Fully Automated Colorimetric Analysis of the Optic Nerve Aided by Deep Learning and Its Association with Perimetry and OCT for the Study of Glaucoma
Abstract
:1. Introduction
2. Materials and Methods
2.1. Automation of the Laguna ONhE Method for Estimation of Haemoglobin in the Optic Nerve Head
2.2. Combination of Laguna ONhE and Perimetric Indices
2.3. Datasets for the Laguna ONhE, OCT and Perimetric Indices
2.4. Statistical Analysis
3. Results
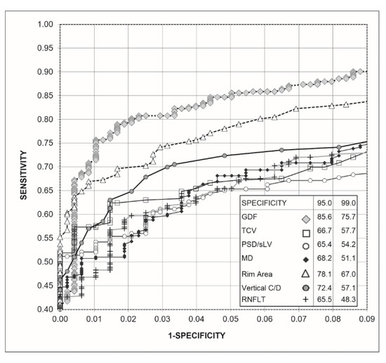
3.1. Results of the Indices of the Three Testing Methods on the Total Sample (without Separating Confirmed and Suspected Glaucoma)
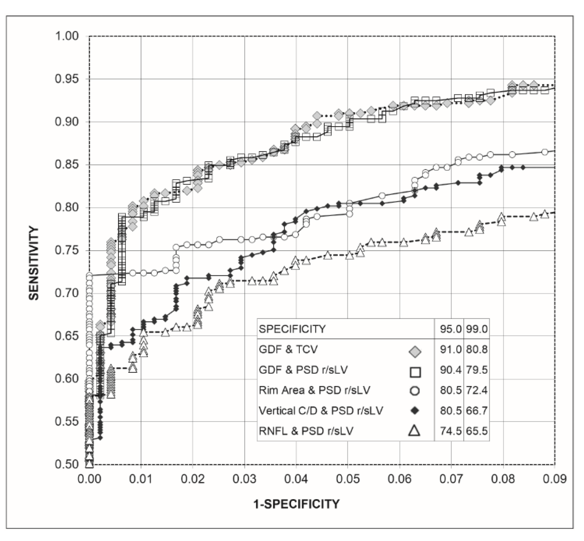
3.2. Combination of Laguna ONhE and Perimetric Indices on the Total Sample (without Separating Confirmed and Suspected Glaucoma)
3.3. Results of the Indices of the Three Testing Methods on the Total Sample Compared to Confirmed and to Suspected Glaucoma
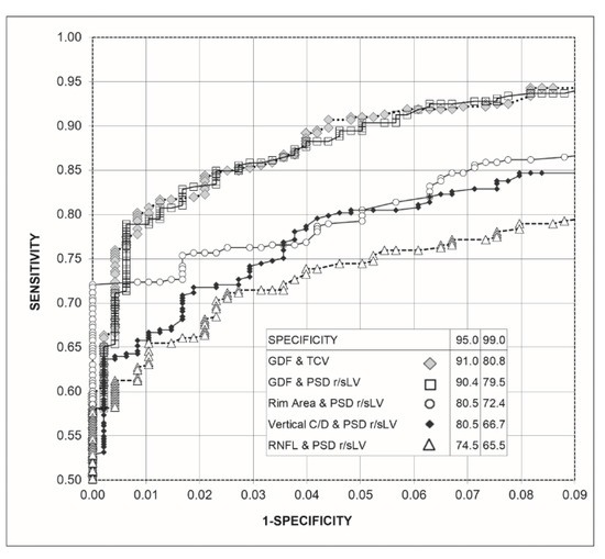
3.4. Performance of Combined Indexes in Normal Subjects as Compared to Confirmed and to Suspected glaucoma
4. Discussion
5. Conclusions
Author Contributions
Funding
Institutional Review Board Statement
Informed Consent Statement
Data Availability Statement
Acknowledgments
Conflicts of Interest
Appendix A. Computing Development Setup


References
- Tham, Y.C.; Li, X.; Wong, T.Y.; Quigley, H.A.; Aung, T.; Cheng, C.Y. Global prevalence of glaucoma and projections of glaucoma burden through 2040: A systematic review and meta-analysis. Ophthalmology 2014, 121, 2081–2090. [Google Scholar] [CrossRef] [PubMed]
- Hoyt, W.F.; Frisén, L.; Newman, N.M. Fundoscopy of nerve fiber layer defects in glaucoma. Investig. Ophthalmol. 1973, 12, 814–829. [Google Scholar]
- Jia, Y.; Morrison, J.C.; Tokayer, J.; Tan, O.; Lombardi, L.; Baumann, B.; Lu, C.D.; Choi, W.; Fujimoto, J.G.; Huang, D. Quantitative OCT angiography of optic nerve head blood flow. Biomed. Opt. Express 2012, 3, 3127–3137. [Google Scholar] [CrossRef] [Green Version]
- de la Rosa, M.G.; Gonzalez-Hernandez, M.; Sigut, J.; Alayon, S.; Radcliffe, N.; Mendez-Hernandez, C.; García-Feijoo, J.; Fuertes-Lazaro, I.; Perez-Olivan, S.; Ferreras, A. Measuring haemoglobin levels in the optic nerve head: Comparisons with other structural and functional parameters of glaucoma. Investig. Ophthalmol. Vis. Sci. 2013, 54, 482–489. [Google Scholar] [CrossRef] [PubMed] [Green Version]
- Pena-Betancor, C.; Gonzalez-Hernandez, M.; Fumero-Batista, F.; Sigut, J.; Medina-Mesa, E.; Alayon, S.; de la Rosa, M.G. Estimation of the relative amount of haemoglobin in the cup and neuroretinal rim using stereoscopic color fundus images. Investig. Ophthalmol. Vis. Sci. 2015, 56, 1562–1568. [Google Scholar] [CrossRef] [PubMed] [Green Version]
- Uña, I.R.; Hernandez, C.M.; Saenz-Frances, F.; Feijóo, J.G. Correlación de la relación excavación/papila óptica medida mediante HRT-III, SD-OCT y el dispositivo de colorimetría fotográfica Laguna OnhE. Arch. Soc. Esp. Oftalmol. 2015, 90, 212–219. [Google Scholar]
- Mendez-Hernandez, C.; Rodriguez-Uña, I.; Rosa, M.G.-d.-l.; Arribas-Pardo, P.; Garcia-Feijoo, J. Glaucoma diagnostic capacity of optic nerve head haemoglobin measures compared with spectral domain OCT and HRT III confocal tomography. Acta Ophthalmol. 2016, 94, 697–704. [Google Scholar] [CrossRef]
- Gonzalez-de-la-Rosa, M.; Gonzalez-Hernandez, M.; Mendez-Hernandez, C.; Garcia-Martin, E.; Fumero-Bautista, F.; Alayon, S.; Sigut, J. Glaucoma imaging: Measuring haemoglobin levels in the optic nerve head for glaucoma management. In Glaucoma Imaging; Ferreras, A., Ed.; Springer: Berlin/Heidelberg, Germany, 2016; pp. 265–280. [Google Scholar]
- Mendez-Hernandez, C.; Garcia-Feijoo, J.; Arribas-Pardo, P.; Saenz-Frances, F.; Rodriguez-Uña, I.; Fernandez-Perez, C.; de la Rosa, M.G. Reproducibility of optic nerve head haemoglobin measures. J. Glaucoma 2016, 25, 348–354. [Google Scholar] [CrossRef]
- Medina-Mesa, E.; Gonzalez-Hernandez, M.; Sigut, J.; Fumero-Batista, F.; Pena-Betancor, C.; Alayon, S.; de la Rosa, M.G. Estimating the amount of haemoglobin in the neuroretinal rim using color images and OCT. Curr. Eye Res. 2016, 41, 798–805. [Google Scholar] [CrossRef]
- Perucho-González, L.; Méndez-Hernández, C.D.; González-de-la-Rosa, M.; Fernández-Pérez, C.; Sáez-Francés, F.; Andrés-Guerrero, V.; García-Feijoó, J. Preliminary study of the differences in optic nerve head haemoglobin measures between patients with and without childhood glaucoma. J. Pediatric Ophthalmol. Strabismus 2017, 54, 387–394. [Google Scholar] [CrossRef] [Green Version]
- Gonzalez-Hernandez, M.; Sigut Saavedra, J.; de la Rosa, M.G. Relationship between retinal nerve fiber layer thickness and haemoglobin present in the optic nerve head in glaucoma. J. Ophthalmol. 2017, 2017, 2340236. [Google Scholar] [CrossRef] [Green Version]
- Gonzalez-Hernandez, D.; Diaz-Aleman, T.; Perez-Barbudo, D.; Mendez-Hernandez, C.; de la Rosa, M.G. Segmentation of the optic nerve head based on Deep Learning to determine its haemoglobin content in normal and glaucomatous subjects. J. Clin. Exp. Opthamol. 2018, 9, 1000760. [Google Scholar] [CrossRef]
- Kapoor, R.; Walters, S.P.; Al-Aswad, L.A. The current state of artificial intelligence in ophthalmology. Surv. Ophthalmol. 2019, 64, 233–240. [Google Scholar] [CrossRef]
- Shibata, N.; Tanito, M.; Mitsuhashi, K.; Fujino, Y.; Matsuura, M.; Murata, H.; Asaoka, R. Development of a deep residual learning algorithm to screen for glaucoma from fundus photography. Sci. Rep. 2018, 8, 14665. [Google Scholar] [CrossRef] [Green Version]
- Ronneberger, O.; Fischer, P.; Brox, T. U-net: Convolutional networks for biomedical image segmentation. In Medical Image Computing and Computer-Assisted Intervention—MICCAI 2015, Proceedings of the International Conference on Medical Image Computing and Computer-Assisted Intervention, Munich, Germany, 5–9 October 2015; Springer: Cham, Switzerland, 2015; pp. 234–241. [Google Scholar]
- Mendez-Hernandez, C.; Wang, S.; Arribas-Pardo, P.; Salazar-Quiñones, L.; Güemes-Villahoz, N.; Fernandez-Perez, C.; Garcia-Feijoo, J. Diagnostic validity of optic nerve head colorimetric assessment and optical coherence tomography angiography in patients with glaucoma. Br. J. Ophthalmol. 2020. [Google Scholar] [CrossRef]
- Abreu-Gonzalez, R.; Gonzalez-Hernandez, M.; Pena-Betancor, C.; Rodriguez-Esteve, P.; De La Rosa, M.G. New visual field indices of disharmony for early diagnosis of glaucoma, alone or associated with conventional parameters. Eur. J. Ophthalmol. 2018, 28, 590–597. [Google Scholar] [CrossRef] [PubMed]
- De La Rosa, M.G.; Gonzalez-Hernandez, M.; Diaz-Aleman, T. Linear regression analysis of the cumulative defect curve by sectors and other criteria of glaucomatous visual field progression. Eur. J. Ophthalmol. 2009, 19, 416–424. [Google Scholar] [CrossRef] [PubMed]
- de la Rosa, M.G.; Gonzalez-Hernandez, M. A Strategy for averaged estimates of visual field threshold: Spark. J. Glaucoma 2013, 22, 284–289. [Google Scholar] [CrossRef] [PubMed]
- de la Rosa, M.G.; Martinez, A.; Sanchez, M.; Mesa, C.; Cordovés, L.; Losada, M.J. Accuracy of the Tendency Oriented Perimetry (TOP) in the Octopus 1-2-3 Perimeter. In Perimetry Update 1996/1997; Wall, M., Wild, J., Eds.; Kugler Publications: Amsterdam, The Netherlands, 1997; pp. 119–123. [Google Scholar]
- Ransohoff, D.F.; Feinstein, A.R. Problems of Spectrum and Bias in Evaluating the Efficacy of Diagnostic Tests. N. Engl. J. Med. 1978, 299, 926–930. [Google Scholar] [CrossRef] [PubMed]
- de la Rosa, M.G.; Gonzalez-Hernandez, M. Gold standards may bias clinical test validation. ARS Clin. Acad. 2020, 6, 5–10. [Google Scholar]
- Delong, E.R.; Delong, D.M.; Clarke-Pearson, D.L. Comparing the Areas under Two or More Correlated Receiver Operating Characteristic Curves: A Nonparametric Approach. Biometrics 1988, 44, 837–845. [Google Scholar] [CrossRef]
- Hogarty, D.T.; Mackey, D.A.; Hewitt, A.W. Current state and future prospects of artificial intelligence in ophthalmology: A re-view. Clin. Exp. Ophthalmol. 2019, 47, 128–139. [Google Scholar] [CrossRef] [Green Version]
- Raghavendra, U.; Fujita, H.; Bhandary, S.V.; Gudigar, A.; Tan, J.H.; Acharya, U.R. Deep convolution neural network for accurate diagnosis of glaucoma using digital fundus images. Inf. Sci. 2018, 441, 41–49. [Google Scholar] [CrossRef]
- Liu, H.; Li, L.; Wormstone, I.M.; Qiao, C.; Zhang, C.; Liu, P.; Li, S.; Wang, H.; Mou, D.; Pang, R.; et al. Development and Validation of a Deep Learning System to Detect Glaucomatous Optic Neuropathy Using Fundus Photographs. JAMA Ophthalmol. 2019, 137, 1353–1360. [Google Scholar] [CrossRef]
- Li, Z.; He, Y.; Keel, S.; Meng, W.; Chang, R.T.; He, M. Efficacy of a Deep Learning System for Detecting Glaucomatous Optic Neuropathy Based on Color Fundus Photographs. Ophthalmology 2018, 125, 1199–1206. [Google Scholar] [CrossRef] [Green Version]
- Du, X.-L.; Li, W.-B.; Hu, B.-J. Application of artificial intelligence in ophthalmology. Int. J. Ophthalmol. 2018, 11, 1555–1561. [Google Scholar] [CrossRef] [PubMed]
- Phan, S.; Satoh, S.; Yoda, Y.; Kashiwagi, K.; Oshika, T.; The Japan Ocular Imaging Registry Research Group. Evaluation of deep convolutional neural networks for glaucoma detection. Jpn. J. Ophthalmol. 2019, 63, 276–283. [Google Scholar] [CrossRef] [PubMed]
- Christopher, M.; Belghith, A.; Bowd, C.; Proudfoot, J.A.; Goldbaum, M.H.; Weinreb, R.N.; Girkin, C.A.; Liebmann, J.M.; Zangwill, L.M. Performance of Deep Learning Architectures and Transfer Learning for Detecting Glaucomatous Optic Neuropathy in Fundus Photographs. Sci. Rep. 2018, 8, 16685. [Google Scholar] [CrossRef] [PubMed] [Green Version]
- Thompson, A.C.; Jammal, A.A.; Medeiros, F.A. A Deep Learning Algorithm to Quantify Neuroretinal Rim Loss From Optic Disc Photographs. Am. J. Ophthalmol. 2019, 201, 9–18. [Google Scholar] [CrossRef] [PubMed]
- Gonzalez-Hernandez, M.; Pablo, L.E.; Armas-Dominguez, K.; de La Vega, R.R.; Ferreras, A.; De La Rosa, M.G. Structure-function relationship depends on glaucoma severity. Br. J. Ophthalmol. 2009, 93, 1195–1199. [Google Scholar] [CrossRef] [Green Version]
- Malik, R.; Swanson, W.H.; Garway-Heath, D. Structure–function relationship in glaucoma: Past thinking and current concepts. Clin. Exp. Ophthalmol. 2012, 40, 369–380. [Google Scholar] [CrossRef] [PubMed]
- Zhang, X.; Trmal, J.; Povey, D.; Khudanpur, S. Improving deep neural network acoustic models using generalized maxout networks. In Proceedings of the 2014 IEEE International Conference on Acoustics, Speech and Signal Processing (ICASSP), Florence, Italy, 4–9 May 2014; Institute of Electrical and Electronics Engineers (IEEE): Piscataway, NJ, USA, 2014; pp. 215–219. [Google Scholar]
- Kingma, D.P.; Ba, J. Adam: A Method for Stochastic Optimization. In Proceedings of the 3rd International Conference on Learning Representations (ICLR), San Diego, CA, USA, 7–9 May 2015; pp. 1–15. [Google Scholar]
- He, K.; Zhang, X.; Ren, S.; Sun, J. Deep Residual Learning for Image Recognition. In Proceedings of the 2016 IEEE Conference on Computer Vision and Pattern Recognition (CVPR), Seattle, WA, USA, 1 June 2016; pp. 770–778. [Google Scholar]
- ImageNet Project. Stanford Vision Lab, Stanford University, Princeton University. 2016. Available online: http://www.image-net.org/ (accessed on 9 November 2020).
- Shin, H.-C.; Roth, H.R.; Gao, M.; Lu, L.; Xu, Z.; Nogues, I.; Yao, J.; Mollura, D.; Summers, R.M. Deep Convolutional Neural Networks for Computer-Aided Detection: CNN Architectures, Dataset Characteristics and Transfer Learning. IEEE Trans. Med. Imaging 2016, 35, 1285–1298. [Google Scholar] [CrossRef] [PubMed] [Green Version]
- Goodfellow, I.; Bengio, Y.; Courville, A. Deep Learning; The MIT Press: Cambridge, MA, USA, 2016; pp. 96–161. [Google Scholar]
- Anzanello, M.J.; Fogliatto, F.S. Learning curve models and applications: Literature review and research directions. Int. J. Ind. Ergon. 2011, 41, 573–583. [Google Scholar] [CrossRef]
- James, G.; Witten, D.; Hastie, T.; Tibshirani, R. An Introduction to Statistical Learning: With Applications in R; Springer-Verlag: New York, NY, USA, 2013; pp. 29–42. [Google Scholar]
- Adebayo, J.; Muelly, M.; Liccardi, I.; Kim, B. Debugging Tests for Model Explanations. arXiv 2020, arXiv:2011.05429. [Google Scholar]
- Hoffer, E.; Hubara, I.; Soudry, D. Train longer, generalize better: Closing the generalization gap in large batch training of neural networks. In Proceedings of the 31st International Conference on Neural Information Processing Systems, Long Beach, CA, USA, 4 December 2017; pp. 1729–1739. [Google Scholar]




| GDF | RNFLT | Rim Area | OCT-C/D | MD | PSDr | TCV | |
|---|---|---|---|---|---|---|---|
| AUC | 0.970 | 0.875 | 0.926 | 0.921 | 0.897 | 0.883 | 0.904 |
| SE | 0.0054 | 0.0135 | 0.0104 | 0.0099 | 0.012 | 0.013 | 0.0115 |
| CI | 0.956–0.981 | 0.850–0.897 | 0.906–0.943 | 0.901–0.939 | 0.874–0.917 | 0.859–0.904 | 0.881–0.923 |
| GDF | RNFLT | Rim Area | OCT-C/D | MD | PSD-sLVr | ||
| RNFLT | p < 0.0001 | ||||||
| Rim Area | p < 0.0001 | p < 0.0001 | |||||
| OCT-C/D | p < 0.0001 | p = 0.0006 | p = 0.5812 | ||||
| MD | p < 0.0001 | p = 0.1389 | p = 0.0422 | p = 0.0869 | |||
| PSDr | p < 0.0001 | p = 0.6013 | p = 0.0039 | p = 0.0083 | p = 0.0692 | ||
| TCV | p < 0.0001 | p < 0.0001 | p = 0.0824 | p = 0.1731 | p = 0.5053 | p = 0.0066 |
| GDF and TCV | GDF and PSDr | Rim Area and PSDr | OCT-C/D and PSDr | RNFLT and PSDr | |
|---|---|---|---|---|---|
| AUC | 0.978 | 0.976 | 0.945 | 0.947 | 0.915 |
| SE | 0.00459 | 0.00506 | 0.00872 | 0.0079 | 0.0109 |
| CI | 0.965–0.987 | 0.963–0.986 | 0.927–0.960 | 0.929–0.961 | 0.894–0.933 |
| GDF and TCV | GDF and PSDr | Rim Area and PSDr | OCT-C/D and PSDr | ||
| GDF and PSDr | p = 0.2974 | ||||
| Rim Area and PSDr | p = 0.0001 | p = 0.0002 | |||
| OCT-C/D and PSDr | p < 0.0001 | p < 0.0001 | p = 0.8728 | ||
| RNFLT and PSDr | p < 0.0001 | p < 0.0001 | p = 0.0015 | p = 0.0004 |
| GDF | RNFLT | Rim Area | OCT-C/D | MD | PSDr | TCV | |
|---|---|---|---|---|---|---|---|
| AUC susp. | 0.932 | 0.709 | 0.827 | 0.834 | 0.687 | 0.651 | 0.718 |
| AUC conf. | 0.986 | 0.944 | 0.968 | 0.958 | 0.985 | 0.98 | 0.981 |
| SE susp. | 0.013 | 0.0303 | 0.025 | 0.0223 | 0.0297 | 0.0311 | 0.029 |
| SE conf. | 0.00437 | 0.0107 | 0.00877 | 0.00867 | 0.00316 | 0.00432 | 0.00391 |
| CI susp. | 0.908–0.951 | 0.670–0.746 | 0.794–0.857 | 0.801–0.864 | 0.647–0.725 | 0.611–0.690 | 0.679–0.754 |
| CI conf. | 0.974–0.993 | 0.925–0.960 | 0.952–0.979 | 0.940–0.971 | 0.973–0.993 | 0.966–0.989 | 0.968–0.990 |
| GDF | RNFLT | Rim Area | OCT-C/D | MD | PSDr | ||
| RNFLT susp. | p < 0.0001 | ||||||
| RNFLT conf. | p = 0.0002 | ||||||
| RimArea susp. | p < 0.0001 | p = 0.0002 | |||||
| Rim Area conf. | p = 0.0635 | p = 0.0490 | |||||
| OCT-C/D susp. | p < 0.0001 | p = 0.0001 | p = 0.7755 | ||||
| OCT-C/D conf. | p = 0.0019 | p = 0.2691 | p = 0.1642 | ||||
| MD susp. | p < 0.0001 | p = 0.5917 | p = 0.0004 | p = 0.0001 | |||
| MD conf. | p = 0.8630 | p = 0.0002 | p = 0.0636 | p = 0.0025 | |||
| PSDr susp. | p < 0.0001 | p = 0.1429 | p < 0.0001 | p < 0.0001 | p = 0.2399 | ||
| PSDr conf. | p = 0.2847 | p = 0.0015 | p = 0.2264 | p = 0.0199 | p = 0.2146 | ||
| TCV susp. | p < 0.0001 | p = 0.8057 | p = 0.0022 | p = 0.0008 | p = 0.2796 | p = 0.0050 | |
| TCV conf. | p = 0.3720 | p = 0.0008 | p = 0.1663 | p = 0.0106 | p = 0.2885 | p = 0.6232 |
| GDF and TCV | GDF and PSDr | Rim Area and PSDr | OCT-C/D and PSDr | RNFLT and PSDr | |
|---|---|---|---|---|---|
| AUC conf. | 0.995 | 0.995 | 0.988 | 0.988 | 0.987 |
| AUC susp | 0.935 | 0.932 | 0.843 | 0.847 | 0.742 |
| SE conf. | 0.0021 | 0.0021 | 0.0049 | 0.0035 | 0.0033 |
| SE susp. | 0.013 | 0.015 | 0.024 | 0.022 | 0.029 |
| CI conf. | 0.987–0.999 | 0.987–0.999 | 0.977–0.995 | 0.977–0.995 | 0.976–0.994 |
| CI susp | 0.912–0.954 | 0.908–0.951 | 0.810–0.871 | 0.815–0.876 | 0.704–0.77 |
| GDF and TCV | GDF and PSDr | Rim Area and PSDr | OCT-C/D and PSDr | ||
| GDF and PSDr conf. | p = 0.695 | ||||
| GDF and PSDr susp. | p = 0.323 | ||||
| Rim Area and PSDr conf. | p = 0.187 | p = 0.195 | |||
| Rim Area and PSDr susp. | p < 0.0001 | p = 0.0002 | |||
| OCT-C/D and PSDr conf. | p = 0.060 | p = 0.064 | p = 0.8728 | ||
| OCT-C/D and PSDr susp. | p < 0.0001 | p < 0.0001 | p = 0.839 | ||
| RNFLT and PSDr conf. | p = 0.036 | p = 0.037 | p = 0.852 | p = 0.859 | |
| RNFLT and PSDr susp. | p < 0.0001 | p < 0.0001 | p = 0.0005 | p = 0.0001 |
Publisher’s Note: MDPI stays neutral with regard to jurisdictional claims in published maps and institutional affiliations. |
© 2021 by the authors. Licensee MDPI, Basel, Switzerland. This article is an open access article distributed under the terms and conditions of the Creative Commons Attribution (CC BY) license (https://creativecommons.org/licenses/by/4.0/).
Share and Cite
Gonzalez-Hernandez, M.; Gonzalez-Hernandez, D.; Perez-Barbudo, D.; Rodriguez-Esteve, P.; Betancor-Caro, N.; Gonzalez de la Rosa, M. Fully Automated Colorimetric Analysis of the Optic Nerve Aided by Deep Learning and Its Association with Perimetry and OCT for the Study of Glaucoma. J. Clin. Med. 2021, 10, 3231. https://doi.org/10.3390/jcm10153231
Gonzalez-Hernandez M, Gonzalez-Hernandez D, Perez-Barbudo D, Rodriguez-Esteve P, Betancor-Caro N, Gonzalez de la Rosa M. Fully Automated Colorimetric Analysis of the Optic Nerve Aided by Deep Learning and Its Association with Perimetry and OCT for the Study of Glaucoma. Journal of Clinical Medicine. 2021; 10(15):3231. https://doi.org/10.3390/jcm10153231
Chicago/Turabian StyleGonzalez-Hernandez, Marta, Daniel Gonzalez-Hernandez, Daniel Perez-Barbudo, Paloma Rodriguez-Esteve, Nisamar Betancor-Caro, and Manuel Gonzalez de la Rosa. 2021. "Fully Automated Colorimetric Analysis of the Optic Nerve Aided by Deep Learning and Its Association with Perimetry and OCT for the Study of Glaucoma" Journal of Clinical Medicine 10, no. 15: 3231. https://doi.org/10.3390/jcm10153231
APA StyleGonzalez-Hernandez, M., Gonzalez-Hernandez, D., Perez-Barbudo, D., Rodriguez-Esteve, P., Betancor-Caro, N., & Gonzalez de la Rosa, M. (2021). Fully Automated Colorimetric Analysis of the Optic Nerve Aided by Deep Learning and Its Association with Perimetry and OCT for the Study of Glaucoma. Journal of Clinical Medicine, 10(15), 3231. https://doi.org/10.3390/jcm10153231

