Role of Operating Conditions in a Pilot Scale Investigation of Hollow Fiber Forward Osmosis Membrane Modules
Abstract
1. Introduction
2. Materials and Methods
2.1. Materials
2.2. Methods
2.2.1. HFFO Membrane Modification
2.2.2. Membrane Characterization
2.2.3. FO Tests with HFFO Modules and Performance Evaluation
2.2.4. Forward Solute Rejection in FO and Low Pressure Reverse Osmosis (LPRO)
3. Results and Discussion
3.1. Membrane Characterization
3.1.1. Zeta Potential
3.1.2. Scanning Electron Microscopy
3.1.3. Evaluation of the A, B, and S Parameters
3.2. FO Tests with Hollow Fiber Modules
3.2.1. Role of the Feed Flow Rate
3.2.2. Role of the Draw Flow Rate
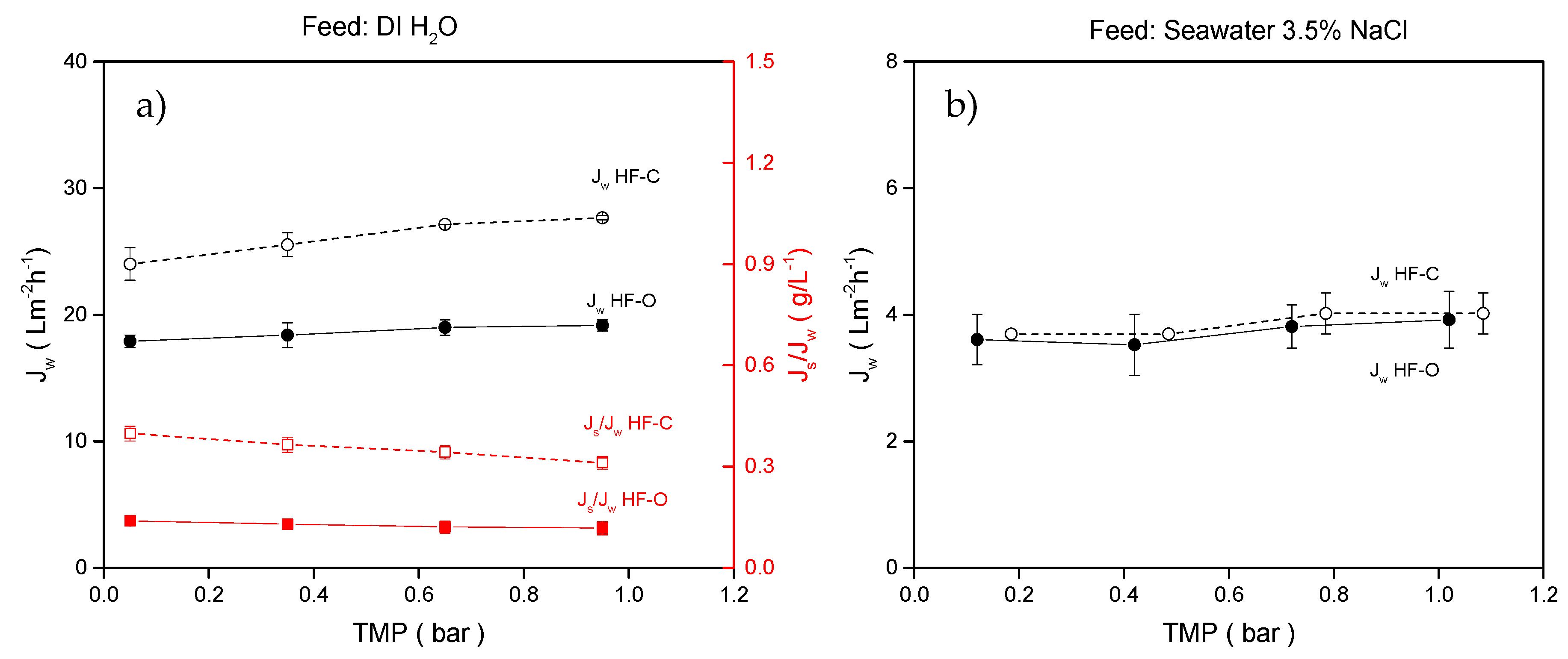
3.2.3. Applied TMP
3.2.4. Influence of the Applied DS
3.2.5. Operation Mode of the Membrane
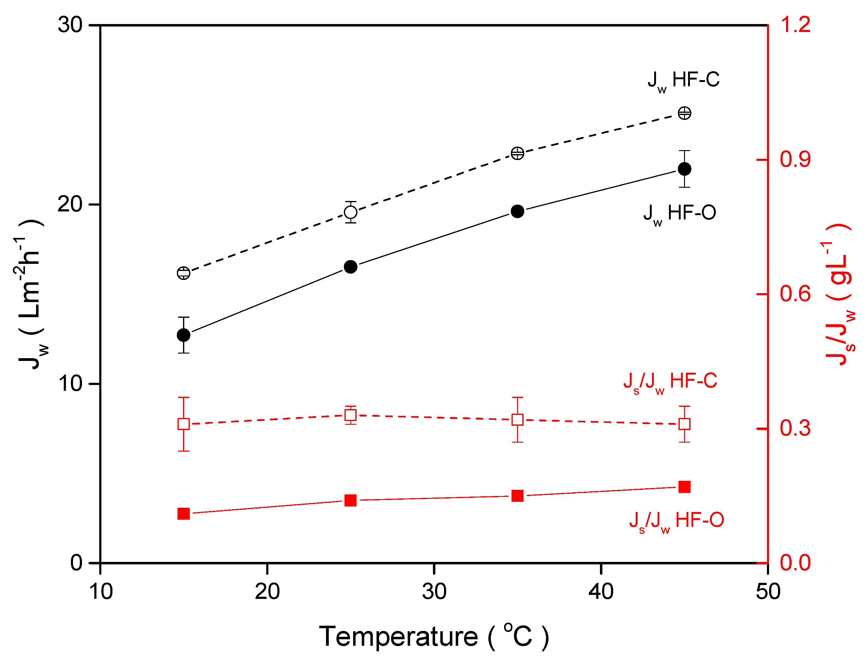
3.2.6. Role of the Temperature
3.2.7. Rejection of Target Compounds
Rejection: FO vs. LPRO
Urea Rejection vs. Recovery
4. Conclusions
- Jw can be enhanced for the HFFO module by chlorination due to a decrease in the thickness of the polyamide layer.
- Dilutive ICP was found to be one of the most significant parameters responsible for membrane performance as it acutely limits Jw when it becomes severe. This confirmed the dominant role of ICP for FO membranes, independent of membrane characteristics. Consequently, draw concentration and draw solute type have the biggest impact on the membrane performance. Additionally, optimal flow rates and osmotic pressure differences between FS and DS reduce the effect of other operating conditions, such as membrane orientation (PRO/FO mode, co-current/counter-current mode).
- A low osmotic pressure difference between DS and FS drastically reduces any differences between the chlorinated HFFO modules and the original HFFO modules. However, changes in operating conditions still alter membrane performance following the same mechanism explained for the large osmotic pressure difference between DS and FS.
- The RO process displayed lower solute rejection compared to the FO process. High process recoveries have a detrimental effect on solute rejection, due to an increase of solute concentration inside the module, which facilitates solute diffusion to the permeate.
Supplementary Materials
Author Contributions
Funding
Acknowledgments
Conflicts of Interest
References
- Minier-Matar, J.; Santos, A.; Hussain, A.; Janson, A.; Wang, R.; Fane, A.G.; Adham, S. Application of Hollow Fiber Forward Osmosis Membranes for Produced and Process Water Volume Reduction: An Osmotic Concentration Process. Environ. Sci. Technol. 2016, 50, 6044–6052. [Google Scholar] [CrossRef] [PubMed]
- Benavides, S.; Phillip, W.A. Water recovery and solute rejection in forward osmosis modules: Modeling and bench-scale experiments. J. Memb. Sci. 2016, 505, 26–35. [Google Scholar] [CrossRef]
- Salter, B.R.J. Forward osmosis. Filtration 2006, 36–38. [Google Scholar]
- Kim, J.E.; Phuntsho, S.; Ali, S.M.; Choi, J.Y.; Shon, H.K. Forward osmosis membrane modular configurations for osmotic dilution of seawater by forward osmosis and reverse osmosis hybrid system. Water Res. 2018, 128, 183–192. [Google Scholar] [CrossRef] [PubMed]
- Khayet, M.; Sanmartino, J.A.; Essalhi, M.; García-Payo, M.C.; Hilal, N. Modeling and optimization of a solar forward osmosis pilot plant by response surface methodology. Sol. Energy 2016, 137, 290–302. [Google Scholar] [CrossRef]
- Haven, N. Yale constructs forward osmosis desalination pilot plant. Membr. Technol. 2007, 7–8. [Google Scholar]
- Park, C.H.; Kwak, S.J.; Choi, J.; Lee, K.; Lee, J. Fabrication of a pilot scale module of thin film composite hollow fiber membrane for osmotic pressure-driven processes. J. Appl. Polym. Sci. 2018, 135, 46110. [Google Scholar] [CrossRef]
- Kim, J.E.; Phuntsho, S.; Lotfi, F.; Shon, H.K. Investigation of pilot-scale 8040 FO membrane module under different operating conditions for brackish water desalination. Desalin. Water Treat. 2015, 53, 2782–2791. [Google Scholar] [CrossRef]
- Chen, G.Q.; Artemi, A.; Lee, J.; Gras, S.L.; Kentish, S.E. A pilot scale study on the concentration of milk and whey by forward osmosis. Sep. Purif. Technol. 2019, 215, 652–659. [Google Scholar] [CrossRef]
- Sukitpaneenit, P.; Chung, T.S. High performance thin-film composite forward osmosis hollow fiber membranes with macrovoid-free and highly porous structure for sustainable water production. Environ. Sci. Technol. 2012, 46, 7358–7365. [Google Scholar] [CrossRef]
- Asimakopoulou, A.G.; Karabelas, A.J. A study of mass transfer in hollow-fiber membrane contactors-The effect of fiber packing fraction. J. Memb. Sci. 2006, 282, 430–441. [Google Scholar] [CrossRef]
- Shen, S.; Kentish, S.E.; Stevens, G.W. Shell-side mass-transfer performance in hollow-fiber membrane contactors. Solvent Extr. Ion Exch. 2010, 28, 817–844. [Google Scholar] [CrossRef]
- Werber, J.R.; Deshmukh, A.; Elimelech, M. The Critical Need for Increased Selectivity, Not Increased Water Permeability, for Desalination Membranes. Environ. Sci. Technol. Lett. 2016, 3, 112–120. [Google Scholar] [CrossRef]
- McCutcheon, J.R.; Elimelech, M. Modeling Water Flux in Forward Osmosis: Implications for Improved Membrane Design. AIChE J. 2007, 53, 1736–1744. [Google Scholar] [CrossRef]
- Chun, Y.; Mulcahy, D.; Zou, L.; Kim, I.S. A short review of membrane fouling in forward osmosis processes. Membranes 2017, 7, 30. [Google Scholar] [CrossRef]
- Wang, R.; Shi, L.; Tang, C.Y.; Chou, S.; Qiu, C.; Fane, A.G. Characterization of novel forward osmosis hollow fiber membranes. J. Memb. Sci. 2010, 355, 158–167. [Google Scholar] [CrossRef]
- Jung, D.H.; Lee, J.; Kim, D.Y.; Lee, Y.G.; Park, M.; Lee, S.; Yang, D.R.; Kim, J.H. Simulation of forward osmosis membrane process: Effect of membrane orientation and flow direction of feed and draw solutions. Desalination 2011, 277, 83–91. [Google Scholar] [CrossRef]
- Phuntsho, S.; Vigneswaran, S.; Kandasamy, J.; Hong, S.; Lee, S.; Shon, H.K. Influence of temperature and temperature difference in the performance of forward osmosis desalination process. J. Memb. Sci. 2012, 415–416, 734–744. [Google Scholar] [CrossRef]
- Zhao, S.; Zou, L.; Mulcahy, D. Effects of membrane orientation on process performance in forward osmosis applications. J. Memb. Sci. 2011, 382, 308–315. [Google Scholar] [CrossRef]
- Holloway, R.W.; Maltos, R.; Vanneste, J.; Cath, T.Y. Mixed draw solutions for improved forward osmosis performance. J. Memb. Sci. 2015, 491, 121–131. [Google Scholar] [CrossRef]
- Chekli, L.; Kim, J.; Phuntsho, S.; Cho, J.; Shon, H.K. Draw Solutes in Forward Osmosis Processes. Forw. Osmosis 2015, 85–113. [Google Scholar]
- Phuntsho, S.; Hong, S.; Elimelech, M.; Shon, H.K. Osmotic equilibrium in the forward osmosis process: Modelling, experiments and implications for process performance. J. Memb. Sci. 2014, 453, 240–252. [Google Scholar] [CrossRef]
- Coday, B.D.; Heil, D.M.; Xu, P.; Cath, T.Y. Effects of transmembrane hydraulic pressure on performance of forward osmosis membranes. Environ. Sci. Technol. 2013, 47, 2386–2393. [Google Scholar] [CrossRef] [PubMed]
- Xie, M.; Price, W.E.; Nghiem, L.D.; Elimelech, M. Effects of feed and draw solution temperature and transmembrane temperature difference on the rejection of trace organic contaminants by forward osmosis. J. Memb. Sci. 2013, 438, 57–64. [Google Scholar] [CrossRef]
- Seker, M.; Buyuksari, E.; Topcu, S.; Sesli, D.; Celebi, D.; Keskinler, B.; Aydiner, C. Effect of process parameters on flux for whey concentration with NH3/CO2 in forward osmosis. Food Bioprod. Process. 2017, 105, 64–76. [Google Scholar] [CrossRef]
- Zaviska, F.; Chun, Y.; Heran, M.; Zou, L. Using FO as pre-treatment of RO for high scaling potential brackish water: Energy and performance optimisation. J. Memb. Sci. 2015, 492, 430–438. [Google Scholar] [CrossRef]
- Hu, D.; Xiao, T.; Chen, Z.; Wang, H.; Xu, J.; Li, X.; Su, H.; Zhang, Y. Effect of the high cross flow velocity on performance of a pilot-scale anaerobic membrane bioreactor for treating antibiotic solvent wastewater. Bioresour. Technol. 2017, 243, 47–56. [Google Scholar] [CrossRef] [PubMed]
- Yasukawa, M.; Shigefuji, D.; Shibuya, M.; Ikebe, Y.; Horie, R. Effect of DS Concentration on the PRO Performance Using a 5-Inch Scale Cellulose Triacetate-Based Hollow Fiber Membrane Module. Membranes 2018, 8, 22. [Google Scholar] [CrossRef] [PubMed]
- Blandin, G.; Verliefde, A.R.D.; Comas, J.; Rodriguez-roda, I. Efficiently Combining Water Reuse and Desalination through Forward Osmosis — Reverse Osmosis ( FO-RO ) Hybrids: A Critical Review. Membranes 2016, 6, 37. [Google Scholar] [CrossRef] [PubMed]
- Jin, X.; Shan, J.; Wang, C.; Wei, J.; Tang, C.Y. Rejection of pharmaceuticals by forward osmosis membranes. J. Hazard. Mater. 2012, 227–228, 55–61. [Google Scholar] [CrossRef]
- Yamamoto, K.; Imai, T.; Devia, Y.P.; Van Le, T.; Higuchi, T.; Kanno, A.; Sekine, M. Potential of Magnesium Chloride for Nutrient Rejection in Forward Osmosis. J. Water Resour. Prot. 2015, 07, 730–740. [Google Scholar]
- Shon, H.K.; Cho, J.; Fam, W.; Lee, J.H.; Phuntsho, S. Boron transport through polyamide-based thin film composite forward osmosis membranes. Desalination 2014, 340, 11–17. [Google Scholar]
- Song, M.; Im, S.J.; Jeong, S.; Jang, A. Evaluation of an element-scale plate-type forward osmosis: Effect of structural parameters and operational conditions. Desalination 2018, 430, 15–23. [Google Scholar] [CrossRef]
- Devia, Y.P.; Imai, T.; Higuchi, T.; Kanno, A.; Yamamoto, K.; Sekine, M. Effect of Operating Conditions on Forward Osmosis for Nutrient Rejection Using Magnesium Chloride as a Draw Solution. World Acad. Sci. Eng. Technol. 2015, 9, 691–696. [Google Scholar]
- Zhao, S.; Zou, L. Effects of working temperature on separation performance, membrane scaling and cleaning in forward osmosis desalination. Desalination 2011, 278, 157–164. [Google Scholar] [CrossRef]
- Feng, L.; Xie, L.; Suo, G.; Shao, X.; Dong, T. Influence of Temperature on the Performance of Forward Osmosis Using Ammonium Bicarbonate as Draw Solute. Trans. Tianjin Univ. 2018, 24, 571–579. [Google Scholar] [CrossRef]
- Cath, T.Y.; Elimelech, M.; McCutcheon, J.R.; McGinnis, R.L.; Achilli, A.; Anastasio, D.; Brady, A.R.; Childress, A.E.; Farr, I.V.; Hancock, N.T.; et al. Standard Methodology for Evaluating Membrane Performance in Osmotically Driven Membrane Processes. Desalination 2013, 312, 31–38. [Google Scholar] [CrossRef]
- Majeed, T.; Phuntsho, S.; Sahebi, S.; Kim, J.E.; Yoon, J.K.; Kim, K.; Shon, H.K. Influence of the process parameters on hollow fiber-forward osmosis membrane performances. Desalin. Water Treat. 2015, 54, 817–828. [Google Scholar] [CrossRef]
- Choi, J.Y.; Shon, H.K.; Phuntsho, S.; Ali, S.M.; Kim, J.E.; Jang, A. Forward osmosis system analysis for optimum design and operating conditions. Water Res. 2018, 145, 429–441. [Google Scholar]
- Ren, J.; McCutcheon, J.R. Making Thin Film Composite Hollow Fiber Forward Osmosis Membranes at the Module Scale Using Commercial Ultrafiltration Membranes. Ind. Eng. Chem. Res. 2017, 56, 4074–4082. [Google Scholar] [CrossRef]
- Zhai, X.; Meng, J.; Li, R.; Ni, L.; Zhang, Y. Hypochlorite treatment on thin film composite RO membrane to improve boron removal performance. Desalination 2011, 274, 136–143. [Google Scholar] [CrossRef]
- Verbeke, R.; Gómez, V.; Vankelecom, I.F.J. Chlorine-resistance of reverse osmosis (RO) polyamide membranes. Prog. Polym. Sci. 2017, 72, 1–15. [Google Scholar] [CrossRef]
- Zhao, Y.; Qiu, C.; Li, X.; Vararattanavech, A.; Shen, W.; Torres, J.; Hélix-Nielsen, C.; Wang, R.; Hu, X.; Fane, A.G.; et al. Synthesis of robust and high-performance aquaporin-based biomimetic membranes by interfacial polymerization-membrane preparation and RO performance characterization. J. Memb. Sci. 2012, 423–424, 422–428. [Google Scholar] [CrossRef]
- Diehl, A.; Levin, Y. Smoluchowski equation and the colloidal charge reversal. J. Chem. Phys. 2006, 125. [Google Scholar] [CrossRef]
- Bui, N.N.; Arena, J.T.; McCutcheon, J.R. Proper accounting of mass transfer resistances in forward osmosis: Improving the accuracy of model predictions of structural parameter. J. Memb. Sci. 2015, 492, 289–302. [Google Scholar] [CrossRef]
- Zener, C.; Levensont, W. Van ’ t Hoff--Van Der Waals Osmotic Pressure and Energy Transformers. Proc. Natl. Acad. Sci. USA 2019, 80, 4577–4579. [Google Scholar] [CrossRef]
- Rard, J.A.; Miller, D.G. Mutual Diffusion Coefficients of Na2SO4-H2O and MgSO4-H2O at 25 °C from Rayleigh Interferometry. J. Solution Chem. 1979, 8, 755–766. [Google Scholar] [CrossRef]
- Miller, D.G.; Rard, J.A.; Eppstein, L.B.; Albright, J.G. Mutual diffusion coefficients and ionic transport coefficients Iij of magnesium chloride-water at 25 °C. J. Phys. Chem. 1984, 88, 5739–5748. [Google Scholar] [CrossRef]
- Xie, M.; Price, W.E.; Nghiem, L.D. Rejection of pharmaceutically active compounds by forward osmosis: Role of solution pH and membrane orientation. Sep. Purif. Technol. 2012, 93, 107–114. [Google Scholar] [CrossRef]
- Ariza, M.J.; Caas, A.; Malfeito, J.; Benavente, J. Effect of pH on electrokinetic and electrochemical parameters of both sub-layers of composite polyamide/polysulfone membranes. Desalination 2002, 148, 377–382. [Google Scholar] [CrossRef]
- Gorchev, H.G. Chlorine in Water Disinfection. Pure Appl. Chem. 1996, 68, 1731–1735. [Google Scholar] [CrossRef]
- Simon, A.; Nghiem, L.D. Effects of hypochlorite exposure on morphology and trace organic contaminant rejection by NF/RO membranes. Membr. Water Treat. 2015, 5, 235–250. [Google Scholar] [CrossRef]
- Orton, K.J.P. The chlorination of anilides. Part III. N-chlorination and C-chlorination as simultaneous side reactions. J. Chem. Soc. 1928, 998–1005. [Google Scholar] [CrossRef]
- Xia, L.; Andersen, M.F.; Hélix-Nielsen, C.; McCutcheon, J.R. Novel Commercial Aquaporin Flat-Sheet Membrane for Forward Osmosis. Ind. Eng. Chem. Res. 2017, 56, 11919–11925. [Google Scholar] [CrossRef]
- Jeon, J.; Jung, J.; Choi, J.Y.; Kim, S.; Kim, J. Effect of transmembrane pressure on draw solution channel height and water flux in spiral wound forward osmosis module. Desalin. Water Treat. 2018, 96, 55–60. [Google Scholar] [CrossRef]
- Lutchmiah, K.; Cornelissen, E.R.; Harmsen, D.J.H.; Post, J.W.; Lampi, K.; Ramaekers, H.; Rietveld, L.C.; Roest, K. Water recovery from sewage using forward osmosis. Water Sci. Technol. 2011, 64, 1443–1449. [Google Scholar] [CrossRef]
- McCutcheon, J.R.; McGinnis, R.L.; Elimelech, M. Desalination by ammonia-carbon dioxide forward osmosis: Influence of draw and feed solution concentrations on process performance. J. Memb. Sci. 2006, 278, 114–123. [Google Scholar] [CrossRef]
- Achilli, A.; Cath, T.Y.; Childress, A.E. Selection of inorganic-based draw solutions for forward osmosis applications. J. Memb. Sci. 2010, 364, 233–241. [Google Scholar] [CrossRef]
- Volpin, F.; Heo, H.; Hasan Johir, M.A.; Cho, J.; Phuntsho, S.; Shon, H.K. Techno-economic feasibility of recovering phosphorus, nitrogen and water from dilute human urine via forward osmosis. Water Res. 2019, 150, 47–55. [Google Scholar] [CrossRef]
- Xu, Y.; Peng, X.; Tang, C.Y.; Fu, Q.S.; Nie, S. Effect of draw solution concentration and operating conditions on forward osmosis and pressure retarded osmosis performance in a spiral wound module. J. Memb. Sci. 2010, 348, 298–309. [Google Scholar] [CrossRef]
- Kang, H.; Wang, W.; Shi, J.; Xu, Z.; Lv, H.; Qian, X.; Liu, L.; Jing, M.; Li, F.; Niu, J. Interlamination restrictive effect of carbon nanotubes for graphene oxide forward osmosis membrane via layer by layer assembly. Appl. Surf. Sci. 2019, 465, 1103–1106. [Google Scholar] [CrossRef]
- Shen, M.; Keten, S.; Lueptow, R.M. Rejection mechanisms for contaminants in polyamide reverse osmosis membranes. J. Memb. Sci. 2016, 509, 36–47. [Google Scholar] [CrossRef]
- Punzi, V.L.; Muldowney, G.P. An overview of proposed solute rejection mechanisms in reverse osmosis. Rev. Chem. Eng. 1987, 4, 109–150. [Google Scholar] [CrossRef]
- Xie, M.; Luo, W.; Guo, H.; Nghiem, L.D.; Tang, C.Y.; Gray, S.R. Trace organic contaminant rejection by aquaporin forward osmosis membrane: Transport mechanisms and membrane stability. Water Res. 2018, 132, 90–98. [Google Scholar] [CrossRef] [PubMed]
- Xie, M.; Nghiem, L.D.; Price, W.E.; Elimelech, M. Comparison of the removal of hydrophobic trace organic contaminants by forward osmosis and reverse osmosis. Water Res. 2012, 46, 2683–2692. [Google Scholar] [CrossRef] [PubMed]
















| Standard Operational Conditions for the FO Performance Tests | |||||||
|---|---|---|---|---|---|---|---|
| Feed | Draw | Applied TMP | Temperature | Operation Mode | |||
| Flow | Solution | Flow | Solution | Bar | °C | ||
| 100 L·h−1 | DI H2O 3.5% NaCl | 25 L·h−1 | 1 M NaCl | 0.2 | 25 | FO | Counter-current |
| Operational Conditions Modified During the FO Performance Tests | |||||
|---|---|---|---|---|---|
| Feed Flow | Draw Flow | Applied TMP | Operation Mode | Temperature | |
| L·h−1 | L·h−1 | Bar | Draw and Feed Flow | °C | |
| 60 | 25 | 0.1 | FO | counter current | 15 |
| 80 | 50 | 0.4 | PRO | co-current | 25 |
| 100 | 75 | 0.7 | 35 | ||
| 120 | 100 | 1.1 | 45 | ||
| 140 | |||||
| Draw Solutions | |||
|---|---|---|---|
| Concentration | Osmotic Pressure | Diffusivities [45,47,48] | |
| M | bar | (× 10−9 m2·s−1) | |
| NaCl | 0.5 | 27.7 | 1.47 |
| 1 | 49.5 | 1.42 | |
| 1.5 | 74.3 | 1.36 | |
| 2 | 99 | 1.31 | |
| MgCl2 | 0.32 | 27.7 | 1.04 |
| 0.58 | 49.5 | 1.07 | |
| 0.85 | 74.3 | 1.09 | |
| 1.11 | 99 | 1.11 | |
| MgSO4 * | 0.3 | 7.4 | 0.49 |
| 0.77 | 24.7 | 0.41 | |
| 1.54 | 49.5 | 0.35 | |
| 2.53 | 74.3 | 0.30 | |
| Niacin - Caffeine - Urea Tests * | |||||||
|---|---|---|---|---|---|---|---|
| Membrane | FO | LPRO | Recovery | ||||
| HFFO | Feed Flow | Draw Flow | TMP | Feed Flow | TMP | FO | LPRO |
| L·h−1 | L·h−1 | bar | L·min−1 | bar | % | ||
| HF–C | 140 | 16 | 0.2 | 1 | 2 | 23 ± 4 | |
| HF–O | 135 | 16 | 0.2 | 0.5 | 2 | 23 ± 4 | |
| HF–C and HF–O Membrane Modules | ||||
|---|---|---|---|---|
| Urea FO Test | Recovery | |||
| Feed Flow | Draw Flow | TMP | HF–C | HC-O |
| L·h−1 | L·h−1 | bar | % | % |
| 60 | 25 | 0.2 | 74.1 ± 3.5 | 59.9 ± 4.7 |
| 80 | 25 | 0.2 | 57.5 ± 3.5 | 41.0 ± 1.4 |
| 100 | 25 | 0.2 | 46.0 ± 0.0 | 35.0 ± 1.4 |
| 120 | 25 | 0.2 | 40.0 ± 0.0 | 29.5 ± 2.8 |
| 140 | 25 | 0.2 | 34.2 ± 1.0 | 25.5 ± 0.7 |
| Draw Solute NaCl | |||||||
|---|---|---|---|---|---|---|---|
| Membrane Type | A | B | S | RMSE | R2-Jw | R2-Js | Remarks |
| L·m−2·h−1·bar−1 | L·m−2·h−1 | mm | - | - | - | ||
| HF–O | 1.56 | 0.24 | 0.15 | 0.54 | 0.99 | 0.76 | - |
| HF–C | 4.04 | 1.29 | 0.26 | 0.77 | 0.98 | 0.79 | Out of range |
| 2.46 | 0.80 | 0.18 | 1.22 | 0.92 | 0.95 | Fixed A = 2.46 | |
| Draw Solute MgCl2 | |||||||
| HF–O | 1.86 | 0.07 | 0.16 | 0.40 | 0.99 | 0.02 | - |
| HF–C | 2.74 | 0.59 | 0.15 | 0.74 | 0.97 | 0.64 | - |
| Draw Solute MgSO4 | |||||||
| HF–O | 1.68 | 0.01 | 0.12 | 0.43 | 0.97 | 0.11 | - |
| HF–C | 2.04 | 0.10 | 0.08 | 0.21 | 1.00 | 0.78 | Out of range |
| 2.46 | 0.12 | 0.09 | 0.44 | 0.98 | 0.50 | Fixed A = 2.46 | |
© 2019 by the authors. Licensee MDPI, Basel, Switzerland. This article is an open access article distributed under the terms and conditions of the Creative Commons Attribution (CC BY) license (http://creativecommons.org/licenses/by/4.0/).
Share and Cite
Sanahuja-Embuena, V.; Khensir, G.; Yusuf, M.; Andersen, M.F.; Nguyen, X.T.; Trzaskus, K.; Pinelo, M.; Helix-Nielsen, C. Role of Operating Conditions in a Pilot Scale Investigation of Hollow Fiber Forward Osmosis Membrane Modules. Membranes 2019, 9, 66. https://doi.org/10.3390/membranes9060066
Sanahuja-Embuena V, Khensir G, Yusuf M, Andersen MF, Nguyen XT, Trzaskus K, Pinelo M, Helix-Nielsen C. Role of Operating Conditions in a Pilot Scale Investigation of Hollow Fiber Forward Osmosis Membrane Modules. Membranes. 2019; 9(6):66. https://doi.org/10.3390/membranes9060066
Chicago/Turabian StyleSanahuja-Embuena, Victoria, Gabriel Khensir, Mohamed Yusuf, Mads Friis Andersen, Xuan Tung Nguyen, Krzysztof Trzaskus, Manuel Pinelo, and Claus Helix-Nielsen. 2019. "Role of Operating Conditions in a Pilot Scale Investigation of Hollow Fiber Forward Osmosis Membrane Modules" Membranes 9, no. 6: 66. https://doi.org/10.3390/membranes9060066
APA StyleSanahuja-Embuena, V., Khensir, G., Yusuf, M., Andersen, M. F., Nguyen, X. T., Trzaskus, K., Pinelo, M., & Helix-Nielsen, C. (2019). Role of Operating Conditions in a Pilot Scale Investigation of Hollow Fiber Forward Osmosis Membrane Modules. Membranes, 9(6), 66. https://doi.org/10.3390/membranes9060066
