Prevalence of Chronic Fatigue Syndrome (CFS) in Korea and Japan: A Meta-Analysis
Abstract
1. Introduction
2. Methods
2.1. Data Sources and Keywords
2.2. Eligibility and Exclusion Criteria
2.3. Review Process
2.4. Statistical Analysis
3. Results
3.1. Study Characteristics
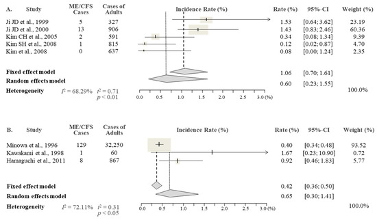
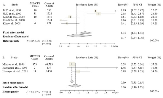
3.2. CFS Prevalence
4. Discussion
Author Contributions
Funding
Conflicts of Interest
References
- Van’t Leven, M.; Zielhuis, G.A.; van der Meer, J.W.; Verbeek, A.L.; Bleijenberg, G. Fatigue and chronic fatigue syndrome-like complaints in the general population. Eur. J. Public Health 2010, 20, 251–257. [Google Scholar] [CrossRef] [PubMed]
- Jorgensen, R. Chronic fatigue: An evolutionary concept analysis. J. Adv. Nurs. 2008, 63, 199–207. [Google Scholar] [CrossRef] [PubMed]
- Kapur, N.; Webb, R. Suicide risk in people with chronic fatigue syndrome. Lancet 2016, 387, 1596–1597. [Google Scholar] [CrossRef]
- Speight, N. Myalgic encephalomyelitis/chronic fatigue syndrome: Review of history, clinical features, and controversies. Saudi J. Med. Med. Sci. 2013, 1, 11–13. [Google Scholar] [CrossRef]
- Institute of Medicine. Beyond Myalgic Encephalomyelitis/Chronic Fatigue Syndrome; Redefining an Illness. Institute of Medicine of the National Academies, 2015. Available online: www.nap.edu (accessed on 4 January 2021).
- Lim, E.J.; Ahn, Y.C.; Jang, E.S.; Lee, S.W.; Lee, S.H.; Son, C.G. Systematic review and meta-analysis of the prevalence of chronic fatigue syndrome/myalgic encephalomyelitis (CFS/ME). J. Transl. Med. 2020, 18, 100. [Google Scholar] [CrossRef] [PubMed]
- Jason, L.A.; Porter, N.; Brown, M.; Anderson, V.; Brown, A.; Hunnell, J.; Lerch, A. CFS: A review of epidemiology and natural history studies. Bull. IACFS/ME 2009, 17, 88–106. [Google Scholar]
- Kim, H.; Ryu, D.R. Difference in stroke incidence between Korean and Japanese patients initiating dialysis—Era or ethnic effect? Int. J. Cardiol. 2016, 202, 942. [Google Scholar] [CrossRef] [PubMed]
- Ji, J.D.; Choi, S.J.; Lee, Y.H.; Song, G.G. Incidence and clinical manifestations of chronic fatigue in Korea. Korean J. Med. 1999, 56, 738–744. [Google Scholar]
- Ji, J.D.; Choi, Y.S.; Chun, B.C.; Choi, S.J.; Lee, Y.H.; Song, G.G. The prevalence and clinical manifestations of chronic fatigue syndrome in persons who visited health management center. Korean J. Med. 2000, 59, 529–534. [Google Scholar]
- Kim, C.H.; Shin, H.C.; Won, C.W. Prevalence of chronic fatigue and chronic fatigue syndrome in Korea: Community-based primary care study. J. Korean Med. Sci. 2005, 20, 529–534. [Google Scholar] [CrossRef]
- Kim, S.H. Prevalence of chronic widespread pain and chronic fatigue syndrome in young Korean adults. J. Musculoskelet. Pain 2008, 16, 149–153. [Google Scholar] [CrossRef]
- Kim, S.H.; Lee, K.; Lim, H.S. Prevalence of chronic widespread pain and chronic fatigue syndrome in Korean livestock raisers. J. Occup. Health 2008, 50, 525–528. [Google Scholar] [CrossRef]
- Minowa, M.; Jiamo, M. Descriptive epidemiology of chronic fatigue syndrome based on a nationwide survey in Japan. J. Epidemiol. 1996, 6, 75–80. [Google Scholar] [CrossRef] [PubMed][Green Version]
- Kawakami, N.; Iwata, N.; Fujihara, S.; Kitamura, T. Prevalence of chronic fatigue syndrome in a community population in Japan. Tohoku J. Exp. Med. 1998, 186, 33–42. [Google Scholar] [CrossRef] [PubMed]
- Hamaguchi, M.; Kawahito, Y.; Takeda, N.; Kato, T.; Kojima, T. Characteristics of chronic fatigue syndrome in a Japanese community population. Clin. Rheumatol. 2011, 30, 895–906. [Google Scholar] [CrossRef] [PubMed]
- GBD 2016 Multiple Sclerosis Collaborators. Global, regional, and national burden of multiple sclerosis 1990–2016: A systematic analysis for the Global Burden of Disease Study 2016. Lancet Neurol. 2019, 18, 269–285. [Google Scholar] [CrossRef]
- Fukuda, K.; Straus, S.E.; Hickie, I.; Sharpe, M.C.; Dobbins, J.G.; Komarof, A. The chronic fatigue syndrome: A comprehensive approach to its definition and study. Ann. Intern. Med. 1994, 121, 953–959. [Google Scholar] [CrossRef] [PubMed]
- Kim, D.Y.; Lee, J.S.; Park, S.Y.; Kim, S.J.; Son, C.G. Systematic review of randomized controlled trials for chronic fatigue syndrome/myalgic encephalomyelitis (CFS/ME). J. Transl. Med. 2020, 18, 7. [Google Scholar] [CrossRef]
- Bested, A.C.; Marshall, L.M. Review of myalgic encephalomyelitis/chronic fatigue syndrome: An evidence-based approach to diagnosis and management by clinicians. Rev. Environ. Health 2015, 30, 223–249. [Google Scholar] [CrossRef] [PubMed]
- Ma, D.; Sakai, H.; Wakabayashi, C.; Kwon, J.S.; Lee, Y.; Liu, S.; Wan, Q.; Sasao, K.; Ito, K.; Nishihara, K.; et al. The prevalence and risk factor control associated with noncommunicable diseases in China, Japan, and Korea. J. Epidemiol. 2017, 27, 568–573. [Google Scholar] [CrossRef] [PubMed]




| Group | Korea | Japan | Total |
|---|---|---|---|
| Number of studies included (%) | 5 (63) | 3 (37) | 8 (100) |
| Community | 2 (25) | 2 (25) | 4 (50) |
| Primary care | 3 (38) | 1 (12) | 4 (50) |
| Total number of participants | 6319 | 66,350 | 72,669 |
| (Average ± SD) | (1264 ± 496) | (22,365 ± 37,369) | (9173 ± 22,766) |
| Number of participants Male/Female | 3276/3043 | 33,177/33,173 | 36,453/36,216 |
| (male: female Ratio %) | (52:48) | (50:50) | (50:50) |
| Mean age of participants ± | 30.3 ± 11.9 | 46.7 ± 10.4 | 38.5 ± 14.9 |
| Year of publication (N. of participants) | |||
| 1994–2000 | 2 (2056) | 2 (64,920) | 4 (66,976) |
| 2001–2010 | 3 (4263) | 3 (4263) | |
| 2011–2018 | 1 (1430) | 1 (1430) | |
| Diagnostic method | |||
| Interview (medical test −) | 2 (2615) | 2 (64,920) | 4 (67,535) |
| Interview (medical test +) | 3 (3704) | 1 (1430) | 4 (5134) |
Publisher’s Note: MDPI stays neutral with regard to jurisdictional claims in published maps and institutional affiliations. |
© 2021 by the authors. Licensee MDPI, Basel, Switzerland. This article is an open access article distributed under the terms and conditions of the Creative Commons Attribution (CC BY) license (https://creativecommons.org/licenses/by/4.0/).
Share and Cite
Lim, E.-J.; Son, C.-G. Prevalence of Chronic Fatigue Syndrome (CFS) in Korea and Japan: A Meta-Analysis. J. Clin. Med. 2021, 10, 3204. https://doi.org/10.3390/jcm10153204
Lim E-J, Son C-G. Prevalence of Chronic Fatigue Syndrome (CFS) in Korea and Japan: A Meta-Analysis. Journal of Clinical Medicine. 2021; 10(15):3204. https://doi.org/10.3390/jcm10153204
Chicago/Turabian StyleLim, Eun-Jin, and Chang-Gue Son. 2021. "Prevalence of Chronic Fatigue Syndrome (CFS) in Korea and Japan: A Meta-Analysis" Journal of Clinical Medicine 10, no. 15: 3204. https://doi.org/10.3390/jcm10153204
APA StyleLim, E.-J., & Son, C.-G. (2021). Prevalence of Chronic Fatigue Syndrome (CFS) in Korea and Japan: A Meta-Analysis. Journal of Clinical Medicine, 10(15), 3204. https://doi.org/10.3390/jcm10153204
