Polysulfone Membranes: Here, There and Everywhere
Abstract
1. Introduction
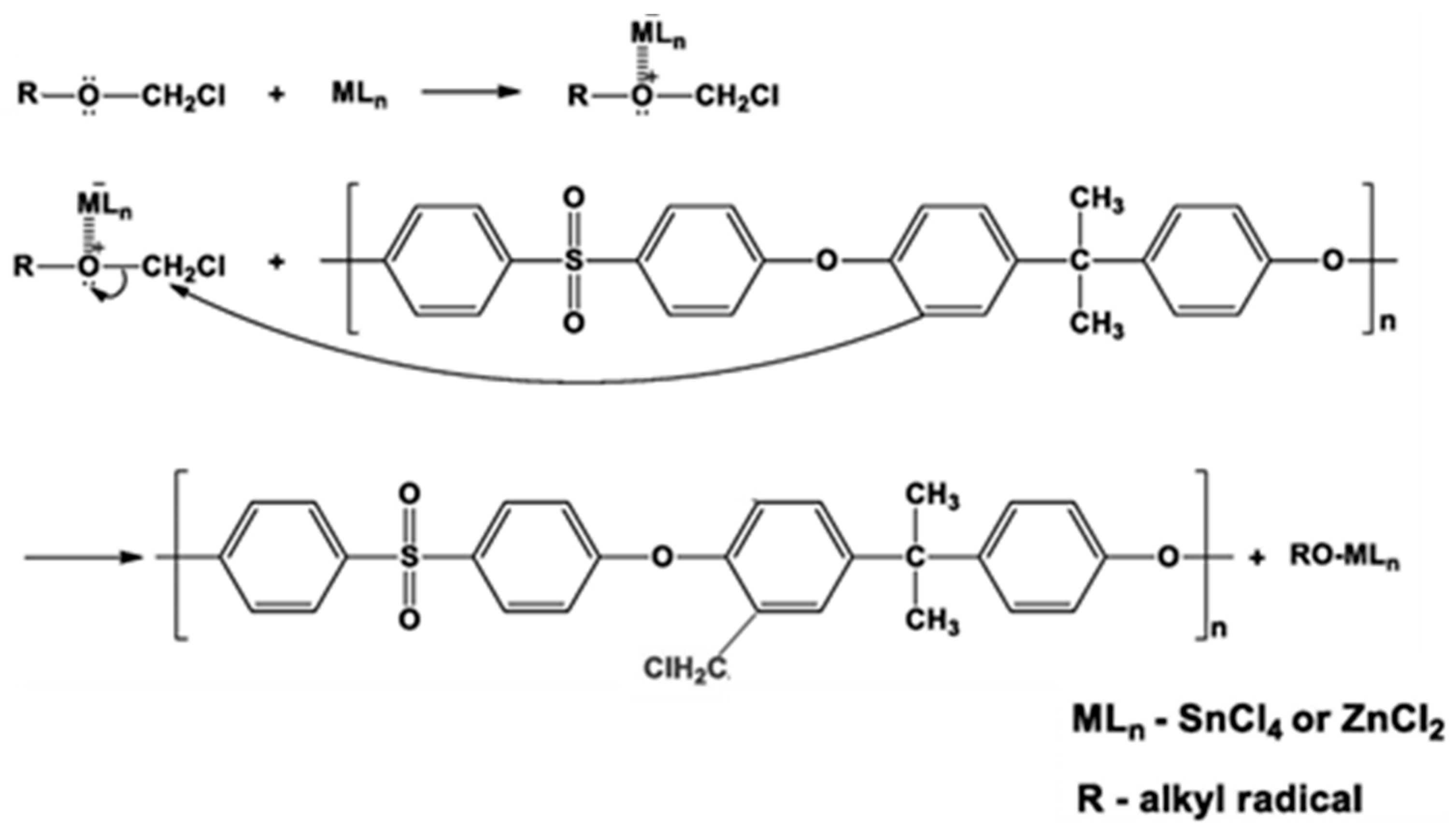
2. Preparation and Modification of Polysulfone Membranes
3. Application of Polysulfone and Polysulfone Modified Membranes
3.1. CO2 Capture and Gas Separation
3.2. Water Purification
4. Conclusions
- Developing scalable and spatially controlled cross-linking strategies to mitigate physical aging without compromising permeability.
- Employing multi-scale modeling and molecular simulations to elucidate structure–property relationships and predict long-term performance.
- Designing hybrid membranes with hierarchical architectures to enhance selectivity and mechanical integrity under operational stresses.
- Exploring novel application domains such as selective ion separation, bio-hybrid systems, and membranes for energy storage and conversion.
- Advancing green and solvent-free fabrication techniques to improve sustainability and reduce environmental impact.
Author Contributions
Funding
Data Availability Statement
Conflicts of Interest
References
- Alaei Shahmirzadi, M.A.; Kargari, A.; Matsuura, T. State-of-the-Art Poly Aryl Sulfone (PAS)-Based Membranes for Gas Separation: A Review on Molecular Design and Structural Engineering. J. Ind. Eng. Chem. 2024, 131, 1–28. [Google Scholar] [CrossRef]
- Karimi, S.; Mehdipour-Ataei, S.; Babanzadeh, S. Improved Performance of Novel Bulky Polysulfone versus Conventional Polysulfone as Substrate in Thin-Film Composite Membrane. Mater. Today Chem. 2025, 46, 102761. [Google Scholar] [CrossRef]
- Chukov, D.I.; Tcherdyntsev, V.V.; Stepashkin, A.A.; Zadorozhnyy, M.Y. Structure, Thermal, and Mechanical Behavior of the Polysulfone Solution Impregnated Unidirectional Carbon Fiber Yarns. Polymers 2023, 15, 4601. [Google Scholar] [CrossRef]
- Deepthi, P.V.; Viji, K.; Vijesh, A.M.; Anjana, P.T.; Kumar, V.; Malladi, S. A Review on Advancements in Polysulfone-Based Membranes for Gas Separation Applications. Asian J. Chem. 2024, 36, 2717–2730. [Google Scholar] [CrossRef]
- Ghamari, S.; Tourani, S. Development of Polysulfone-Based Nanocomposite Membranes Reinforced with Magnetic Graphene Oxide for Efficient Mercury and Oil Removal from Wastewater. Mater. Sci. Eng. B 2025, 317, 118190. [Google Scholar] [CrossRef]
- Hacıfazlıoğlu, M.C.; Ahmadipouya, S.; Ipekci, D.; Li, Y.; Kumar, M.; Warner, J.; Zhang, Y.; McCutcheon, J.R. Customized Membranes: Needs and Opportunities for Moving beyond Conventional Interfacial Polymerization for Desalination Membranes. Curr. Opin. Chem. Eng. 2025, 49, 101151. [Google Scholar] [CrossRef]
- Yadav, K.; Gudjonsdottir, M.; Axelsson, G.; Ómarsdóttir, M.; Sircar, A.; Shah, M.; Yadav, A. Geothermal-Solar Integrated Multistage Flash Distillation Cogeneration System: A Cleaner and Sustainable Solution. Desalination 2023, 566, 116897. [Google Scholar] [CrossRef]
- Xu, Y.; Chen, J.; Ding, J.; Sun, J.; Song, W.; Tang, Z.; Xiao, C.; Chen, X. Synthetic Polymers for Drug, Gene, and Vaccine Delivery. Polym. Sci. Technol. 2025, 1, 171–220. [Google Scholar] [CrossRef]
- Bărdacă Urducea, C.; Nechifor, A.C.; Dimulescu, I.A.; Oprea, O.; Nechifor, G.; Totu, E.E.; Isildak, I.; Albu, P.C.; Bungău, S.G. Control of Nanostructured Polysulfone Membrane Preparation by Phase Inversion Method. Nanomaterials 2020, 10, 2349. [Google Scholar] [CrossRef]
- Idriss, I.M.; Hashmi, Z.; Abu Bakar, M.S.; Shamsuddin, N.; Khan, A.L.; Gapsari, F.; Widodo, T.D.; Bilad, M.R. Application of Bio-Based Additives in Membrane Modification for Water Purification: A Review. Next Mater. 2025, 8, 100836. [Google Scholar] [CrossRef]
- Kwong, M.; Abdelrasoul, A.; Doan, H. Controlling Polysulfone (PSF) Fiber Diameter and Membrane Morphology for an Enhanced Ultrafiltration Performance Using Heat Treatment. Results Mater. 2019, 2, 100021. [Google Scholar] [CrossRef]
- Dumbrava, O.; Filimon, A.; Marin, L. Tailoring Properties and Applications of Polysulfone Membranes by Chemical Modification: Structure-Properties-Applications Relationship. Eur. Polym. J. 2023, 196, 112316. [Google Scholar] [CrossRef]
- Tutuş, M.; Hartenauer, K.; Tutuş, M. Morphology Behavior of Polysulfone Membranes Made from Sustainable Solvents. Gases 2024, 4, 133–152. [Google Scholar] [CrossRef]
- Ge, Q.; Ding, L.; Wu, T.; Xu, G.; Yang, F.; Xiang, M. Effect of Surfactant on Morphology and Pore Size of Polysulfone Membrane. J. Polym. Res. 2017, 25, 21. [Google Scholar] [CrossRef]
- Baldo, L.G.M.; Lenzi, M.K.; Eiras, D. Water Vapor Permeation and Morphology of Polysulfone Membranes Prepared by Phase Inversion. Polímeros 2020, 30, e2020027. [Google Scholar] [CrossRef]
- Madaeni, S.S.; Rahimpour, A. Effect of Type of Solvent and Non-Solvents on Morphology and Performance of Polysulfone and Polyethersulfone Ultrafiltration Membranes for Milk Concentration. Polym. Adv. Technol. 2005, 16, 717–724. [Google Scholar] [CrossRef]
- Abdelrasoul, A.; Doan, H.; Lohi, A.; Cheng, C.-H. Morphology Control of Polysulfone Membranes in Filtration Processes: A Critical Review. ChemBioEng Rev. 2015, 2, 22–43. [Google Scholar] [CrossRef]
- Pandele, A.M.; Serbanescu, O.S.; Voicu, S.I. Polysulfone Composite Membranes with Carbonaceous Structure. Synthesis and Applications. Coatings 2020, 10, 609. [Google Scholar] [CrossRef]
- Kluge, S.; Kose, T.; Tutuş, M. Tuning the Morphology and Gas Separation Properties of Polysulfone Membranes. Membranes 2022, 12, 654. [Google Scholar] [CrossRef] [PubMed]
- Chen, Z.; Eisen, M.S. Molecular Engineering of Carboxylated Polysulfone Membranes for Enhancing Salt Rejection. Polymers 2025, 17, 1840. [Google Scholar] [CrossRef]
- Ravishankar, H.; Christy, J.; Jegatheesan, V. Graphene Oxide (GO)-Blended Polysulfone (PSf) Ultrafiltration Membranes for Lead Ion Rejection. Membranes 2018, 8, 77. [Google Scholar] [CrossRef]
- Li, S.; Dai, S. Highly Efficient Incorporation of Polar Comonomers in Copolymerizations with Ethylene Using Iminopyridyl Palladium System. J. Catal. 2021, 393, 51–59. [Google Scholar] [CrossRef]
- Rehman, M.H.U.; Simari, C.; Mancuso, R.; Sebastián, D.; Lázaro, M.J.; Gabriele, B.; Nicotera, I. Tailoring Cationic Functional Groups for Enhanced Stability and Performance in Polysulfone-Based Anion Exchange Membranes. Electrochim. Acta 2025, 528, 146295. [Google Scholar] [CrossRef]
- Zhang, C.; Song, S.; Liu, Q.; Li, J.; Cao, Q.; Zhang, S.; Jian, X.; Weng, Z. Fabrication of Cross-Linked Polysulfone Aerogels for Thermal Insulation. Mater. Lett. 2023, 351, 135000. [Google Scholar] [CrossRef]
- An, E.J.; Sim, G.H.; Yu, S.; Kim, H.G.; An, S.J.; Lee, C.; Kim, M.; Kim, J.H.; Lee, J.H.; Chi, W.S. Cross-Linked Polysulfone Membranes with Controllable Cross-Linkers for Anion-Exchange Membrane Water Electrolysis. Eur. Polym. J. 2024, 221, 113543. [Google Scholar] [CrossRef]
- Dizman, C.; Tasdelen, M.A.; Yagci, Y. Recent Advances in the Preparation of Functionalized Polysulfones. Polym. Int. 2013, 62, 991–1007. [Google Scholar] [CrossRef]
- Nogalska, A.; Ammendola, M.; Tylkowski, B.; Ambrogi, V.; Garcia-Valls, R. Ambient CO2 Adsorption via Membrane Contactors—Value of Assimilation from Air as Nature Stomata. J. Membr. Sci. 2018, 546, 41–49. [Google Scholar] [CrossRef]
- Nisar, M.; Bernard, F.L.; Duarte, E.; Chaban, V.V.; Einloft, S. New Polysulfone Microcapsules Containing Metal Oxides and ([BMIM][NTf2]) Ionic Liquid for CO2 Capture. J. Environ. Chem. Eng. 2021, 9, 104781. [Google Scholar] [CrossRef]
- Jasrotia, S.; Puttaiahgowda, Y.M.; Praveen, B.M. Polysulfone-Based Membranes for Industrial CO2 Capture: Advanced Fabrication Strategies, Performance Enhancement, and Commercial Viability—A Review. Process Saf. Environ. Prot. 2025, 203, 107964. [Google Scholar] [CrossRef]
- Abdulabbas, A.A.; Mohammed, T.J.; Al-Hattab, T.A. Parameters Estimation of Fabricated Polysulfone Membrane for CO2/CH4 Separation. Results Eng. 2024, 21, 101929. [Google Scholar] [CrossRef]
- Zhuo, Q.; Luo, M.; Guo, Q.; Yu, G.; Deng, S.; Xu, Z.; Yang, B.; Liang, X. Electrochemical Oxidation of Environmentally Persistent Perfluorooctane Sulfonate by a Novel Lead Dioxide Anode. Electrochim. Acta 2016, 213, 358–367. [Google Scholar] [CrossRef]
- Wang, L.; Yao, B.; Cha, M.; Alqahtani, N.B.; Patterson, T.W.; Kneafsey, T.J.; Miskimins, J.L.; Yin, X.; Wu, Y.-S. Waterless Fracturing Technologies for Unconventional Reservoirs-Opportunities for Liquid Nitrogen. J. Nat. Gas Sci. Eng. 2016, 35, 160–174. [Google Scholar] [CrossRef]
- Liu, G.; Wei, M.; Xu, Z.; Li, D.; Liu, M.; Huang, J.; Zhang, Z.; Wang, Y. How Monomer Concentrations Influence Structures and Separation Performances of Polyamide Nanofiltration Membranes? J. Membr. Sci. 2025, 733, 124334. [Google Scholar] [CrossRef]
- Qavi, S.; Lindsay, A.P.; Firestone, M.A.; Foudazi, R. Ultrafiltration Membranes from Polymerization of Self-Assembled Pluronic Block Copolymer Mesophases. J. Membr. Sci. 2019, 580, 125–133. [Google Scholar] [CrossRef]
- Negi, S.; Suresh, A.K. Intricacies of CO2 Removal from Mixed Gases and Biogas Using Polysulfone/ZIF-8 Mixed Matrix Membranes—Part 1: Experimental. RSC Adv. 2024, 14, 30529–30542. [Google Scholar] [CrossRef]
- Almuhtaseb, R.M.; Awadallah-F, A.; Al-Muhtaseb, S.A.; Khraisheh, M. Influence of Casting Solvents on CO2/CH4 Separation Using Polysulfone Membranes. Membranes 2021, 11, 286. [Google Scholar] [CrossRef]
- Jiao, L.; Seow, J.Y.R.; Skinner, W.S.; Wang, Z.U.; Jiang, H.-L. Metal–Organic Frameworks: Structures and Functional Applications. Mater. Today 2019, 27, 43–68. [Google Scholar] [CrossRef]
- Mei, X.; Yang, S.; Lu, P.; Zhang, Y.; Zhang, J. Improving the Selectivity of ZIF-8/Polysulfone-Mixed Matrix Membranes by Polydopamine Modification for H2/CO2 Separation. Front. Chem. 2020, 8, 528. [Google Scholar] [CrossRef] [PubMed]
- Yoon, S.-S.; Lee, H.-K.; Hong, S.-R. CO2/N2 Gas Separation Using Pebax/ZIF-7—PSf Composite Membranes. Membranes 2021, 11, 708. [Google Scholar] [CrossRef]
- Cacho-Bailo, F.; Catalán-Aguirre, S.; Etxeberría-Benavides, M.; Karvan, O.; Sebastian, V.; Téllez, C.; Coronas, J. Metal-Organic Framework Membranes on the Inner-Side of a Polymeric Hollow Fiber by Microfluidic Synthesis. J. Membr. Sci. 2015, 476, 277–285. [Google Scholar] [CrossRef]
- Nordin, N.A.H.M.; Ismail, A.F.; Mustafa, A.; Murali, R.S.; Matsuura, T. Utilizing Low ZIF-8 Loading for an Asymmetric PSf/ZIF-8 Mixed Matrix Membrane for CO2/CH4 Separation. RSC Adv. 2015, 5, 30206–30215. [Google Scholar] [CrossRef]
- Sorribas, S.; Zornoza, B.; Téllez, C.; Coronas, J. Mixed Matrix Membranes Comprising Silica-(ZIF-8) Core–Shell Spheres with Ordered Meso–Microporosity for Natural- and Bio-Gas Upgrading. J. Membr. Sci. 2014, 452, 184–192. [Google Scholar] [CrossRef]
- Sasikumar, B.; Bisht, S.; Arthanareeswaran, G.; Ismail, A.F.; Othman, M.H.D. Performance of Polysulfone Hollow Fiber Membranes Encompassing ZIF-8, SiO2/ZIF-8, and Amine-Modified SiO2/ZIF-8 Nanofillers for CO2/CH4 and CO2/N2 Gas Separation. Sep. Purif. Technol. 2021, 264, 118471. [Google Scholar] [CrossRef]
- Jonnalagedda, A.; Kuncharam, B.V.R. Novel Mixed Matrix Membranes with Indium-Based 2D and 3D MOFs as Fillers and Polysulfone for CO2/CH4 Mixed Gas Separation. RSC Adv. 2025, 15, 2996–3007. [Google Scholar] [CrossRef]
- Khan, A.U.; Samuel, O.; Othman, M.H.D.; Younas, M.; Kamaludin, R.; Khan, Z.I.; Al-Ogaili, M.F.A.; Yoshida, N.; Kurniawan, T.A.; Puteh, M.H.; et al. Modifying Polysulfone Dual-Layer Hollow Fiber Membrane with Amine-Functionalized Bimetallic MOF (PEI@HKUST-1(Cu, Mg)) for Improved Mechanical Stability and CO2/CH4 Separation Performance. J. Environ. Chem. Eng. 2025, 13, 114913. [Google Scholar] [CrossRef]
- Elhenawy, S.; Khraisheh, M.; AlMomani, F.; Hassan, M. Key Applications and Potential Limitations of Ionic Liquid Membranes in the Gas Separation Process of CO2, CH4, N2, H2 or Mixtures of These Gases from Various Gas Streams. Molecules 2020, 25, 4274. [Google Scholar] [CrossRef] [PubMed]
- Alkhouzaam, A.; Khraisheh, M.; Atilhan, M.; Al-Muhtaseb, S.A.; Qi, L.; Rooney, D. High-Pressure CO2/N2 and CO2/CH4 Separation Using Dense Polysulfone-Supported Ionic Liquid Membranes. J. Nat. Gas Sci. Eng. 2016, 36, 472–485. [Google Scholar] [CrossRef]
- Nisar, M.; Dos Santos, L.M.; Geshev, J.; Qadir, M.I.; Khan, S.; Fechine, G.J.M.; Machado, G.; Einloft, S. Nanoarchitectured Composite of Polysulfone and Carbon-Based Fillers Bearing Magnetically Stimulable Function for Efficient CO2 Capture. J. Sci. Adv. Mater. Devices 2024, 9, 100701. [Google Scholar] [CrossRef]
- Ahn, J.; Chung, W.-J.; Pinnau, I.; Guiver, M.D. Polysulfone/Silica Nanoparticle Mixed-Matrix Membranes for Gas Separation. J. Membr. Sci. 2008, 314, 123–133. [Google Scholar] [CrossRef]
- Rader, C.; Fritz, P.W.; Ashirov, T.; Coskun, A.; Weder, C. One-Component Nanocomposites Made from Diblock Copolymer Grafted Cellulose Nanocrystals. Biomacromolecules 2024, 25, 1637–1648. [Google Scholar] [CrossRef] [PubMed]
- Mamah, S.C.; Goh, P.S.; Ismail, A.F.; Suzaimi, N.D.; Yogarathinam, L.T.; Raji, Y.O.; El-badawy, T.H. Recent Development in Modification of Polysulfone Membrane for Water Treatment Application. J. Water Process Eng. 2021, 40, 101835. [Google Scholar] [CrossRef]
- Zhang, F.; Xiong, J.; Zhang, C.; Wu, X.; Tian, Y. Removal of Algae and Algal Toxins from a Drinking Water Source Using a Two-Stage Polymeric Ultrafiltration Membrane Process. Polymers 2023, 15, 4495. [Google Scholar] [CrossRef]
- Casetta, J.; Pochat-Bohatier, C.; Cornu, D.; Bechelany, M.; Miele, P. Enhancing Water Treatment Performance of Porous Polysulfone Hollow Fiber Membranes through Atomic Layer Deposition. Molecules 2023, 28, 6133. [Google Scholar] [CrossRef]
- Lim, Y.J.; Goh, K.; Kurihara, M.; Wang, R. Seawater Desalination by Reverse Osmosis: Current Development and Future Challenges in Membrane Fabrication—A Review. J. Membr. Sci. 2021, 629, 119292. [Google Scholar] [CrossRef]
- Fahmey, M.S.; El-Aassar, A.-H.M.; M.Abo-Elfadel, M.; Orabi, A.S.; Das, R. Comparative Performance Evaluations of Nanomaterials Mixed Polysulfone: A Scale-Up Approach through Vacuum Enhanced Direct Contact Membrane Distillation for Water Desalination. Desalination 2019, 451, 111–116. [Google Scholar] [CrossRef]
- Choi, J.-K.; Paudel, A.; Sapkota, S.; Alsehli, M.; Alshamrani, A.; Park, J.; Hong, Y.; Romeiko, X. Comparative Assessment of Conventional and Emerging Desalination Technologies: A Holistic Review for Sustainable Water Solutions. Desalination 2025, 614, 119140. [Google Scholar] [CrossRef]
- Tupe, J.V.; Khot, S.M.; Padmanabhan, D.; Rajaguru, B. Polysulfone Membranes with Natural Additives for Water Purification: Fabrication and Performance Testing. Polymer 2025, 338, 129070. [Google Scholar] [CrossRef]
- Hussien, M.A.; Alotaibi, M.T.; Alharbi, A.; Fahmi, M.S.; Shahat, A.; Ali, M.E.A. Sustainable Light Energy Conversion Using Partially Zn-Substituted Mn Ferrite Doped Polysulfone Membranes for Enhanced Water Desalination. J. Water Process Eng. 2025, 71, 107264. [Google Scholar] [CrossRef]
- Zubair, M.; Farooq, S.; Hussain, A.; Riaz, S.; Ullah, A. A Review of Current Developments in Graphene Oxide–Polysulfone Derived Membranes for Water Remediation. Environ. Sci. Adv. 2024, 3, 983–1003. [Google Scholar] [CrossRef]
- Shivam, T.; Jha, R.K. Emerging 2D Materials for Hydrogen Detection: Mechanism, Challenges, & Opportunities. Coord. Chem. Rev. 2026, 549, 217237. [Google Scholar] [CrossRef]
- Xu, X.; Xie, J.; Li, Y.; Wu, S.; Yang, X.; Eltzov, E.; Jia, K. Carboxylated Polyarylene Ether Nitrile Modified Polysulfone Membrane with Enhanced Anti-Fouling for Oily Water Separation and Hexavalent Chromium Removal. Sep. Purif. Technol. 2025, 364, 132486. [Google Scholar] [CrossRef]
- Zodrow, K.; Brunet, L.; Mahendra, S.; Li, D.; Zhang, A.; Li, Q.; Alvarez, P.J.J. Polysulfone Ultrafiltration Membranes Impregnated with Silver Nanoparticles Show Improved Biofouling Resistance and Virus Removal. Water Res. 2009, 43, 715–723. [Google Scholar] [CrossRef] [PubMed]
- Kang, Y.; Obaid, M.; Jang, J.; Ham, M.-H.; Kim, I.S. Novel Sulfonated Graphene Oxide Incorporated Polysulfone Nanocomposite Membranes for Enhanced-Performance in Ultrafiltration Process. Chemosphere 2018, 207, 581–589. [Google Scholar] [CrossRef] [PubMed]
- Balakrishna Prabhu, K.; Saidutta, M.B.; Isloor, A.M.; Hebbar, R. Improvement in Performance of Polysulfone Membranes through the Incorporation of Chitosan-(3-Phenyl-1h-Pyrazole-4-Carbaldehyde). Cogent Eng. 2017, 4, 1403005. [Google Scholar] [CrossRef]
- Dong, H.-B.; Xu, Y.-Y.; Yi, Z.; Shi, J.-L. Modification of Polysulfone Membranes via Surface-Initiated Atom Transfer Radical Polymerization. Appl. Surf. Sci. 2009, 255, 8860–8866. [Google Scholar] [CrossRef]
- Radu, E.R.; Voicu, S.I. Functionalized Hemodialysis Polysulfone Membranes with Improved Hemocompatibility. Polymers 2022, 14, 1130. [Google Scholar] [CrossRef] [PubMed]
- Maggay, I.V.B.; Aini, H.N.; Lagman, M.M.G.; Tang, S.-H.; Aquino, R.R.; Chang, Y.; Venault, A. A Biofouling Resistant Zwitterionic Polysulfone Membrane Prepared by a Dual-Bath Procedure. Membranes 2022, 12, 69. [Google Scholar] [CrossRef]





| Membrane | Mw (Da) | Solvent | Additive | CO2/CH4 Selectivity | CO2 Permeability (Barrer) | CH4 Permeability (Barrer) | ∆P (bar) | T (°C) | Ref. |
|---|---|---|---|---|---|---|---|---|---|
| PSU | ~22,000 | tetrahydrofuran | - | 50 | 30.0 | 0.65 | 1 | 20 | [29] |
| PSU | ~22,000 | chloroform | - | 35 | 24.8 | 0.72 | 1 | 20 | [29] |
| PSU | ~22,000 | chloroform | - | 25 | 6.9 | 0.28 | 10 | 22 | [31] |
| PSU-0.5 wt% [C4mim][NTf2] | ~22,000 | chloroform | ionic liquid 1-alkyl-3-methylimidazolium bistriflamide ([C4mim][NTf2]) | 57 | 10.9 | 0.19 | 10 | 22 | [32] |
| PSU-2.5 wt% [C4mim][NTf2] | ~22,000 | chloroform | ionic liquid 1-alkyl-3-methylimidazolium bistriflamide ([C4mim][NTf2]) | 70 | 11.5 | 0.16 | 10 | 22 | [31] |
| PSU-0.5 wt% [DIP-C4mim][NTf2] | ~22,000 | chloroform | diisopropyl 1-alkyl-3-methylimidazolium bistriflamide ([DIP-C4mim][NTf2]) | 61 | 12.2 | 0.19 | 10 | 22 | [31] |
| PSU-2.5 wt% [DIP-C4mim][NTf2] | ~22,000 | chloroform | diisopropyl 1-alkyl-3-methylimidazolium bistriflamide ([DIP-C4mim][NTf2]) | 63 | 13.8 | 0.22 | 10 | 22 | [31] |
| PSU-5 wt% [P4441][formate] | ~22,000 | chloroform | tributylmethylphosphonium formate ([P4441][formate]) | 32 | 11.5 | 0.40 | 10 | 22 | [31] |
| PSU-12.5 wt% [P4441][formate] | ~22,000 | chloroform | tributylmethylphosphonium formate ([P4441][formate]) | 31 | 17.3 | 0.48 | 10 | 22 | [31] |
| PSU-0.5 wt% [N4441][formate] | ~22,000 | chloroform | tributylmethylammonium formate ([N4441][formate]) | 47 | 12.5 | 0.26 | 10 | 22 | [31] |
| PSU-2.5 wt% [N4441][formate] | ~22,000 | chloroform | tributylmethylammonium formate ([N4441][formate]) | 46 | 10.2 | 0.22 | 10 | 22 | [31] |
| PSU- wt32% ZIF-8 | 35,000 | chloroform | 32 wt% of MSS-Z8 synthesied by authors | 32 | 24.4 | - | 1 | 35 | [33] |
| PSU | 35,000 | chloroform | - | ~31 | 6.1 | 1 | 35 | [34] | |
| PSU | 77,000–83,000 | chloroform | - | ~22 | - | - | - | - | [35] |
| PSU | 77,000–83,000 | chloroform | 1 wt% of synthesied ZIF-8 | ~31 | - | - | - | - | [35] |
Disclaimer/Publisher’s Note: The statements, opinions and data contained in all publications are solely those of the individual author(s) and contributor(s) and not of MDPI and/or the editor(s). MDPI and/or the editor(s) disclaim responsibility for any injury to people or property resulting from any ideas, methods, instructions or products referred to in the content. |
© 2026 by the authors. Licensee MDPI, Basel, Switzerland. This article is an open access article distributed under the terms and conditions of the Creative Commons Attribution (CC BY) license.
Share and Cite
Verdugo, P.; Gulaczyk, I.; Olkiewicz, M.; Montornes, J.M.; Woźniak-Budych, M.; Pniewski, F.F.; Hołyńska-Iwan, I.; Tylkowski, B. Polysulfone Membranes: Here, There and Everywhere. Membranes 2026, 16, 35. https://doi.org/10.3390/membranes16010035
Verdugo P, Gulaczyk I, Olkiewicz M, Montornes JM, Woźniak-Budych M, Pniewski FF, Hołyńska-Iwan I, Tylkowski B. Polysulfone Membranes: Here, There and Everywhere. Membranes. 2026; 16(1):35. https://doi.org/10.3390/membranes16010035
Chicago/Turabian StyleVerdugo, Pere, Iwona Gulaczyk, Magdalena Olkiewicz, Josep M. Montornes, Marta Woźniak-Budych, Filip F. Pniewski, Iga Hołyńska-Iwan, and Bartosz Tylkowski. 2026. "Polysulfone Membranes: Here, There and Everywhere" Membranes 16, no. 1: 35. https://doi.org/10.3390/membranes16010035
APA StyleVerdugo, P., Gulaczyk, I., Olkiewicz, M., Montornes, J. M., Woźniak-Budych, M., Pniewski, F. F., Hołyńska-Iwan, I., & Tylkowski, B. (2026). Polysulfone Membranes: Here, There and Everywhere. Membranes, 16(1), 35. https://doi.org/10.3390/membranes16010035

