Is Obesity a Risk or Protective Factor for Open-Angle Glaucoma in Adults? A Two-Database, Asian, Matched-Cohort Study
Abstract
1. Introduction
2. Materials and Methods
2.1. Databases
2.2. Study Design
2.3. Statistical Analyses
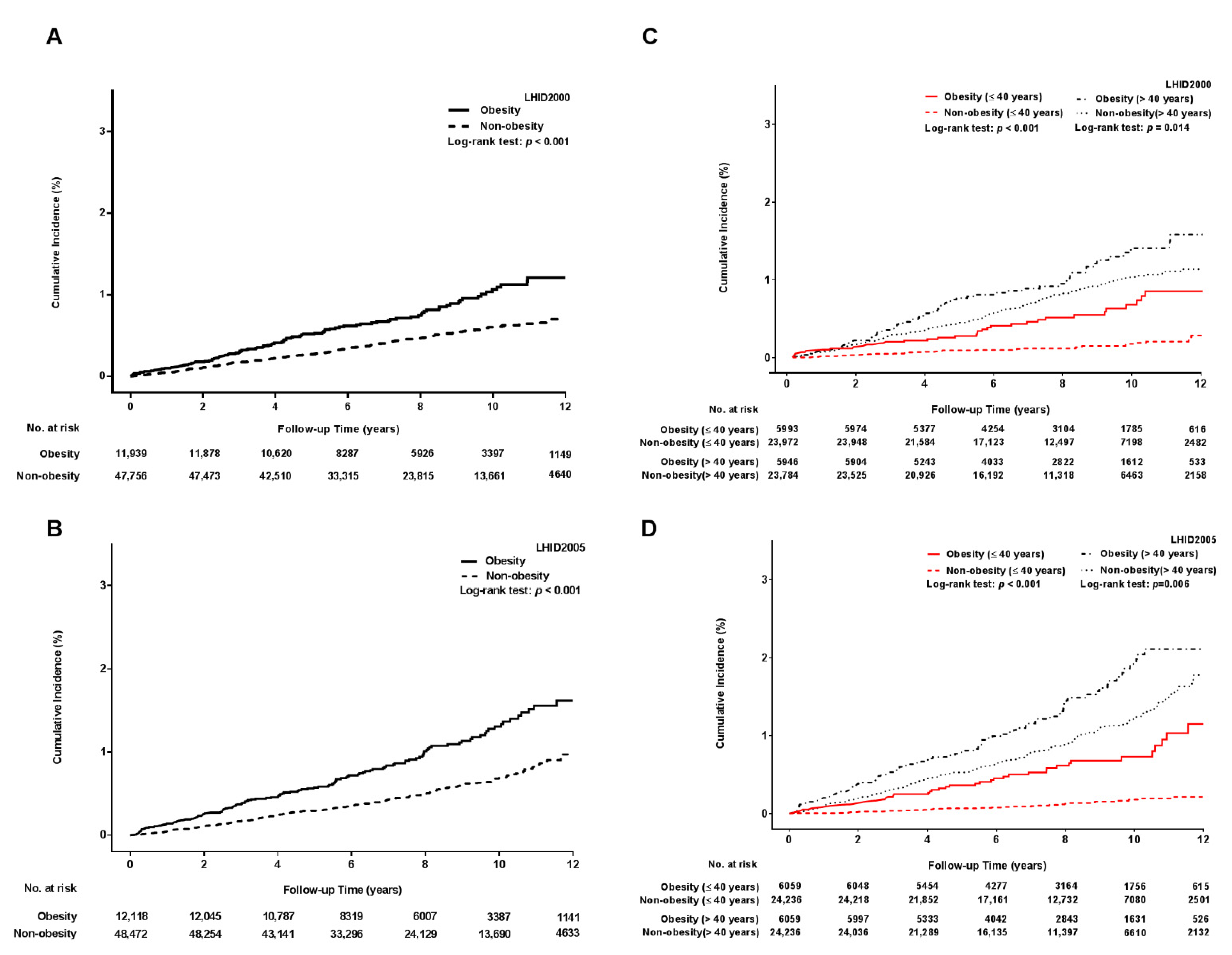
3. Results
4. Discussion
Author Contributions
Funding
Institutional Review Board Statement
Informed Consent Statement
Data Availability Statement
Acknowledgments
Conflicts of Interest
References
- Hruby, A.; Hu, F.B. The Epidemiology of Obesity: A Big Picture. Pharmacoeconomics 2015, 33, 673–689. [Google Scholar] [CrossRef]
- Finkelstein, E.A.; Khavjou, O.A.; Thompson, H.; Trogdon, J.G.; Pan, L.; Sherry, B.; Dietz, W. Obesity and severe obesity forecasts through 2030. Am. J. Prev. Med. 2012, 42, 563–570. [Google Scholar] [CrossRef]
- Qi, L.; Cho, Y.A. Gene-environment interaction and obesity. Nutr. Rev. 2008, 66, 684–694. [Google Scholar] [CrossRef] [PubMed]
- Heymsfield, S.B.; Wadden, T.A. Mechanisms, Pathophysiology, and Management of Obesity. N. Engl. J. Med. 2017, 376, 254–266. [Google Scholar] [CrossRef] [PubMed]
- Pi-Sunyer, X. The medical risks of obesity. Postgrad Med. 2009, 121, 21–33. [Google Scholar] [CrossRef] [PubMed]
- Alford, S.; Patel, D.; Perakakis, N.; Mantzoros, C.S. Obesity as a risk factor for Alzheimer’s disease: Weighing the evidence. Obes Rev. 2018, 19, 269–280. [Google Scholar] [CrossRef] [PubMed]
- Ling, C.N.Y.; Lim, S.C.; Jonas, J.B.; Sabanayagam, C. Obesity and risk of age-related eye diseases: A systematic review of prospective population-based studies. Int. J. Obes 2021, 45, 1863–1885. [Google Scholar] [CrossRef]
- Cohen, E.; Kramer, M.; Shochat, T.; Goldberg, E.; Garty, M.; Krause, I. Relationship Between Body Mass Index and Intraocular Pressure in Men and Women: A Population-based Study. J. Glaucoma 2016, 25, e509–e513. [Google Scholar] [CrossRef]
- Mori, K.; Ando, F.; Nomura, H.; Sato, Y.; Shimokata, H. Relationship between intraocular pressure and obesity in Japan. Int. J. Epidemiol. 2000, 29, 661–666. [Google Scholar] [CrossRef]
- Tham, Y.C.; Cheng, C.Y. Associations between chronic systemic diseases and primary open angle glaucoma: An epidemiological perspective. Clin. Exp. Ophthalmol. 2017, 45, 24–32. [Google Scholar] [CrossRef]
- Cheung, N.; Wong, T.Y. Obesity and eye diseases. Surv. Ophthalmol. 2007, 52, 180–195. [Google Scholar] [CrossRef] [PubMed]
- Liu, W.; Ling, J.; Chen, Y.; Wu, Y.; Lu, P. The Association between Adiposity and the Risk of Glaucoma: A Meta-Analysis. J. Ophthalmol. 2017, 2017, 9787450. [Google Scholar] [CrossRef]
- Springelkamp, H.; Wolfs, R.C.; Ramdas, W.D.; Hofman, A.; Vingerling, J.R.; Klaver, C.C.; Jansonius, N.M. Incidence of glaucomatous visual field loss after two decades of follow-up: The Rotterdam Study. Eur. J. Epidemiol. 2017, 32, 691–699. [Google Scholar] [CrossRef]
- Newman-Casey, P.A.; Talwar, N.; Nan, B.; Musch, D.C.; Stein, J.D. The relationship between components of metabolic syndrome and open-angle glaucoma. Ophthalmology 2011, 118, 1318–1326. [Google Scholar] [CrossRef]
- Pasquale, L.R.; Willett, W.C.; Rosner, B.A.; Kang, J.H. Anthropometric measures and their relation to incident primary open-angle glaucoma. Ophthalmology 2010, 117, 1521–1529. [Google Scholar] [CrossRef]
- Kim, K.E.; Kim, M.J.; Park, K.H.; Jeoung, J.W.; Kim, S.H.; Kim, C.Y.; Kang, S.W. Epidemiologic Survey Committee of the Korean Ophthalmological, S. Prevalence, Awareness, and Risk Factors of Primary Open-Angle Glaucoma: Korea National Health and Nutrition Examination Survey 2008–2011. Ophthalmology 2016, 123, 532–541. [Google Scholar] [CrossRef]
- Tsai, M.S.; Lee, L.A.; Tsai, Y.T.; Yang, Y.H.; Liu, C.Y.; Lin, M.H.; Hsu, C.M.; Chen, C.K.; Li, H.Y. Sleep apnea and risk of vertigo: A nationwide population-based cohort study. Laryngoscope 2018, 128, 763–768. [Google Scholar] [CrossRef] [PubMed]
- Martin, S.S.; Qasim, A.; Reilly, M.P. Leptin resistance: A possible interface of inflammation and metabolism in obesity-related cardiovascular disease. J. Am. Coll. Cardiol. 2008, 52, 1201–1210. [Google Scholar] [CrossRef] [PubMed]
- McArdle, M.A.; Finucane, O.M.; Connaughton, R.M.; McMorrow, A.M.; Roche, H.M. Mechanisms of obesity-induced inflammation and insulin resistance: Insights into the emerging role of nutritional strategies. Front. Endocrinol. 2013, 4, 52. [Google Scholar] [CrossRef]
- Stewart, R.M.; Clearkin, L.G. Insulin resistance and autoregulatory dysfunction in glaucoma and retinal vein occlusion. Am. J. Ophthalmol. 2008, 145, 394–396. [Google Scholar] [CrossRef]
- Shpak, A.A.; Guekht, A.B.; Druzhkova, T.A.; Kozlova, K.I.; Gulyaeva, N.V. Brain-Derived Neurotrophic Factor in Patients with Primary Open-Angle Glaucoma and Age-related Cataract. Curr. Eye Res. 2018, 43, 224–231. [Google Scholar] [CrossRef]
- Chiasseu, M.; Cueva Vargas, J.L.; Destroismaisons, L.; Vande Velde, C.; Leclerc, N.; Di Polo, A. Tau Accumulation, Altered Phosphorylation, and Missorting Promote Neurodegeneration in Glaucoma. J. Neurosci. 2016, 36, 5785–5798. [Google Scholar] [CrossRef]
- Wang, Y.; Zhou, Y.F.; Zhao, B.Y.; Gu, Z.Y.; Li, S.L. Apolipoprotein E gene epsilon4epsilon4 is associated with elevated risk of primary open angle glaucoma in Asians: A meta-analysis. BMC Med. Genet. 2014, 15, 60. [Google Scholar] [CrossRef]
- Motamedi, S.; Karimi, I.; Jafari, F. The interrelationship of metabolic syndrome and neurodegenerative diseases with focus on brain-derived neurotrophic factor (BDNF): Kill two birds with one stone. Metab. Brain Dis. 2017, 32, 651–665. [Google Scholar] [CrossRef] [PubMed]
- Platt, T.L.; Beckett, T.L.; Kohler, K.; Niedowicz, D.M.; Murphy, M.P. Obesity, diabetes, and leptin resistance promote tau pathology in a mouse model of disease. Neuroscience 2016, 315, 162–174. [Google Scholar] [CrossRef]
- Keller, L.; Xu, W.; Wang, H.X.; Winblad, B.; Fratiglioni, L.; Graff, C. The obesity related gene, FTO, interacts with APOE, and is associated with Alzheimer’s disease risk: A prospective cohort study. J. Alzheimers Dis. 2011, 23, 461–469. [Google Scholar] [CrossRef] [PubMed]
- Huang, C.C.; Huang, Y.T.; Chiu, C.C. A population-based analysis of use and outcomes of laparoscopic bariatric surgery across socioeconomic groups in Taiwan. Int. J. Equity Health 2015, 14, 127. [Google Scholar] [CrossRef][Green Version]
- Nuttall, F.Q. Body Mass Index: Obesity, BMI, and Health: A Critical Review. Nutr. Today 2015, 50, 117–128. [Google Scholar] [CrossRef] [PubMed]
- Zheng, W.; McLerran, D.F.; Rolland, B.; Zhang, X.; Inoue, M.; Matsuo, K.; He, J.; Gupta, P.C.; Ramadas, K.; Tsugane, S.; et al. Association between body-mass index and risk of death in more than 1 million Asians. N. Engl. J. Med. 2011, 364, 719–729. [Google Scholar] [CrossRef]
- Flegal, K.M.; Kit, B.K.; Orpana, H.; Graubard, B.I. Association of all-cause mortality with overweight and obesity using standard body mass index categories: A systematic review and meta-analysis. JAMA 2013, 309, 71–82. [Google Scholar] [CrossRef] [PubMed]
- Orpana, H.M.; Berthelot, J.M.; Kaplan, M.S.; Feeny, D.H.; McFarland, B.; Ross, N.A. BMI and mortality: Results from a national longitudinal study of Canadian adults. Obes. Silver Spring 2010, 18, 214–218. [Google Scholar] [CrossRef]
- Nevalainen, T.; Kananen, L.; Marttila, S.; Jylhava, J.; Mononen, N.; Kahonen, M.; Raitakari, O.T.; Hervonen, A.; Jylha, M.; Lehtimaki, T.; et al. Obesity accelerates epigenetic aging in middle-aged but not in elderly individuals. Clin. Epigenetics 2017, 9, 20. [Google Scholar] [CrossRef]
- Li, F.; Jiang, C.; Larsen, M.C.; Bushkofsky, J.; Krausz, K.W.; Wang, T.; Jefcoate, C.R.; Gonzalez, F.J. Lipidomics reveals a link between CYP1B1 and SCD1 in promoting obesity. J. Proteome Res. 2014, 13, 2679–2687. [Google Scholar] [CrossRef]
- Donegan, R.K.; Hill, S.E.; Freeman, D.M.; Nguyen, E.; Orwig, S.D.; Turnage, K.C.; Lieberman, R.L. Structural basis for misfolding in myocilin-associated glaucoma. Hum. Mol Genet. 2015, 24, 2111–2124. [Google Scholar] [CrossRef] [PubMed]
- Dewundara, S.S.; Wiggs, J.L.; Sullivan, D.A.; Pasquale, L.R. Is Estrogen a Therapeutic Target for Glaucoma? Semin. Ophthalmol. 2016, 31, 140–146. [Google Scholar] [CrossRef] [PubMed]
- Hara, T.; Fujiwara, H.; Shoji, T.; Mimura, T.; Nakao, H.; Fujimoto, S. Decreased plasma adiponectin levels in young obese males. J. Atheroscler. Thromb. 2003, 10, 234–238. [Google Scholar] [CrossRef] [PubMed][Green Version]
- Cleary, M.P.; Grossmann, M.E. Minireview: Obesity and breast cancer: The estrogen connection. Endocrinology 2009, 150, 2537–2542. [Google Scholar] [CrossRef]
- Song, B.J.; Aiello, L.P.; Pasquale, L.R. Presence and Risk Factors for Glaucoma in Patients with Diabetes. Curr. Diab. Rep. 2016, 16, 124. [Google Scholar] [CrossRef]




| LHID2000 | LHID2005 | |||||
|---|---|---|---|---|---|---|
| Obesity | Non-Obesity | Obesity | Non-Obesity | |||
| Variables | n (%) | n (%) | p-value | n (%) | n (%) | p-value |
| Total | 11,939 | 47,756 | 12,118 | 48,472 | ||
| Gender | 1.00 | 1.00 | ||||
| Female | 7718 (64.6) | 30,872 (64.6) | 7815 (64.5) | 31,260 (64.5) | ||
| Male | 4221 (35.4) | 16,884 (35.4) | 4303 (35.5) | 17,212 (35.5) | ||
| Age | 1.00 | 1.00 | ||||
| 18–30 | 3135 (26.3) | 12,540 (26.3) | 3098 (25.6) | 12,392 (25.6) | ||
| 31–40 | 2858 (23.9) | 11,432 (23.9) | 2961 (24.4) | 11,844 (24.4) | ||
| 41–50 | 2660 (22.3) | 10,640 (22.3) | 2645 (21.8) | 10,580 (21.8) | ||
| 51–60 | 1992 (16.7) | 7968 (16.7) | 2054 (17.0) | 8216 (17.0) | ||
| 61–70 | 886 (7.4) | 3544 (7.4) | 944 (7.8) | 3776 (7.8) | ||
| >70 | 408 (3.4) | 1632 (3.4) | 416 (3.4) | 1664 (3.4) | ||
| Urbanization level | 1.00 | 1.00 | ||||
| 1(City) | 3965 (33.2) | 15,860 (33.2) | 3765 (31.1) | 15,060 (31.1) | ||
| 2 | 5477 (45.9) | 21,908 (45.9) | 5837 (48.2) | 23,348 (48.2) | ||
| 3 | 1673 (14.0) | 6692 (14.0) | 1746 (14.4) | 6984 (14.4) | ||
| 4(Villages) | 824 (6.9) | 3296 (6.9) | 770 (6.4) | 3080 (6.4) | ||
| Income | 1.00 | 1.00 | ||||
| 0 | 3952 (33.1) | 15,808 (33.1) | 2447 (20.2) | 9788 (20.2) | ||
| 1–15,840 | 1883 (15.8) | 7532 (15.8) | 1811 (14.9) | 7244 (14.9) | ||
| 15,841–25,000 | 3990 (33.4) | 15,960 (33.4) | 3742 (30.9) | 14,968 (30.9) | ||
| ≥25,001 | 2114 (17.7) | 8456 (17.7) | 4118 (34.0) | 16,472 (34.0) | ||
| OPH visit | 3856 (32.3) | 12,082 (25.3) | <0.001 | 3995 (33.0) | 12,731 (26.3) | <0.001 |
| Frequency of OPH visit | <0.001 | <0.001 | ||||
| 0 | 8083 (67.7) | 35,674 (74.7) | 8123 (67.0) | 35,741 (73.7) | ||
| 1–2 | 2458 (20.6) | 8061 (16.9) | 2564 (21.2) | 8470 (17.5) | ||
| >2 | 1398 (11.7) | 4021 (8.4) | 1431 (11.8) | 4261 (8.8) | ||
| Comorbidity | ||||||
| Diabetes mellitus | 3494 (29.3) | 5419 (11.4) | <0.001 | 3642 (30.1) | 5810 (12.0) | <0.001 |
| Hypertension | 5576 (46.7) | 10,818 (22.7) | <0.001 | 5571 (46.0) | 11,434 (23.6) | <0.001 |
| Hyperlipidemia | 5202 (43.6) | 8326 (17.4) | <0.001 | 5353 (44.2) | 8939 (18.4) | <0.001 |
| IHD | 2275 (19.1) | 4510 (9.4) | <0.001 | 2306 (19.0) | 4867 (10.0) | <0.001 |
| CKD | 381 (3.2) | 969 (2.0) | <0.001 | 372 (3.1) | 1027 (2.1) | <0.001 |
| Myopia | 1169 (9.8) | 3422 (7.2) | <0.001 | 1207 (10.0) | 3562 (7.4) | <0.001 |
| Migraine | 697 (5.8) | 1618 (3.4) | <0.001 | 730 (6.0) | 1815 (3.7) | <0.001 |
| Hypothyroidism | 269 (2.3) | 354 (0.7) | <0.001 | 266 (2.2) | 404 (0.8) | <0.001 |
| OSA | 463 (3.9) | 319 (0.7) | <0.001 | 428 (3.5) | 313 (0.7) | <0.001 |
| Hypotension | 72 (0.6) | 225 (0.5) | 0.067 | 71 (0.6) | 234 (0.5) | 0.151 |
| No. of OAG | 99 | 222 | 122 | 265 | ||
| Incidence % | 1.0 | 0.6 | <0.001 | 1.3 | 0.7 | <0.001 |
| IRR (95% CI) | 1.79 (1.41–2.27) | 1.85 (1.49–2.29) | ||||
| LHID2000 | LHID2005 | |||||||
|---|---|---|---|---|---|---|---|---|
| Variables | Crude HR (95% CI) | p-Value | aHR (95% CI) | p-Value | Crude HR (95% CI) | p-Value | aHR (95% CI) | p-Value |
| Exposure | ||||||||
| Non-obesity | 1 (Reference) | 1 (Reference) | 1 (Reference) | 1 (Reference) | ||||
| Obesity | 1.79 (1.41–2.27) | <0.001 | 1.43 (1.11–1.84) | 0.006 | 1.85 (1.49–2.29) | 122 | 1.54 (1.23–1.94) | <0.001 |
| Gender | ||||||||
| Female | 1 (Reference) | 1 (Reference) | 1 (Reference) | 1 (Reference) | ||||
| Male | 1.23 (0.98–1.54) | 0.076 | 1.21 (0.95–1.52) | 0.120 | 1.16 (0.95–1.43) | 0.153 | 1.19 (0.96–1.47) | 0.109 |
| Age | ||||||||
| Age ≤ 40 | 1 (Reference) | 1 (Reference) | 1 (Reference) | 1 (Reference) | ||||
| Age > 40 | 3.83 (2.94–5.00) | <0.001 | 3.09 (2.26–4.25) | <0.001 | 4.75 (3.66–6.15) | <0.001 | 3.52 (2.64–4.70) | <0.001 |
| Comorbidity | ||||||||
| Diabetes | ||||||||
| No | 1 (Reference) | 1 (Reference) | 1 (Reference) | 1 (Reference) | ||||
| Yes | 2.91 (2.31–3.66) | <0.001 | 1.55 (1.18–2.04) | 0.002 | 3.04 (2.47–3.73) | <0.001 | 1.61 (1.26–2.06) | <0.001 |
| Hypertension | ||||||||
| No | 1 (Reference) | 1 (Reference) | 1 (Reference) | 1 (Reference) | ||||
| Yes | 2.68 (2.16–3.34) | <0.001 | 1.22 (0.92–1.61) | 0.170 | 3.00 (2.46–3.67) | <0.001 | 1.38 (1.07–1.77) | 0.012 |
| Hyperlipidemia | ||||||||
| No | 1 (Reference) | 1 (Reference) | 1 (Reference) | 1 (Reference) | ||||
| Yes | 2.51 (2.01–3.12) | <0.001 | 1.14 (0.87–1.50) | 0.347 | 2.27 (1.86–2.78) | <0.001 | 0.90 (0.71–1.15) | 0.412 |
| IHD | ||||||||
| No | 1 (Reference) | 1 (Reference) | 1 (Reference) | 1 (Reference) | ||||
| Yes | 2.66 (2.08–3.42) | <0.001 | 1.27 (0.95–1.68) | 0.106 | 2.60 (2.07–3.25) | <0.001 | (1.170.91–1.50) | 0.231 |
| CKD | ||||||||
| No | 1 (Reference) | 1 (Reference) | 1 (Reference) | 1 (Reference) | ||||
| Yes | 2.17 (1.29–3.64) | 0.003 | 1.02 (0.60–1.74) | 0.934 | 2.05 (1.28–3.30) | 0.003 | 0.93 (0.57–1.51) | 0.764 |
Publisher’s Note: MDPI stays neutral with regard to jurisdictional claims in published maps and institutional affiliations. |
© 2021 by the authors. Licensee MDPI, Basel, Switzerland. This article is an open access article distributed under the terms and conditions of the Creative Commons Attribution (CC BY) license (https://creativecommons.org/licenses/by/4.0/).
Share and Cite
Chen, W.-D.; Lai, L.-J.; Lee, K.-L.; Chen, T.-J.; Liu, C.-Y.; Yang, Y.-H. Is Obesity a Risk or Protective Factor for Open-Angle Glaucoma in Adults? A Two-Database, Asian, Matched-Cohort Study. J. Clin. Med. 2021, 10, 4021. https://doi.org/10.3390/jcm10174021
Chen W-D, Lai L-J, Lee K-L, Chen T-J, Liu C-Y, Yang Y-H. Is Obesity a Risk or Protective Factor for Open-Angle Glaucoma in Adults? A Two-Database, Asian, Matched-Cohort Study. Journal of Clinical Medicine. 2021; 10(17):4021. https://doi.org/10.3390/jcm10174021
Chicago/Turabian StyleChen, Wei-Dar, Li-Ju Lai, Kang-Lung Lee, Tzeng-Ji Chen, Chia-Yen Liu, and Yao-Hsu Yang. 2021. "Is Obesity a Risk or Protective Factor for Open-Angle Glaucoma in Adults? A Two-Database, Asian, Matched-Cohort Study" Journal of Clinical Medicine 10, no. 17: 4021. https://doi.org/10.3390/jcm10174021
APA StyleChen, W.-D., Lai, L.-J., Lee, K.-L., Chen, T.-J., Liu, C.-Y., & Yang, Y.-H. (2021). Is Obesity a Risk or Protective Factor for Open-Angle Glaucoma in Adults? A Two-Database, Asian, Matched-Cohort Study. Journal of Clinical Medicine, 10(17), 4021. https://doi.org/10.3390/jcm10174021

