructive coronary artery disease. Am. J. Emerg. Med. 2012, 30, 1042–1047. [Google Scholar] [CrossRef]
- Gimelli, A.; Liga, R.; Startari, U.; Giorgetti, A.; Pieraccini, L.; Marzullo, P. Evaluation of ischaemia in patients with atrial fibrillation: Impact of stress protocol on myocardial perfusion imaging accuracy. Eur. Heart J. Cardiovasc. Imaging 2015, 16, 781–787. [Google Scholar] [CrossRef] [Green Version]
- Hobday, T.J.; Pellikka, P.A.; Attenhofer Jost, C.H.; Oh, J.K.; Miller, F.A., Jr.; Seward, J.B. Chronotropic response, safety, and accuracy of dobutamine stress echocardiography in patients with atrial fibrillation and known or suspected coronary artery disease. Am. J. Cardiol. 1998, 82, 1425–1427. [Google Scholar] [CrossRef]
- Mehran, R.; Aymong, E.D.; Nikolsky, E.; Lasic, Z.; Iakovou, I.; Fahy, M.; Mintz, G.S.; Lansky, A.J.; Moses, J.W.; Stone, G.W.; et al. A simple risk score for prediction of contrast-induced nephropathy after percutaneous coronary intervention: Development and initial validation. J. Am. Coll. Cardiol. 2004, 44, 1393–1399. [Google Scholar] [CrossRef] [Green Version]
- Yang, Y.; George, K.C.; Luo, R.; Cheng, Y.; Shang, W.; Ge, S.; Xu, G. Contrast-induced acute kidney injury and adverse clinical outcomes risk in acute coronary syndrome patients undergoing percutaneous coronary intervention: A meta-analysis. BMC Nephrol. 2018, 19, 374. [Google Scholar] [CrossRef] [PubMed] [Green Version]
- Liu, Y.; Liang, X.; Xin, S.; Liu, Y.; Liang, X.; Xin, S.; Liu, J.; Sun, G.; Chen, S.; Cen, X.; et al. Risk factors for contrast-induced acute kidney injury (CI-AKI): Protocol for systematic review and meta-analysis. BMJ Open 2019, 9, e030048. [Google Scholar] [CrossRef] [PubMed]
- Xiaoming, L.; Chao, L.; Zhi, M.; Shuang, Q.; Renjie, S.; Feihu, Z. Brain Natriuretic Peptide for Predicting Contrast-Induced Acute Kidney Injury in Patients with Acute Coronary Syndrome Undergoing Coronary Angiography: A Systematic Review and Meta-Analysis. J. Interv. Cardiol. 2020, 2020, 1035089. [Google Scholar]
- Chen, G.; Liu, B.; Chen, S.; Li, H.; Liu, J.; Mai, Z.; Chen, E.; Zhou, C.; Sun, G.; Guo, Z.; et al. Novel biomarkers for post-contrast acute kidney injury identified from long non-coding RNA expression profiles. Int. J. Biol. Sci. 2021, 17, 882–896. [Google Scholar] [CrossRef]
- Kulkarni, N.; Gukathasan, N.; Sartori, S.; Baber, U. Chronic Kidney Disease and Atrial Fibrillation: A Contemporary Overview. J. Atr. Fibrillation 2012, 5, 448. [Google Scholar] [CrossRef] [PubMed]
- Almendarez, M.; Gurm, H.S.; Mariani, J., Jr.; Montorfano, M.; Brilakis, E.S.; Mehran, R.; Azzalini, L. Procedural Strategies to Reduce the Incidence of Contrast-Induced Acute Kidney Injury During Percutaneous Coronary Intervention. JACC Cardiovasc. Interv. 2019, 12, 1877–1888. [Google Scholar] [CrossRef] [PubMed]
- Vandenberghe, W.; Hoste, E. Contrast-Associated acute kidney injury: Does it really exist, and if so, what to do about it? F1000Res 2019, 8, 753. [Google Scholar] [CrossRef] [PubMed] [Green Version]
- Sanders, N.A.; Bertolone, C.; Jetter, T.L.; Wasmund, S.L.; Croci, F.; Solano, A.; Brignole, M.; Hamdan, M.H. Restoring sinus rhythm results in blood pressure reduction in patients with persistent atrial fibrillation and a history of hypertension. J. Cardiovasc. Electrophysiol. 2012, 23, 722–726. [Google Scholar] [CrossRef]
- Jacob, M.; Chappell, D. Effects of perioperative fasting on haemodynamics and intravascular volumes. Best Pract. Res. Clin. Anaesthesiol. 2012, 26, 421–430. [Google Scholar] [CrossRef]
- Khan, I.A. Atrial stunning: Basics and clinical considerations. Int.J. Cardiol. 2003, 92, 113–128. [Google Scholar] [CrossRef]
- Singh, P.; Rifkin, D.E.; Blantz, R.C. Chronic kidney disease: An inherent risk factor for acute kidney injury? Clin. J. Am. Soc. Nephrol. 2010, 5, 1690–1695. [Google Scholar] [CrossRef] [Green Version]
- Corrao, S.; Argano, C.; Nobili, A.; Marcucci, M.; Djade, C.D.; Tettamanti, M.; Pasina, L.; Franchi, C.; Marengoni, A.; Salerno, F.; et al. Brain and kidney, victims of atrial microembolism in elderly hospitalized patients? Data from the REPOSI study. Eur. J. Intern. Med. 2015, 26, 243–249. [Google Scholar] [CrossRef]
- Wang, G.; Yang, L.; Ye, N.; Bian, W.; Ma, C.; Zhao, D.; Liu, J.; Hao, Y.; Yang, N.; Cheng, H. In-Hospital acute kidney injury and atrial fibrillation: Incidence, risk factors, and outcome. Ren. Fail. 2021, 43, 949–957. [Google Scholar] [CrossRef]
- Harel, Z.; McArthur, E.; Jeyakumar, N.; Sood, M.; Garg, A.; Silver, S.; Dorian, P.; Blum, D.; Beaubien-Souligny, W.; Yan, A.; et al. The Risk of Acute Kidney Injury with Oral Anticoagulants in Elderly Adults with Atrial Fibrillation. Clin. J. Am. Soc. Nephrol. 2021, 16, 05920421. [Google Scholar] [CrossRef]
- Brodsky, S.V.; Satoskar, A.; Hemminger, J.; Rovin, B.; Hebert, L.; Ryan, M.S.; Nadasdy, T. Anticoagulant-Related Nephropathy in Kidney Biopsy: A Single-Center Report of 41 Cases. Kidney Med. 2019, 1, 51–56. [Google Scholar] [CrossRef] [PubMed] [Green Version]
- Ha, J.T.; Neuen, B.L.; Cheng, L.P.; Jun, M.; Toyama, T.; Gallagher, M.P.; Jardine, M.J.; Sood, M.M.; Garg, A.X.; Palmer, S.C.; et al. Benefits and Harms of Oral Anticoagulant Therapy in Chronic Kidney Disease: A Systematic Review and Meta-analysis. Ann. Intern. Med. 2019, 171, 181–189. [Google Scholar] [CrossRef] [PubMed] [Green Version]
- Brodsky, S.V.; Hebert, L.A. Anticoagulant-Related Nephropathy: Is an AKI Elephant Hiding in Plain View? J. Am. Coll. Cardiol. 2016, 68, 2284–2286. [Google Scholar] [CrossRef] [PubMed]
- Grüner-Hegge, N.; Kella, D.K.; Padmanabhan, D.; Deshmukh, A.J.; Mehta, R.; Hodge, D.; Melduni, R.M.; Greene, E.L.; Friedman, P.A. Renal Dysfunction following Direct Current Cardioversion of Atrial Fibrillation: Incidence and Risk Factors. Cardioren. Med. 2021, 11, 27–32. [Google Scholar] [CrossRef]
- Tomaszuk-Kazberuk, A.; Koziński, M.; Kuźma, Ł.; Bujno, E.; Łopatowska, P.; Rogalska, E.; Dobrzycki, S.; Sobkowicz, B.; Lip, G.Y.H. Atrial fibrillation is more frequently associated with nonobstructive coronary lesions: The Bialystok Coronary Project. Pol. Arch. Intern. Med. 2020, 130, 1029–1036. [Google Scholar] [CrossRef]



| All Study Participants (N = 8026) | Patients with PC–AKI (N = 157) | Patients without PC-AKI (N = 7869) | p | |
|---|---|---|---|---|
| Age (years); mean (SD) | 65.26 (10.14) | 67.6 (11.06) | 65.21 (10.12) | 0.003 |
| Male; % (N) | 54.06 (4339) | 70.06 (110) | 53.74 (4229) | <0.001 |
| BMI (kg/m2); mean (SD) | 29.13 (4.85) | 29.36 (5.39) | 29.12 (4.84) | 0.57 |
| Atrial fibrillation; % (N) | 20.2 (1621) | 37.58 (59) | 19.85 (1562) | <0.001 |
| Chronic kidney disease; % (N) | 20.3 (1629) | 42.68 (67) | 19.85 (1562) | <0.001 |
| Patients with eGFR ≥90 mL/min/1.73 m²; % (N) | 26.15 (2099) | 21.02 (33) | 26.25 (2066) | 0.14 |
| Patients with eGFR 60–89 mL/min/1.73 m²; % (N) | 55.58 (4461) | 43.95 (69) | 55.81 (4392) | 0.003 |
| Patients with eGFR 45–59 mL/min/1.73 m²; % (N) | 12.14 (974) | 14.01 (22) | 12.1 (952) | 0.47 |
| Patients with eGFR 30–44 mL/min/1.73 m²; % (N) | 5.12 (411) | 16.56 (26) | 4.89 (385) | <0.001 |
| Patients with eGFR 15–29 mL/min/1.73 m²; % (N) | 0.96 (77) | 4.46 (7) | 0.89 (70) | <0.001 |
| Patients with eGFR <15 mL/min/1.73 m²; % (N) | 0.05 (4) | 0 (0) | 0.05 (4) | 0.78 |
| Serum creatinine concentration (mg/dL); mean (SD) | 0.95 (0.27) | 1.14 (0.45) | 0.95 (0.26) | <0.001 |
| CKD-EPI eGFR mL/min/1.73 m²; % (N) | 76.85 (18.21) | 68.67 (22.92) | 77.01 (18.06) | <0.001 |
| Chronic heart failure; % (N) | 32.22 (2586) | 41.53 (16.97) | 50.43 (13.29) | <0.001 |
| Ejection Fraction; mean (SD) | 50.22 (13.45) | 41.53 (16.97) | 50.43 (13.29) | <0.001 |
| Hypertension; % (N) | 83.17 (6675) | 82.17 (129) | 83.19 (6546) | 0.74 |
| Diabetes mellitus; % (N) | 25.65 (2059) | 30.57 (48) | 25.56 (2011) | 0.15 |
| Hyperlipidemia; % (N) | 67.46 (5414) | 61.78 (97) | 67.57 (5317) | 0.13 |
| Significant stenosis; % (N) | 40.31 (3235) | 58.6 (92) | 39.94 (3143) | <0.001 |
| Single-vessel CAD; % (N) | 18.1 (1453) | 28.03 (44) | 17.91 (1409) | 0.009 |
| Double-vessel CAD; % (N) | 9.68 (777) | 8.28 (13) | 9.71 (764) | 0.549 |
| Multi-vessel stenosis; % (N) | 22.2 (1782) | 30.57 (48) | 22.04 (1734) | 0.02 |
| Hemoglobin level (g/dL); mean (SD) | 13.71 (1.38) | 13.42 (1.65) | 13.71 (1.37) | 0.01 |
| RBC (mln/mm3); mean (SD) | 4.58 (0.47) | 4.51 (0.56) | 4.58 (0.47) | 0.048 |
| Hematocrit (%); mean (SD) | 40.83 (3.86) | 40.27 (4.19) | 40.84 (3.85) | 0.07 |
| Platelets account (×103/mm3); mean. (SD) | 225.48 (69.71) | 212.97 (61.36) | 225.7 (69.83) | 0.04 |
| Serum potassium concentration (mEq/L); mean (SD) | 4.43 (0.43) | 4.52 (0.58) | 4.43 (0.42) | 0.02 |
| Serum LDL cholesterol concentration (mg/dL); mean (SD) | 105.14 (40.05) | 105.53 (37.35) | 105.13 (40.1) | 0.91 |
| Serum HDL cholesterol concentration (mg/dL); mean (SD) | 47.83 (13.23) | 45.04 (13.78) | 47.88 (13.21) | 0.01 |
| Fibrinogen concentration (mg/dL); mean (SD) | 389.54 (86.95) | 411.45 (86.63) | 389.1 (86.91) | 0.002 |
| NOAC anticoagulants prescribed at discharge; % (N) | 4.14 (332) | 7.64 (12) | 4.07 (320) | 0.03 |
| VKA anticoagulants prescribed at discharge; % (N) | 11.72 (941) | 18.47 (29) | 11.59 (912) | 0.008 |
| CKD (+)/AF (+) (N = 545) A | CKD (+)/AF (−) (N = 1084) B | CKD (−)/AF (+) (N = 1076) C | CKD (−)/AF (−) (N = 5321) D | p | |
|---|---|---|---|---|---|
| PC–AKI; % (N) | 6.24 (34) | 3.04 (33) | 2.32 (25) | 1.22 (65) | <0.001 1 |
| Age (years); mean (SD) | 73.16 (7.85) | 71.98 (8.7) | 66.31 (9.57) | 62.86 (9.66) | <0.001 2 |
| Male; % (N) | 49.54 (270) | 44.19 (479) | 66.45 (715) | 54.03 (2875) | <0.001 3 |
| BMI (kg/m2); mean (SD) | 29.89 (5.59) | 28.83 (4.84) | 30.01 (5.1) | 28.94 (4.69) | <0.001 4 |
| Chronic heart failure; % (N) | 67.71 (369) | 34.59 (375) | 59.01 (635) | 22.68 (1207) | <0.001 |
| Serum creatinine concentration (mg/dL); mean (SD) | 1.33 (0.32) | 1.28 (0.39) | 0.89 (0.15) | 0.86 (0.14) | <0.001 |
| CKD-EPI eGFR ml/min/1.73 m²; % (N) | 48.58 (11.66) | 51 (12.03) | 81.21 (12.24) | 84.13 (12.31) | <0.001 |
| Significant stenosis; % (N) | 45.32 (247) | 49.45 (536) | 33.55 (361) | 39.3 (2091) | <0.001 2 |
| Multi-vessel stenosis; % (N) | 19.45 (106) | 28.32 (307) | 15.52 (167) | 22.59 (1202) | <0.001 5 |
| Fibrinogen concentration (mg/dL); mean (SD) | 421.31 (93.5) | 408.18 (97.63) | 395.36 (92.01) | 381.29 (81.29) | <0.001 |
| NOAC anticoagulants prescribed at discharge; % (N) | 18.35 (100) | 0.0 (0) | 21.1 (227) | 0.1 (5) | <0.001 4 |
| VKA anticoagulants prescribed at discharge; % (N) | 60 (327) | 0.0 (5) | 55.67 (599) | 0.2 (10) | <0.001 4 |
Publisher’s Note: MDPI stays neutral with regard to jurisdictional claims in published maps and institutional affiliations. |
© 2021 by the authors. Licensee MDPI, Basel, Switzerland. This article is an open access article distributed under the terms and conditions of the Creative Commons Attribution (CC BY) license (https://creativecommons.org/licenses/by/4.0/).
Share and Cite
Kuźma, Ł.; Tomaszuk-Kazberuk, A.; Kurasz, A.; Zalewska-Adamiec, M.; Bachórzewska-Gajewska, H.; Dobrzycki, S.; Kwiatkowska, M.; Małyszko, J. Atrial Fibrillation and Chronic Kidney Disease—A Risky Combination for Post-Contrast Acute Kidney Injury. J. Clin. Med. 2021, 10, 4140. https://doi.org/10.3390/jcm10184140
Kuźma Ł, Tomaszuk-Kazberuk A, Kurasz A, Zalewska-Adamiec M, Bachórzewska-Gajewska H, Dobrzycki S, Kwiatkowska M, Małyszko J. Atrial Fibrillation and Chronic Kidney Disease—A Risky Combination for Post-Contrast Acute Kidney Injury. Journal of Clinical Medicine. 2021; 10(18):4140. https://doi.org/10.3390/jcm10184140
Chicago/Turabian StyleKuźma, Łukasz, Anna Tomaszuk-Kazberuk, Anna Kurasz, Małgorzata Zalewska-Adamiec, Hanna Bachórzewska-Gajewska, Sławomir Dobrzycki, Marlena Kwiatkowska, and Jolanta Małyszko. 2021. "Atrial Fibrillation and Chronic Kidney Disease—A Risky Combination for Post-Contrast Acute Kidney Injury" Journal of Clinical Medicine 10, no. 18: 4140. https://doi.org/10.3390/jcm10184140
APA StyleKuźma, Ł., Tomaszuk-Kazberuk, A., Kurasz, A., Zalewska-Adamiec, M., Bachórzewska-Gajewska, H., Dobrzycki, S., Kwiatkowska, M., & Małyszko, J. (2021). Atrial Fibrillation and Chronic Kidney Disease—A Risky Combination for Post-Contrast Acute Kidney Injury. Journal of Clinical Medicine, 10(18), 4140. https://doi.org/10.3390/jcm10184140

