Major Left Bundle Branch Block and Coronary Heart Disease—Are There Any Differences between the Sexes?
Abstract
1. Introduction
2. Materials and Methods
3. Results
4. Discussion
5. Conclusions
Author Contributions
Funding
Institutional Review Board Statement
Informed Consent Statement
Acknowledgments
Conflicts of Interest
References
- Rotman, M.; Triebwasser, J.H. A clinical and follow-up study of right and left bundle branch block. Circulation 1975, 51, 477–484. [Google Scholar] [CrossRef]
- Clerc, O.F.; Possner, M.; Maire, R.; Liga, R.; Fuchs, T.A.; Stehli, J.; Vontobel, J.; Mikulicic, F.; Gräni, C.; Benz, D.C.; et al. Association of left bundle branch block with obstructive coronary artery disease on coronary CT angiography: A case–control study. Eur. Heart J. Cardiovasc. Imaging 2015, 17, 765–771. [Google Scholar] [CrossRef]
- Thygesen, K.; Alpert, J.S.; Jaffe, A.S.; Simoons, M.L.; Chaitman, B.R.; White, H.D.; Writing Group on behalf of the Joint ESC/ACCF/AHA/WHF Task Force for the Universal Definition of Myocardial Infarction. Third Universal Definition of Myocardial Infarction. Glob. Heart 2012, 7, 275–295. [Google Scholar] [CrossRef]
- Bairey Merz, C.N.; Pepine, C.J.; Walsh, M.N.; Fleg, J.L.; Camici, P.G.; Chilian, W.M.; Clayton, J.A.; Cooper, L.S.; Crea, F.; di Carli, M.; et al. Ischemia and No Obstructive Coronary Artery Disease (INOCA) Developing Evidence-Based Therapies and Research Agenda for the Next Decade. Circulation 2017, 135, 1075–1092. [Google Scholar] [CrossRef] [PubMed]
- Bugiardini, R.; Merz, C.N.B. Angina with “Normal” Coronary Arteries A Changing Philosophy. JAMA 2005, 293, 477–484. [Google Scholar] [CrossRef]
- Rodrigo, F.J.R.; Peralta, J.M.; Arias, E.V.; Barrero, A.A.; Lascorz, T.S.A.; Pereira, E.P.; Chaverri, A.R. Prognostic implication of the coronary microvascular dysfunction in patients with isolated left bundle branch block. World J. Cardiovasc. Dis. 2014, 04, 61–69. [Google Scholar] [CrossRef][Green Version]
- Knuuti, J.; Wijns, W.; Saraste, A.; Capodanno, D.; Barbato, E.; Funck-Brentano, C.; Prescott, E.; Storey, R.F.; Deaton, C.; ESC Scientific Document Group; et al. 2019 ESC Guidelines for the diagnosis and management of chronic coronary syndromes. Eur. Heart J. 2020, 41, 407–477. [Google Scholar] [CrossRef] [PubMed]
- Collet, J.-P.; Thiele, H.; Barbato, E.; Barthélémy, O.; Bauersachs, J.; Bhatt, D.L.; Dendale, P.; Dorobantu, M.; Edvardsen, T.; Folliguet, T.; et al. 2020 ESC Guidelines for the management of acute coronary syndromes in patients presenting without persistent ST-segment elevation. Eur. Heart J. 2021, 42, 1289–1367. [Google Scholar] [CrossRef]
- Nikoo, M.H.; Aslani, A.; Jorat, M.V. LBBB: State-of-the-Art Criteria. Int. Cardivasc. Res. J. 2013, 7, 39–40. [Google Scholar]
- Gepner, A.D.; Piper, M.E.; Leal, M.A.; Asthana, A.; Fiore, M.C.; Baker, T.B.; Stein, J.H. Electrocardiographic Changes Associated with Smoking and Smoking Cessation: Outcomes from a Randomized Controlled Trial. PLoS ONE 2013, 8, e62311. [Google Scholar] [CrossRef]
- Mora-Ramirez, M.; Estevez-Garcia, I.O.; Irigoyen-Camacho, M.E.; Bojalil, R.; Gonzalez-Pacheco, H.; Amez-cua-Guerra, L.M. Hyperuricemia on admission predicts short-term mortality due to myocardial infarction in a population with high prevalence of cardiovascular risk factors. Rev. Investig. Clin. 2017, 69, 247–253. [Google Scholar] [CrossRef] [PubMed]
- Maloberti, A.; Giannattasio, C.; Bombelli, M.; Desideri, G.; Cicero, A.F.G.; Muiesan, M.L.; Rosei, E.A.; Salvetti, M.; Ungar, A.; Working Group on Uric Acid and Cardiovascular Risk of the Italian Society of Hypertension (SIIA); et al. Hyperuricemia and Risk of Cardiovascular Outcomes: The Experience of the URRAH (Uric Acid Right for Heart Health) Project. High Blood Press. Cardiovasc. Prev. 2020, 27, 121–128. [Google Scholar] [CrossRef] [PubMed]
- Kei, A.; Koutsouka, F.; Makri, A.; Elisaf, M. Uric acid and cardiovascular risk: What genes can say. Int. J. Clin. Pract. 2017, 72, e13048. [Google Scholar] [CrossRef]
- Vaccarino, V.; Krumholz, H.M.; Yarzebski, J.; Gore, J.M.; Goldberg, R.J. Sex Differences in 2-Year Mortality after Hospital Discharge for Myocardial Infarction. Ann. Intern. Med. 2001, 134, 173–181. [Google Scholar] [CrossRef] [PubMed]
- De Pooter, J.; Kamoen, V.; El Haddad, M.; Stroobandt, R.; De Buyzere, M.; Jordaens, L.; Timmermans, F. Gender differences in electro-mechanical characteristics of left bundle branch block: Potential implications for selection and response of cardiac resynchronization therapy. Int. J. Cardiol. 2018, 257, 84–91. [Google Scholar] [CrossRef]
- Herz, N.D.; Engeda, J.; Zusterzeel, R.; Sanders, W.E.; O’Callaghan, K.M.; Strauss, D.G.; Jacobs, S.B.; Selzman, K.A.; Piña, I.L.; Caños, D.A. Sex Differences in Device Therapy for Heart Failure: Utilization, Outcomes, and Adverse Events. J. Women Health 2015, 24, 261–271. [Google Scholar] [CrossRef] [PubMed]
- Biton, Y.; Zareba, W.; Goldenberg, I.; Klein, H.U.; McNitt, S.; Polonsky, B.; Moss, A.J.; Kutyifa, V.; MADIT-CRT Executive Committee. Sex Differences in Long-Term Outcomes with Cardiac Resynchronization Therapy in Mild Heart Failure Patients with Left Bundle Branch Block. J. Am. Heart Assoc. 2015, 4, e002013. [Google Scholar] [CrossRef] [PubMed]
- Chan, D.D.; Wu, K.C.; Loring, Z.; Galeotti, L.; Gerstenblith, G.; Tomaselli, G.; Weiss, R.G.; Wagner, G.S.; Strauss, D.G. Comparison of the Relation Between Left Ventricular Anatomy and QRS Duration in Patients with Cardiomyopathy with Versus without Left Bundle Branch Block. Am. J. Cardiol. 2014, 113, 1717–1722. [Google Scholar] [CrossRef][Green Version]
- Gjesdal, O.; Remme, E.W.; Opdahl, A.; Skulstad, H.; Russell, K.; Kongsgaard, E.; Edvardsen, T.; Smiseth, O.A. Mechanisms of Abnormal Systolic Motion of the Interventricular Septum During Left Bundle-Branch Block. Circ. Cardiovasc. Imaging 2011, 4, 264–273. [Google Scholar] [CrossRef]
- Little, W.C.; Reeves, R.C.; Arciniegas, J.; Katholi, R.E.; Rogers, E.W. Mechanism of abnormal inter-ventricular septal motion during delayed left-ventricular activation. Circulation 1982, 65, 1486–1491. [Google Scholar] [CrossRef]
- Iqbal, A.T.; Ayub, M.; Salehuddin, M.; Ahmed, K. Coronary Angiographic Findings among the Left Bundle Branch Block Patients. Univ. Heart J. 2018, 12, 88–90. [Google Scholar] [CrossRef]
- Nguyen, K.; Cigarroa, J.E.; Lange, R.A.; Hillis, L.D.; Keeley, E.C. Presence and extent of angiographic coronary narrowing in patients with left bundle branch block. Am. J. Cardiol. 2004, 93, 1426–1427. [Google Scholar] [CrossRef] [PubMed]
- Biceroglu, S.; Yildiz, A.; Bayata, S.; Yesil, M.; Postaci, N. Is There an Association Between Left Bundle Branch Block and Coronary Slow Flow in Patients with Normal Coronary Arteries? Angiology 2007, 58, 685–688. [Google Scholar] [CrossRef]
- Abrol, R.; Trost, J.C.; Nguyen, K.; Cigarroa, J.E.; Murphy, S.A.; McGuire, D.K.; Hillis, L.D.; Keeley, E.C. Predictors of Coronary Artery Disease in Patients with Left Bundle Branch Block Undergoing Coronary Angiography. Am. J. Cardiol. 2006, 98, 1307–1310. [Google Scholar] [CrossRef] [PubMed]
- Lund, L.H.; Benson, L.; Ståhlberg, M.; Braunschweig, F.; Edner, M.; Dahlström, U.; Linde, C. Age, prognostic impact of QRS prolongation and left bundle branch block, and utilization of cardiac resynchronization therapy: Findings from 14713 patients in the Swedish Heart Failure Registry. Eur. J. Heart Fail. 2014, 16, 1073–1081. [Google Scholar] [CrossRef] [PubMed]
- Hertzeanu, H.; Aron, L.; Shiner, R.J.; Kellermann, J. Exercise dependent complete left bundle branch block. Eur. Heart J. 1992, 13, 1447–1451. [Google Scholar] [CrossRef]
- Riera, J.C.; Martínez, G.O.; Vega, J.; Gordillo, E.; Ferreira, I.; Peña, C.; Castell, J.; Aguadé, S.; Soler, J.S. Exercise-Induced Left Bundle-Branch Block in Patients with Coronary Artery Disease versus Patients with Normal Coronary Arteries. Rev. Esp. Cardiol. 2002, 55, 474–480. [Google Scholar] [CrossRef]
- Kafka, H.; Burggraf, G.W. Exercise-induced left bundle branch block and chest discomfort without myocardial ischemia. Am. J. Cardiol. 1984, 54, 676–677. [Google Scholar] [CrossRef]
- Grines, C.L.; Bashore, T.M.; Boudoulas, H.; Olson, S.; Shafer, P.; Wooley, C.F. Functional abnormalities in isolated left bundle branch block. The effect of interventricular asynchrony. Circulation 1989, 79, 845–853. [Google Scholar] [CrossRef]
- Freedman, R.A.; Alderman, E.L.; Sheffield, L.T.; Saporito, M.; Fisher, L.D. Bundle branch block in patients with chronic coronary artery disease: Angiographic correlates and prognostic significance. J. Am. Coll. Cardiol. 1987, 10, 73–80. [Google Scholar] [CrossRef]







| Variable | Details | Women | Men | Total | Statistics |
|---|---|---|---|---|---|
| Gender | 35 (50.0%) | 35 (50.0%) | 70 | ||
| Age | M (min:max) μ ± SD | 66 (47:88) 65.43 ± 8.51 | 69 (48:87) 68.60 ± 9.1 | 67 (47:88) 67.01 ± 8.89 | T-test: p = 0.137 |
| Smoking | 10 (28.6%) | 34 (97.1%) | 44 (62.9%) | OR = 0.004 (0.00, 0.10, p < 0.001) | |
| HR (b/min) | M (min:max) μ ± SD | 70 (55:120) 72.80 ± 14.8 | 72 (50:145) 74.20 ± 16.8 | 71 (50:145) 73.50 ± 15.7 | MW: p = 0.616 |
| Systolic blood pressure (mmHg) | M (min:max) μ ± SD | 130 (110:190) 132.14 ± 16.7 | 130 (100:180) 133.14 ± 20.0 | 130 (100:190) 132.64 ± 18.3 | MW: p = 0.797 |
| Diastolic blood pressure (mmHg) | M (min:max) μ ± SD | 80 (60:100) 77.43 ± 12.2 | 80 (60:100) 79.29 ± 10.6 | 80 (60:100) 78.36 ± 11.4 | MW: p = 0.363 |
| Arterial hypertension | 31 (88.6%) | 30 (85.7%) | 61 (87.1%) | OR = 1.29 [0.32, 5.28] (p > 0.999) | |
| Diabetes mellitus | 15 (42.9%) | 10 (28.6%) | 25 (35.7%) | OR = 1.87 [0.69, 5.06] (p = 0.318) | |
| Obesity | 28 (80.0%) | 21 (60.0%) | 49 (70.0%) | OR = 2.67 [0.92, 7.77] (p = 0.117) | |
| HDL-c (mg/dL) | M (min:max) μ ± SD | 42 (25:57) 40.94 ± 7.87 | 38 (25:69) 40.51 ± 10.1 | 40 (25:69) 40.73 ± 9.0 | MW: p = 0.441 |
| Triglycerides (mg/dL) | M (min:max) μ ± SD | 161 (60:472) 168.37 ± 77.0 | 135 (47:473) 145.71 ± 69.3 | 150.5 (47:473) 157.04 ± 73.6 | MW: p = 0.121 |
| Glucose levels (mg/dL) | M (min:max) μ ± SD | 109 (85:247) 121.51 ± 41.1 | 101 (82:225) 108.69 ± 28.4 | 102.5 (82:247) 115.10 ± 35.7 | MW: p = 0.105 |
| Uric acid | M (min:max) μ ± SD | 6.32 (2.78:9.95) 6.43 ± 1.68 | 7.1 (4.64:11.45) 7.73 ± 2.09 | 6.65 (2.78:11.45) 7.08 ± 1.99 | MW: p = 0.021 |
| Typical angina | 30 (85.7%) | 22 (62.9%) | 52 (74.3%) | OR = 3.55 [1.10, 11.41] (p = 0.054) | |
| Atypical chest pain | 4 (11.4%) | 6 (17.1%) | 10 (14.3%) | OR = 0.62 [0.16, 2.44] (p = 0.734) | |
| Troponins | Elevated Normal value | 1 (7.7%) 12 (92.3%) | 2 (18.2%) 9 (81.8%) | 3 (12.5%) 21 (87.5%) | OR = 0.38 [0.03, 4.81] p = 0.576 |
| NT-proBNP > 125 pg/mL | 6 (17.1%) | 9 (25.7%) | 15 (21.4%) | OR = 0.60 [0.19, 1.91] (p = 0.561) | |
| NT-proBNP (pg/mL) | M (min:max) μ ± SD | 2164 (300:7735) 2719.50 ± 2674.5 | 2071 (1107:4602) 2377.11 ± 1266.5 | 2071 (300:7735) 2514.07 ± 1871.2 | MW: p = 0.955 |
| QRS (msec) | M (min:max) μ ± SD | 130 (120:160) 132.57 ± 9.19 | 140 (120:150) 136.86 ± 8.32 | 130 (120:160) 134.71 ± 8.96 | MW: p = 0.018 |
| LBBB | - new onset - permanent - intermittent - rate dependent | 12 (34.3%) 22 (62.9%) 1 (2.9%) 0 | 8 (22.9%) 24 (68.6%) 2 (5.7%) 1 (2.9%) | 20 (28.6%) 46 (65.7%) 3 (4.3%) 1 (1.4%) | V = 0.18 (p = 0.528) |
| LVEDD (mm) | M (min:max) μ ± SD | 52 (38:70) 53.77 ± 8.0 | 58 (40:87) 59.20 ± 9.83 | 55.5 (38:87) 56.49 ± 9.31 | T-test: p = 0.014 |
| LVESD (mm) | M (min:max) μ ± SD | 36 (23:60) 37.91 ± 10.5 | 43 (20:77) 45.14 ± 11.5 | 40 (20:77) 41.53 ± 11.5 | MW: p = 0.004 |
| LVEF % | M (min:max) μ ± SD | 47 (30:68) 43.86 ± 8.9 | 43 (25:55) 41.94 ± 8.72 | 45 (25:68) 42.90 ± 8.8 | MW: p = 0.488 |
| Atrial fibrillation | 8 (22.9%) | 13 (37.1%) | 21 (30.0%) | OR = 0.50 [0.18, 1.43] (p = 0.297) | |
| Heart failure | 23 (65.7%) | 27 (77.1%) | 50 (71.4%) | OR = 0.57 [0.20, 1.63] (p = 0.428) | |
| NYHA classification | II III | 9 (39.1%) 14 (60.9%) | 14 (51.9%) 13 (48.1%) | 23 (46.0%) 27 (54.0%) | OR = 0.60 [0.19, 1.84] (p = 0.407) |
| Variable | Details | Female | Male | Total | Statistics |
|---|---|---|---|---|---|
| Gender | 35 (50%) | 35 (50%) | 70 | ||
| Normal coronary arteries | 28 (80.0%) | 23 (65.7%) | 51 (72.9%) | OR = 2.09 [0.71, 6.16] (p = 0.282) | |
| Microvascular disfunction | 28 (100%) | 23 (100%) | 51 (100%) |
| Subset | N | Mean ± SD | Med (min:max) |
|---|---|---|---|
| QRS (ms) (Shapiro—Wilk normality test: p < 0.001) | |||
| (total) | 70 (100.0%) | 134.714 ± 8.96 | 130.00 (120.00:160.0) |
| Coronary lessions (Wilcoxon rank sum test with continuity correction: p = 0.675) | |||
| yes | 19 (27.1%) | 133.684 ± 6.84 | 130.00 (120.00:150.0) |
| no | 51 (72.9%) | 135.098 ± 9.67 | 130.00 (120.00:160.0) |
| Coronary lessions4 (Kruskal—Wallis rank sum test: p = 0.415) | |||
| none | 51 (72.9%) | 135.098 ± 9.67 | 130.00 (120.00:160.0) |
| univascular | 9 (12.9%) | 132.222 ± 6.67 | 130.00 (130.00:150.0) |
| bivascular | 5 (7.1%) | 132.000 ± 8.37 | 130.00 (120.00:140.0) |
| trivascular | 5 (7.1%) | 138.000 ±4.47 | 140.00 (130.00:140.0) |
| Subset | N | Mean ± SD | Med (min:max) |
|---|---|---|---|
| QRS (ms) (Shapiro—Wilk normality test: p < 0.001) | |||
| (total) | 70 (100.0%) | 134.714 ± 8.96 | 130.00 (120.00:160.0) |
| IVS dissynchronism (Wilcoxon rank sum test with continuity correction: p = 0.414) | |||
| Yes | 68 (97.1%) | 134.853 ± 9.06 | 130.00 (120.00:160.0) |
| No | 2 (2.9%) | 130.000 ± 0.00 | 130.00 (130.00:130.0) |
| IVS size (mm) (Spearman’s rank correlation rho: R = −0.091, p = 0.452) | |||
| (total) | 70 (100.0%) | 11.671 ± 1.64 | 12.00 (8.00:16.0) |
| Diastolic LV diameter (mm) (Spearman’s rank correlation rho: R = 0.476, p < 0.001) | |||
| (total) | 70 (100.0%) | 56.486 ± 9.31 | 55.50 (38.00:87.0) |
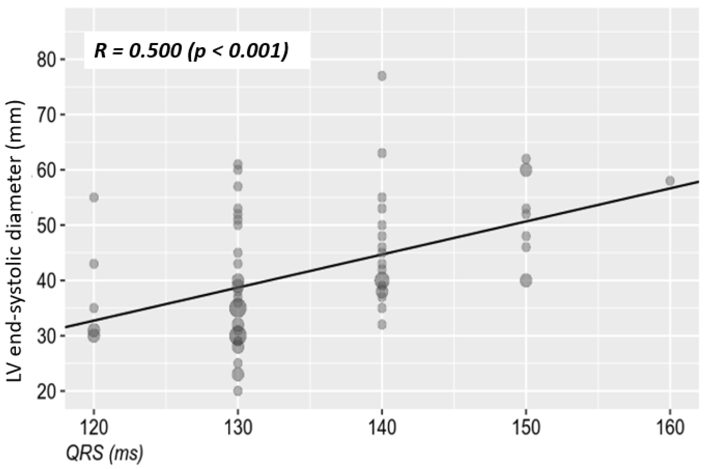
| Systolic LV diameter (mm) (Spearman’s rank correlation rho: R = 0.499, p < 0.001) | |||
| (total) | 70 (100.0%) | 41.529 ± 11.53 | 40.00 (20.00:77.0) |
| Variable | Details | F | M | Total | Statistics |
|---|---|---|---|---|---|
| Gender | 35 (50%) | 35 (35%) | 70 | ||
| Heart failure | 23 (65.7%) | 27(77.1%) | 50 (71.4%) | OR = 0.57 [0.20, 1.63] (p = 0.428) | |
| NYHA classification | II III | 9 (39.1%) 14 (60.9%) | 14 (51.9%) 13 (48.1%) | 23 (46.0%) 27 (54.0%) | OR = 0.60 [0.19, 1.84] (p = 0.407) |
| OR: odds-ratio [95% CI] and p value from Fisher test | |||||
| Subset | N | Mean ± SD | Med (min:max) | ||
| Age (Shapiro-Wilk normality test: p = 0.617) | 70 (100.0%) | 67.014 ± 8.89 | 67.00 (47.00:88.0) | ||
| HF (Welch Two Sample t-test: p = 0.370) | |||||
| Da | 50 (71.4%) | 67.600 ± 9.13 | 68.50 (47.00:87.0) | ||
| Nu | 20 (28.6%) | 65.550 ± 8.30 | 65.50 (50.00:88.0) | ||
| NYHA classification (Welch Two Sample t-test: p = 0.633) | |||||
| II | 23 (46.0%) | 66.913 ± 9.96 | 68.00 (47.00:84.0) | ||
| III | 27 (54.0%) | 68.185 ± 8.51 | 69.00 (52.00:87.0) | ||
Publisher’s Note: MDPI stays neutral with regard to jurisdictional claims in published maps and institutional affiliations. |
© 2021 by the authors. Licensee MDPI, Basel, Switzerland. This article is an open access article distributed under the terms and conditions of the Creative Commons Attribution (CC BY) license (https://creativecommons.org/licenses/by/4.0/).
Share and Cite
Gurzău, D.; Dădârlat-Pop, A.; Caloian, B.; Cismaru, G.; Comşa, H.; Tomoaia, R.; Zdrenghea, D.; Pop, D. Major Left Bundle Branch Block and Coronary Heart Disease—Are There Any Differences between the Sexes? J. Clin. Med. 2021, 10, 2284. https://doi.org/10.3390/jcm10112284
Gurzău D, Dădârlat-Pop A, Caloian B, Cismaru G, Comşa H, Tomoaia R, Zdrenghea D, Pop D. Major Left Bundle Branch Block and Coronary Heart Disease—Are There Any Differences between the Sexes? Journal of Clinical Medicine. 2021; 10(11):2284. https://doi.org/10.3390/jcm10112284
Chicago/Turabian StyleGurzău, Diana, Alexandra Dădârlat-Pop, Bogdan Caloian, Gabriel Cismaru, Horaţiu Comşa, Raluca Tomoaia, Dumitru Zdrenghea, and Dana Pop. 2021. "Major Left Bundle Branch Block and Coronary Heart Disease—Are There Any Differences between the Sexes?" Journal of Clinical Medicine 10, no. 11: 2284. https://doi.org/10.3390/jcm10112284
APA StyleGurzău, D., Dădârlat-Pop, A., Caloian, B., Cismaru, G., Comşa, H., Tomoaia, R., Zdrenghea, D., & Pop, D. (2021). Major Left Bundle Branch Block and Coronary Heart Disease—Are There Any Differences between the Sexes? Journal of Clinical Medicine, 10(11), 2284. https://doi.org/10.3390/jcm10112284

