Efficacy and Safety of Empagliflozin Continuation in Patients with Type 2 Diabetes Hospitalised for Acute Decompensated Heart Failure
Abstract
:1. Introduction
2. Material and Methods
2.1. Study Design and Patients
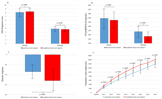
2.2. Study Outcomes
2.3. Statistical Analysis
2.4. Ethics Approval and Consent to Participate
3. Results
4. Discussion
5. Conclusions
Author Contributions
Funding
Institutional Review Board Statement
Informed Consent Statement
Data Availability Statement
Conflicts of Interest
References
- Lara-Rojas, C.M.; Pérez-Belmonte, L.M.; López-Carmona, M.D.; Guijarro-Merino, R.; Bernal-López, M.R.; Gómez-Huelgas, R. National trends in diabetes mellitus hospitalization in Spain 1997–2010: Analysis of over 5.4 millions of admissions. Eur. J. Intern. Med. 2019, 60, 83–89. [Google Scholar] [CrossRef] [PubMed]
- Butler, J.; Januzzi, J.L.; Rosenstock, J. Management of heart failure and type 2 diabetes mellitus: Maximizing complementary drug therapy. Diabetes Obes. Metab. 2020, 22, 1243–1262. [Google Scholar] [CrossRef]
- Zinman, B.; Wanner, C.; Lachin, J.M.; Fitchett, D.; Bluhmki, E.; Hantel, S.; Mattheus, M.; Devins, T.; Johansen, O.E.; Woerle, H.J.; et al. Empagliflozin, cardiovascular outcomes, and mortality in type 2 diabetes. N. Engl. J. Med. 2015, 373, 2117–2128. [Google Scholar] [CrossRef] [PubMed]
- Neal, B.; Perkovic, V.; Mahaffey, K.W.; de Zeeuw, D.; Fulcher, G.; Erondu, N.; Shaw, W.; Law, G.; Desai, M.; Matthews, D.R. Canagliflozin and cardiovascular and renal events in type 2 diabetes. N. Engl. J. Med. 2017, 377, 644–657. [Google Scholar] [CrossRef] [PubMed]
- Perkovic, V.; Jardine, M.J.; Neal, B.; Bompoint, S.; Heerspink, H.J.L.; Charytan, D.M.; Edwards, R.; Agarwal, R.; Bakris, G.; Bull, S.; et al. Canagliflozin and renal outcomes in type 2 diabetes and nephropathy. N. Engl. J. Med. 2019, 380, 2295–2306. [Google Scholar] [CrossRef] [Green Version]
- Wiviott, S.D.; Raz, I.; Bonaca, M.P.; Mosenzon, O.; Kato, E.T.; Cahn, A.; Silverman, M.G.; Zelniker, T.A.; Kuder, J.F.; Murphy, S.A.; et al. Dapagliflozin and Cardiovascular Outcomes in Type 2 Diabetes. N. Engl. J. Med. 2019, 380, 347–357. [Google Scholar] [CrossRef]
- Cannon, C.P.; Pratley, R.; Dagogo-Jack, S.; Mancuso, J.; Huyck, S.; Masiukiewicz, U.; Charbonnel, B.; Frederich, R.; Gallo, S.; Cosentino, F.; et al. Cardiovascular Outcomes with Ertugliflozin in Type 2 Diabetes. N. Engl. J. Med. 2020, 383, 1425–1435. [Google Scholar] [CrossRef]
- McMurray, J.J.; Solomon, S.D.; Inzucchi, S.E.; Køber, L.; Kosiborod, M.N.; Martinez, F.A.; Ponikowski, P.; Sabatine, M.S.; Anand, I.S.; Bělohlávek, J.; et al. Dapagliflozin in patients with heart failure and reduced ejection fraction. N. Engl. J. Med. 2019, 381, 1995–2008. [Google Scholar] [CrossRef] [PubMed] [Green Version]
- Umpierrez, G.E.; Smiley, D.; Zisman, A.; Prieto, L.M.; Palacio, A.; Ceron, M.; Puig, A.; Mejia, R. Randomized study of basal-bolus insulin therapy in the inpatient management of patients with type 2 diabetes (RABBIT 2 trial). Diabetes Care 2007, 30, 2181–2186. [Google Scholar] [CrossRef] [PubMed] [Green Version]
- Umpierrez, G.E.; Smiley, D.; Jacobs, S.; Peng, L.; Temponi, A.; Mulligan, P.; Umpierrez, D.; Newton, C.; Olson, D.; Rizzo, M. Randomized study of basal-bolus insulin therapy in the inpatient management of patients with type 2 diabetes undergoing general surgery (RABBIT 2 surgery). Diabetes Care 2011, 34, 256–261. [Google Scholar] [CrossRef] [Green Version]
- Umpierrez, G.E.; Gianchandani, R.; Smiley, D.; Jacobs, S.; Wesorick, D.H.; Newton, C.; Farrokhi, F.; Peng, L.; Reyes, D.; Lathkar-Pradhan, S.; et al. Safety and efficacy of sitagliptin therapy for the inpatient management of general medicine and surgery patients with type 2 diabetes: A pilot, randomized, controlled study. Diabetes Care 2013, 36, 3430–3435. [Google Scholar] [CrossRef] [PubMed] [Green Version]
- Pasquel, F.J.; Gianchandani, R.; Rubin, D.J.; Dungan, K.M.; Anzola, I.; Gomez, P.C.; Peng, L.; Hodish, I.; Bodnar, T.; Wesorick, D.; et al. Efficacy of sitagliptin for the hospital management of general medicine and surgery patients with type 2 diabetes (Sita-Hospital): A multicentre, prospective, open-label, non-inferiority randomized trial. Lancet Diabetes Endocrinol. 2017, 5, 125–133. [Google Scholar] [CrossRef]
- Garg, R.; Schuman, B.; Hurwitz, S.; Metzger, C.; Bhandari, S. Safety and efficacy of saxagliptin for glycemic control in non-critically ill hospitalized patients. BMJ Open Diabetes Res. Care 2017, 5, e000394. [Google Scholar] [CrossRef] [PubMed] [Green Version]
- Vellanki, P.; Rasouli, N.; Baldwin, D.; Alexanian, S.; Anzola, I.; Urrutia, M.; Cardona, S.; Peng, L.; Pasquel, F.J.; Umpierrez, G.E. Glycaemic Efficacy and Safety of Linagliptin compared to Basal-Bolus Insulin Regimen in Patients with Type 2 Diabetes Undergoing Non-Cardiac Surgery: A Multicenter Randomised Clinical Trial. Diabetes Obes. Metab. 2019, 21, 837–843. [Google Scholar] [CrossRef] [PubMed]
- Lorenzo-González, C.; Atienza-Sánchez, E.; Reyes-Umpierrez, D.; Vellanki, P.; Davis, G.M.; Pasquel, F.J.; Cardona, S.; Fayfman, M.; Peng, L.; Umpierrez, G.E. Safety and efficacy of DDP4-Inhibitors for management of hospitalised general medicine and surgery patients with type 2 diabetes. Endocr. Pract. 2020. [Google Scholar] [CrossRef]
- Pérez-Belmonte, L.M.; Gómez-Doblas, J.J.; Millán-Gómez, M.; López-Carmona, M.D.; Guijarro-Merino, R.; Carrasco-Chinchilla, F.; de Teresa-Galván, E.; Jiménez-Navarro, M.; Bernal-López, M.R.; Gómez-Huelgas, R. Use of Linagliptin for the Management of Medicine Department Inpatients with Type 2 Diabetes in Real-World Clinical Practice (Lina-Real-World Study). J. Clin. Med. 2018, 7, 271. [Google Scholar] [CrossRef] [PubMed] [Green Version]
- Pérez-Belmonte, L.M.; Osuna-Sánchez, J.; Millán-Gómez, M.; López-Carmona, M.D.; Gómez-Doblas, J.J.; Cobos-Palacios, L.; Sanz-Cánovas, J.; Barbancho, M.A.; Lara, J.P.; Jiménez-Navarro, M.; et al. Glycaemic efficacy and safety of linagliptin for the management of non-cardiac surgery patients with type 2 diabetes in a real-world setting: Lina-Surg study. Ann. Med. 2019, 51, 252–261. [Google Scholar] [CrossRef]
- Pérez-Belmonte, L.M.; Osuna-Sánchez, J.; Rico-Robles, J.I.; Ricci, M.; Lara, J.P.; Gómez-Huelgas, R. Simplified glycemic management for patients with type 2 diabetes admitted for acute decompensated heart failure using linagliptin. Med. Clin. 2021, S0025-7753(21)00128-7. [Google Scholar] [CrossRef]
- Pérez-Belmonte, L.M.; Osuna-Sánchez, J.; Ricci, M.; Millán-Gómez, M.; López-Carmona, M.D.; Barbancho, M.A.; Bernal-López, M.R.; Jansen-Chaparro, S.; Lara, J.P.; Gómez-Huelgas, R. Management of older hospitalized patients with type 2 diabetes using linagliptin: Lina-Older Study. Panminerva Med. 2021. [Google Scholar] [CrossRef]
- Damman, K.; Beusekamp, J.; Boorsma, E.; Swart, H.P.; Smilde, T.D.J.; Elvan, A.; van Eck, J.W.M.; Heerspink, H.J.L.; Voors, A.A. Randomised, double-blind, placebo-controlled, multicentre pilot study on the effects of empagliflozin on clinical outcomes in patients with acute decompensated heart failure (EMPA-RESPONSE-AHF). Eur. J. Heart Fail. 2020, 22, 713–722. [Google Scholar] [CrossRef] [PubMed] [Green Version]
- Tamaki, S.; Yamada, T.; Watanabe, T.; Morita, T.; Furukawa, Y.; Kawasaki, M.; Kikuchi, A.; Kawai, T.; Seo, M.; Abe, M.; et al. Effect of Empagliflozin as an Add-On Therapy on Decongestion and Renal Function in Patients With Diabetes Hospitalised for Acute Decompensated Heart Failure: A Prospective Randomised Controlled Study. Circ. Heart Fail. 2021, 14, e007048. [Google Scholar] [CrossRef] [PubMed]
- Bhatt, D.L.; Szarek, M.; Steg, P.G.; Cannon, C.P.; Leiter, L.A.; McGuire, D.K.; Lewis, J.B.; Riddle, M.C.; Voors, A.A.; Metra, M.; et al. Sotagliflozin in Patients with Diabetes and Recent Worsening Heart Failure. N. Engl. J. Med. 2021, 384, 117–128. [Google Scholar] [CrossRef] [PubMed]
- ClinicalTrials.gov. A Study to Test the Effect of Empagliflozin in Patients Who Are in Hospital for Acute Heart Failure; Identifier NCT04157751; National Library of Medicine: Bethesda, MD, USA, 2019. Available online: https://clinicaltrials.gov/ct2/show/NCT04157751?term=NCT04157751&draw=2&rank=1 (accessed on 30 July 2021).
- ClinicalTrials.gov. Dapagliflozin and Effect on Cardiovascular events in Acute Heart Failure-Thrombolysis in Myocardial Infarction 68 (DAPA ACT HF-TIMI 68); Identifier NCT04363697; National Library of Medicine: Bethesda, MD, USA, 2020. Available online: https://clinicaltrials.gov/ct2/show/NCT04363697?term=NCT04363697&draw=2&rank=1 (accessed on 30 July 2021).
- ClinicalTrials.gov. Dapagliflozin Heart Failure Readmission; Identifier NCT04249778; National Library of Medicine: Bethesda, MD, USA, 2020. Available online: https://clinicaltrials.gov/ct2/show/NCT04249778?term=NCT04249778&draw=2&rank=1 (accessed on 30 July 2021).
- Valente, M.A.; Hillege, H.L.; Navis, G.; Voors, A.A.; Dunselman, P.H.; van Veldhuisen, D.J.; Damman, K. The Chronic Kidney Disease Epidemiology Collaboration equation outperforms the Modification of Diet in Renal Disease equation for estimating glomerular filtration rate in chronic systolic heart failure. Eur. J. Heart Fail. 2014, 16, 86–94. [Google Scholar] [CrossRef]
- American Diabetes Association. Glycemic targets: Standards of Medical Care in Diabetes-2021. Diabetes Care 2021, 44, S73–S84. [Google Scholar] [CrossRef] [PubMed]
- Ponikowski, P.; Voors, A.A.; Anker, S.D.; Bueno, H.; Cleland, J.G.; Coats, A.J.; Falk, V.; González-Juanatey, J.R.; Harjola, V.P.; Jankowska, E.A.; et al. 2016 ESC Guidelines for the diagnosis and treatment of acute and chronic heart failure: The Task Force for the diagnosis and treatment of acute and chronic heart failure of the European Society of Cardiology (ESC). Developed with the special contribution of the Heart Failure Association (HFA) of the ESC. Eur. J. Heart Fail. 2016, 18, 891–975. [Google Scholar] [CrossRef]
- Massie, B.M.; O’Connor, C.M.; Metra, M.; Ponikowski, P.; Teerlink, J.R.; Cotter, G.; Weatherley, B.D.; Cleland, J.G.; Givertz, M.M.; Voors, A.; et al. Rolofylline, an adenosine A1-receptor antagonist, in acute heart failure. N. Engl. J. Med. 2010, 363, 1419–1428. [Google Scholar] [CrossRef] [PubMed]
- Packer, M.; O’Connor, C.; McMurray, J.J.; Wittes, J.; Abraham, W.T.; Anker, S.D.; Dickstein, K.; Filippatos, G.; Holcomb, R.; Krum, H.; et al. Effect of ularitide on cardiovascular mortality in acute heart failure. N. Engl. J. Med. 2017, 376, 1956–1964. [Google Scholar] [CrossRef]
- Metra, M.; Teerlink, J.R.; Cotter, G.; Davison, B.A.; Felker, G.M.; Filippatos, G.; Greenberg, B.H.; Pang, P.S.; Ponikowski, P.; Voors, A.A.; et al. Effects of serelaxin in patients with acute heart failure. N. Engl. J. Med. 2019, 381, 716–726. [Google Scholar] [CrossRef]
- American Diabetes Association. Diabetes care in the hospital: Standards of Medical Care in Diabetes-2021. Diabetes Care 2021, 44, S211–S220. [Google Scholar] [CrossRef] [PubMed]
- Boucai, L.; Southern, W.N.; Zonszein, J. Hypoglycemia-associated mortality is not drug-associated but linked to comorbidities. Am. J. Med. 2011, 124, 1028–1035. [Google Scholar] [CrossRef] [PubMed] [Green Version]


| Pre-Propensity Matching Analysis | Post-Propensity Matching Analysis | |||||||
|---|---|---|---|---|---|---|---|---|
| Basal-Bolus (n = 196) | Empagliflozin-Basal (n = 151) | Standardised Difference | p-Value | Basal-Bolus (n = 91) | Empagliflozin-Basal (n = 91) | Standardised Difference | p-Value | |
| Age (years) | 73.6 ± 6.2 | 70.2 ± 5.4 | 0.127 | 0.034 | 72.7 ± 5.8 | 72.0 ± 5.6 | 0.009 | 0.349 |
| Women | 106 (54.1%) | 71 (47.0%) | 0.109 | 0.044 | 48 (52.7%) | 46 (50.5%) | 0.011 | 0.401 |
| Body weight (kg) | 88.9 ± 8.3 | 90.9 ± 11.7 | 0.042 | 0.154 | 89.4 ± 8.6 | 90.0 ± 10.9 | 0.003 | 0.451 |
| Body Mass Index (kg/m2) | 28.9 ± 1.6 | 29.8 ± 2.5 | 0.020 | 0.198 | 29.0 ± 1.8 | 29.4 ± 2.4 | 0.008 | 0.417 |
| Body Mass Index ≥30 | 64 (32.7%) | 51 (33.8%) | 0.037 | 0.277 | 30 (33.0%) | 30 (33.0%) | 0.001 | 0.554 |
| Abdominal circumference (cm) | 94.5 ± 7.0 | 98.0 ± 10.0 | 0.071 | 0.103 | 96.0 ± 7.4 | 96.9 ± 8.9 | 0.006 | 0.389 |
| Systolic blood pressure (mmHg) | 136.5 ± 14.3 | 130.4 ± 13.5 | 0.047 | 0.152 | 134.1 ± 14.0 | 132.9 ± 13.8 | 0.022 | 0.178 |
| Diastolic blood pressure (mmHg) | 72.6 ± 8.4 | 68.9 ± 8.0 | 0.036 | 0.144 | 70.8 ± 8.2 | 69.1 ± 8.1 | 0.010 | 0.270 |
| Diabetes duration (years) | 9.2 ± 3.4 | 8.5 ± 3.3 | 0.074 | 0.102 | 9.0 ± 3.4 | 8.8 ± 3.3 | 0.009 | 0.425 |
| Diabetes therapy at admission | ||||||||
| Monotherapy | 28 (14.3%) | 20 (13.2%) | 0.059 | 0.121 | 13 (14.3%) | 12 (13.2%) | 0.014 | 0.268 |
| Combination of oral glucose—lowering drugs | 168 (85.7%) | 131 (86.8%) | 0.059 | 0.121 | 78 (85.7%) | 79 (86.8%) | 0.015 | 0.249 |
| Biguanide | 123 (62.8%) | 92 (60.9%) | 0.022 | 0.201 | 57 (62.6%) | 56 (61.5%) | 0.008 | 0.344 |
| Sulfonylurea | 20 (10.2%) | 16 (10.6%) | 0.020 | 0.211 | 9 (10.0%) | 9 (10.0%) | 0.002 | 0.559 |
| Dipeptidyl peptidase-4 inhibitor | 49 (25.0%) | 36 (23.8%) | 0.024 | 0.226 | 22 (24.2%) | 22 (24.2%) | 0.002 | 0.472 |
| Glucagon-like peptide-1 receptor agonist | 59 (30.1%) | 50 (33.1%) | 0.041 | 0.147 | 28 (30.8%) | 30 (33.0%) | 0.017 | 0.222 |
| Insulin therapy | 51 (26.0%) | 36 (23.8%) | 0.048 | 0.155 | 23 (25.3%) | 22 (24.2%) | 0.012 | 0.274 |
| Chronic Heart failure | 141 (71.9%) | 113 (74.8%) | 0.039 | 0.134 | 67 (73.6%) | 68 (74.7%) | 0.015 | 0.257 |
| NYHA functional classification | 0.109 | 0.044 | 0.024 | 0.194 | ||||
| II | 137 (69.9%) | 96 (63.6%) | 61 (67.0%) | 59 (64.8%) | ||||
| III | 54 (27.5%) | 53 (35.1%) | 28 (30.8%) | 30 (33.0%) | ||||
| IV | 5 (2.6%) | 2 (1.3%) | 2 (2.2%) | 2 (2.2%) | ||||
| Left ventricular ejection fraction | 47.5 ± 23.0 | 45.7 ± 24.8 | 0.048 | 0.157 | 47.0 ± 23.0 | 46.8 ± 24.1 | 0.009 | 0.377 |
| Left ventricular ejection fraction <40% | 164 (42.8%) | 111 (43.7%) | 0.011 | 0.252 | 63 (43.2%) | 63 (43.2%) | 0.001 | 0.519 |
| Principal cause of heart failure | 0.035 | 0.114 | 0.026 | 0.185 | ||||
| Ischemic | 99 (50.5%) | 78 (51.7%) | 46 (50.5%) | 47 (51.6%) | ||||
| Nonischemic | 79 (40.3%) | 60 (39.7%) | 37 (40.7%) | 36 (39.6%) | ||||
| Unknown | 18 (9.2%) | 13 (8.6%) | 8 (8.8%) | 8 (8.8%) | ||||
| Prior hospitalization for heart failure | 101 (51.5%) | 84 (55.6%) | 0.051 | 0.131 | 48 (52.7%) | 50 (54.9%) | 0.020 | 0.227 |
| Heart failure medication | ||||||||
| Loop diuretic | 173 (90.0%) | 131 (86.8%) | 0.039 | 0.137 | 81 (89.0%) | 79 (86.8%) | 0.029 | 0.201 |
| Thiazide diuretic | 20 (10.2%) | 17 (11.2%) | 0.018 | 0.233 | 10 (11.0%) | 10 (11.0%) | 0.011 | 0.298 |
| Other diuretic | 4 (2.0%) | 3 (2.0%) | 0.029 | 0.190 | - | - | - | - |
| Angiotensin-converting enzyme inhibitor | 88 (45.0%) | 65 (43.0%) | 0.030 | 0.177 | 40 (44.0%) | 40 (44.0%) | 0.004 | 0.419 |
| Angiotensin-receptor blocker | 64 (32.7%) | 50 (33.1%) | 0.037 | 0.114 | 30 (33.0%) | 30 (30.0%) | 0.005 | 0.422 |
| Sacubitril-valsartan | 30 (15.3%) | 25 (16.6%) | 0.019 | 0.231 | 14 (15.4%) | 15 (16.5%) | 0.008 | 0.342 |
| Beta-blocker | 151 (77.0%) | 119 (78.8%) | 0.027 | 0.192 | 71 (78.0%) | 71 (78.0%) | 0.005 | 0.417 |
| Mineralocorticoid receptor antagonist | 70 (35.7%) | 59 (39.1%) | 0.052 | 0.103 | 33 (36.3%) | 35 (38.5%) | 0.020 | 0.216 |
| Digitalis | 18 (9.2%) | 13 (8.6%) | 0.029 | 0.247 | 8 (8.8%) | 8 (8.5%) | 0.006 | 0.419 |
| History of smoking | 99 (50.5%) | 81 (53.6%) | 0.039 | 0.149 | 46 (50.5%) | 48 (52.7%) | 0.029 | 0.284 |
| History of alcohol use disorder | 65 (33.2%) | 54 (35.8%) | 0.048 | 0.122 | 31 (34.1%) | 32 (35.2%) | 0.021 | 0.237 |
| Hypertension | 140 (73.4%) | 114 (75.5%) | 0.037 | 0.198 | 67 (73.6%) | 68 (74.7%) | 0.029 | 0.272 |
| Dyslipidaemia | 138 (70.4%) | 110 (72.8%) | 0.049 | 0.181 | 65 (71.4%) | 66 (72.2%) | 0.018 | 0.202 |
| Chronic kidney disease | 38 (19.4%) | 22 (14.6%) | 0.089 | 0.086 | 17 (18.7%) | 15 (16.5%) | 0.017 | 0.198 |
| Cerebrovascular disease | 10 (5.1%) | 9 (5.9%) | 0.027 | 0.213 | 5 (5.5%) | 5 (5.5%) | 0.009 | 0.412 |
| Chronic obstructive pulmonary disease | 79 (40.5%) | 65 (43.0%) | 0.029 | 0.229 | 37 (40.7%) | 39 (42.9%) | 0.026 | 0.221 |
| Atrial fibrillation | 60 (30.6%) | 53 (35.1%) | 0.067 | 0.100 | 29 (31.9%) | 31 (34.1%) | 0.021 | 0.241 |
| Laboratory findings at admission | ||||||||
| Glucose (mg/dL) | 143.2 ± 16.5 | 150.1 ± 18.4 | 0.027 | 0.184 | 147.2 ± 17.2 | 148.9 ± 18.0 | 0.009 | 0.402 |
| Glycated haemoglobin (%) | 7.1 ± 0.5 | 7.2 ± 0.6 | 0.012 | 0.249 | 7.1 ± 0.5 | 7.2 ± 0.6 | 0.008 | 0.426 |
| NT-proBNP (pg/mL) | 3351 ± 921 | 3192 ± 808 | 0.042 | 0.184 | 3281 ± 817 | 3201 ± 801 | 0.011 | 0.307 |
| Creatinine (mg/dL) | 1.39 ± 0.48 | 1.31 ± 0.45 | 0.039 | 0.298 | 1.33 ± 0.46 | 1.35 ± 0.46 | 0.008 | 0.419 |
| eGFR (mL/min/1.73 m2) | 54.0 ± 19 | 58.0 ± 20 | 0.067 | 0.103 | 56.0 ± 19 | 57.20 ± 19 | 0.009 | 0.409 |
| Uric acid (mg/dL) | 6.4 ± 1.7 | 6.0 ± 1.6 | 0.027 | 0.219 | 6.2 ± 1.6 | 6.1 ± 1.6 | 0.008 | 0.385 |
| Sodium (mmol/L) | 136.0 ± 8.6 | 137.0 ± 9.2 | 0.030 | 0.249 | 136.0 ± 8.6 | 137.0 ± 8.9 | 0.009 | 0.407 |
| Potassium (mmol/L) | 4.7 ± 1.9 | 4.9 ± 1.9 | 0.038 | 0.219 | 4.8 ± 1.9 | 4.8 ± 1.9 | 0.004 | 0.459 |
| Aspartate aminotransferase (IU/L) | 23 ± 15 | 29 ± 16 | 0.029 | 0.237 | 25 ± 16 | 27 ± 16 | 0.016 | 0.302 |
| Alanine aminotransferase (IU/L) | 31 ± 19 | 37 ± 20 | 0.032 | 0.260 | 32 ± 19 | 34 ± 20 | 0.020 | 0.216 |
| Gamma-glutamyltransferase (IU/L) | 42 ± 21 | 53 ± 24 | 0.049 | 0.204 | 46 ± 22 | 50 ± 23 | 0.027 | 0.199 |
| Pre-Propensity Matching Analysis | Post-Propensity Matching Analysis | |||||||
|---|---|---|---|---|---|---|---|---|
| Basal-Bolus (n = 196) | Empagliflozin-Basal (n = 151) | Standardised Difference | p Value | Basal-bolus (n = 91) | Empagliflozin-Basal (n = 91) | Standardised Difference | p Value | |
| Glycaemic control | ||||||||
| Mean BG during hospitalisation (mg/dL) | 149.5 ± 16.9 | 158.1 ± 20.2 | 0.131 | 0.041 | 152.1 ± 17.8 | 155.2 ± 19.7 | 0.014 | 0.289 |
| Pre-breakfast mean BG (mg/dL) | 145.1 ± 15.6 | 153.4 ± 18.0 | 0.088 | 0.087 | 150.0 ± 16.7 | 151.9 ± 18.4 | 0.028 | 0.192 |
| Pre-lunch mean BG (mg/dL) | 157.8 ± 19.4 | 169.2 ± 22.9 | 0.142 | 0.040 | 160.4 ± 19.4 | 164.5 ± 19.7 | 0.022 | 0.183 |
| Pre-dinner mean BG (mg/dL) | 153.9 ± 18.2 | 160.5 ± 19.2 | 0.069 | 0.068 | 156.4 ± 19.7 | 160.9 ± 19.8 | 0.019 | 0.201 |
| Bedtime mean BG (mg/dL) | 157.1 ± 19.1 | 168.0 ± 21.0 | 0.073 | 0.081 | 160.1 ± 19.9 | 164.2 ± 20.0 | 0.014 | 0.217 |
| Patients with mean BG 100-140 mg/dL | 40 (20.4%) | 27 (17.9%) | 0.091 | 0.089 | 17 (18.7%) | 16 (17.6%) | 0.022 | 0.169 |
| Patients with mean BG 140-180 mg/dL | 75 (38.3%) | 61 (40.4%) | 0.083 | 0.105 | 36 (39.6%) | 36 (39.6%) | 0.019 | 0.301 |
| Patients with mean BG 180-250 mg/dL | 18 (9.2%) | 22 (14.6%) | 0.148 | 0.039 | 11 (12.1%) | 13 (14.3%) | 0.016 | 0.284 |
| Number of treatment failures | 28 (14.3%) | 32 (21.2%) | 0.151 | 0.036 | 16 (17.6%) | 18 (19.8%) | 0.019 | 0.299 |
| Day of treatment failure | 2.6 ± 1.3 | 2.0 ± 1.3 | 0.068 | 0.208 | 2.6 ± 1.3 | 2.1 ± 1.3 | 0.067 | 0.164 |
| Insulin therapy | ||||||||
| Total insulin dose (Units per day) | 31.0 ± 5.5 | 20.3 ± 4.3 | 0.287 | <0.001 | 29.0 ± 5.0 | 20.1 ± 4.1 | 0.291 | <0.001 |
| Total basal insulin dose (Units per day) | 15.0 ± 2.7 | 16.8 ± 3.0 | 0.081 | 0.117 | 15.1 ± 2.9 | 16.1 ± 2.9 | 0.015 | 0.296 |
| Total prandial rapid-acting insulin dose (Units per day) | 10.0 ± 3.0 | - | - | - | 9.0 ± 3.0 | - | - | - |
| Total supplemental rapid-acting insulin dose (Units per day) | 5.5 ± 1.2 | 6.1 ± 1.9 | 0.079 | 0.223 | 5.9 ± 1.1 | 6.1 ± 1.8 | 0.010 | 0.311 |
| Number of injections per day during hospital stay | 4.0 ± 0.0 | 2.3 ± 0.7 | 0.273 | <0.001 | 4.0 ± 0.0 | 2.3 ± 0.8 | 0.354 | <0.001 |
| Pre-Propensity Matching Analysis | Post-Propensity Matching Analysis | |||||||
|---|---|---|---|---|---|---|---|---|
| Basal-Bolus (n = 196) | Empagliflozin-Basal (n = 151) | Standardised Difference | p Value | Basal-Bolus (n = 91) | Empagliflozin-Basal (n = 91) | Standardised Difference | p Value | |
| Adverse events | ||||||||
| Total number | 39 (19.9%) | 23 (15.2%) | 0.061 | 0.178 | 17 (18.7%) | 14 (15.4%) | 0.052 | 0.181 |
| Cardiovascular | 14 (7.1%) | 7 (4.6%) | 0.103 | 0.042 | 7 (7.7%) | 5 (5.5%) | 0.048 | 0.199 |
| Respiratory | 10 (5.1%) | 6 (4.0%) | 0.041 | 0.199 | 4 (4.4%) | 4 (4.4%) | 0.024 | 0.298 |
| Infectious | 7 (3.6%) | 4 (2.6%) | 0.058 | 0.187 | 3 (3.3%) | 2 (2.2%) | 0.059 | 0.179 |
| Thromboembolic | 2 (1.0%) | 1 (0.7%) | 0.034 | 0.210 | 1 (1.1%) | 1 (1.1%) | 0.021 | 0.290 |
| Renal/Urinary | 5 (2.6%) | 5 (3.3%) | 0.084 | 0.094 | 2 (2.2%) | 2 (2.2%) | 0.019 | 0.293 |
| Other | 1 (0.5%) | 0 | 0.021 | 0.304 | 0 | 0 | NA | NA |
| Adverse events of special interest | 8 (4.1%) | 9 (6.0%) | 0.073 | 0.104 | 4 (4.4%) | 5 (5.5%) | 0.031 | 0.202 |
| Worsening heart failure | 12 (6.1%) | 5 (3.3%) | 0.109 | 0.043 | 6 (6.6%) | 3 (3.3%) | 0.093 | 0.067 |
| Discontinuation | - | 12 (7.9%) | NA | NA | - | 6 (6.6%) | NA | NA |
| Hypoglycaemia | ||||||||
| Total number of hypoglycaemic episodes | 46 | 20 | 0.201 | 0.002 | 24 | 12 | 0.288 | <0.001 |
| Patients with 1 hypoglycaemic episodes | 30 (15.3%) | 13 (8.6%) | 0.265 | <0.001 | 13 (14.3%) | 8 (8.8%) | 0.112 | 0.039 |
| Patients with ≥2 hypoglycaemic episodes | 25 (12.8%) | 7 (4.6%) | 0.302 | <0.001 | 10 (11.0%) | 5 (5.5%) | 0.147 | 0.012 |
| Hypoglycaemias incidence rate (per 100 patient-years) | 17.9 | 6.6 | <0.001 | 16.0 | 8.4 | 0.002 | ||
| Patients with any level 1 hypoglycaemia | 24 (12.2%) | 10 (6.6%) | 0.149 | 0.014 | 10 (11.0%) | 6 (6.6%) | 0.152 | 0.021 |
| Patients with any level 2 hypoglycaemia | 8 (4.1%) | 3 (1.2%) | 0.104 | 0.043 | 3 (3.3%) | 2 (2.2%) | 0.083 | 0.109 |
| Patients with any level 3 hypoglycaemia | 4 (2.0%) | 1 (0.4%) | 0.102 | 0.044 | 1 (1.1%) | 1 (1.1%) | 0.051 | 0.179 |
| Length of hospital stay (days) | 8.0 ± 2.5 | 7.5 ± 2.3 | 0.032 | 0.221 | 8.0 ± 2.5 | 7.9 ± 2.3 | 0.017 | 0.284 |
| In-hospital death | 9 (4.6%) | 6 (4.0%) | 0.065 | 0.179 | 4 (4.4%) | 4 (4.4%) | 0.014 | 0.301 |
Publisher’s Note: MDPI stays neutral with regard to jurisdictional claims in published maps and institutional affiliations. |
© 2021 by the authors. Licensee MDPI, Basel, Switzerland. This article is an open access article distributed under the terms and conditions of the Creative Commons Attribution (CC BY) license (https://creativecommons.org/licenses/by/4.0/).
Share and Cite
Pérez-Belmonte, L.M.; Ricci, M.; Sanz-Cánovas, J.; Millán-Gómez, M.; Osuna-Sánchez, J.; Ruiz-Moreno, M.I.; Bernal-López, M.R.; López-Carmona, M.D.; Jiménez-Navarro, M.; Gómez-Doblas, J.J.; et al. Efficacy and Safety of Empagliflozin Continuation in Patients with Type 2 Diabetes Hospitalised for Acute Decompensated Heart Failure. J. Clin. Med. 2021, 10, 3540. https://doi.org/10.3390/jcm10163540
Pérez-Belmonte LM, Ricci M, Sanz-Cánovas J, Millán-Gómez M, Osuna-Sánchez J, Ruiz-Moreno MI, Bernal-López MR, López-Carmona MD, Jiménez-Navarro M, Gómez-Doblas JJ, et al. Efficacy and Safety of Empagliflozin Continuation in Patients with Type 2 Diabetes Hospitalised for Acute Decompensated Heart Failure. Journal of Clinical Medicine. 2021; 10(16):3540. https://doi.org/10.3390/jcm10163540
Chicago/Turabian StylePérez-Belmonte, Luis M., Michele Ricci, Jaime Sanz-Cánovas, Mercedes Millán-Gómez, Julio Osuna-Sánchez, M. Isabel Ruiz-Moreno, M. Rosa Bernal-López, María D. López-Carmona, Manuel Jiménez-Navarro, Juan J. Gómez-Doblas, and et al. 2021. "Efficacy and Safety of Empagliflozin Continuation in Patients with Type 2 Diabetes Hospitalised for Acute Decompensated Heart Failure" Journal of Clinical Medicine 10, no. 16: 3540. https://doi.org/10.3390/jcm10163540
APA StylePérez-Belmonte, L. M., Ricci, M., Sanz-Cánovas, J., Millán-Gómez, M., Osuna-Sánchez, J., Ruiz-Moreno, M. I., Bernal-López, M. R., López-Carmona, M. D., Jiménez-Navarro, M., Gómez-Doblas, J. J., Lara, J. P., & Gómez-Huelgas, R. (2021). Efficacy and Safety of Empagliflozin Continuation in Patients with Type 2 Diabetes Hospitalised for Acute Decompensated Heart Failure. Journal of Clinical Medicine, 10(16), 3540. https://doi.org/10.3390/jcm10163540

