The Ammonia Adsorption and Desorption Behavior of Nafion
Abstract
1. Introduction
2. Materials and Methods
2.1. Nafion
2.2. Ion Exchange
2.3. Ammonia/Ammonium Determination
3. Electrochemical Cell
4. Results and Discussion
4.1. Ion Exchange
4.1.1. Ammonia Adsorption
4.1.2. Ammonia Desorption
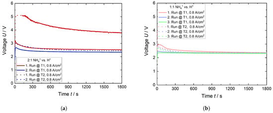
4.2. Ammonia Desorption in the Electrochemical Cell
4.2.1. Ammonia Desorption
4.2.2. Whereabouts of Ammonia
5. Conclusions
Supplementary Materials
Author Contributions
Funding
Institutional Review Board Statement
Data Availability Statement
Conflicts of Interest
Abbreviations
| eNRR | Electrochemical nitrogen reduction reaction |
| MEA | Membrane electrode assembly |
| PTL | Porous transport layer |
| HER | Hydrogen evolution reaction |
References
- Xue, Z.; Zhang, X.; Qin, J.; Liu, R. High-throughput identification of high activity and selectivity transition metal single-atom catalysts for nitrogen reduction. Nano Energy 2021, 80, 105527. [Google Scholar] [CrossRef]
- Suryanto, B.H.R.; Du, H.L.; Wang, D.; Chen, J.; Simonov, A.N.; MacFarlane, D.R. Challenges and prospects in the catalysis of electroreduction of nitrogen to ammonia. Nat. Catal. 2019, 2, 290–296. [Google Scholar] [CrossRef]
- Schlögl, R. Catalytic synthesis of ammonia—A “never-ending story”? Angew. Chem. 2003, 42, 2004–2008. [Google Scholar] [CrossRef] [PubMed]
- Tang, C.; Qiao, S.Z. How to explore ambient electrocatalytic nitrogen reduction reliably and insightfully. Chem. Soc. Rev. 2019, 48, 3166–3180. [Google Scholar] [CrossRef] [PubMed]
- Smil, V. Detonator of the population explosion. Nature 1999, 400, 415. [Google Scholar] [CrossRef]
- Erisman, J.W.; Sutton, M.A.; Galloway, J.; Klimont, Z.; Winiwarter, W. How a century of ammonia synthesis changed the world. Nat. Geosci. 2008, 1, 636–639. [Google Scholar] [CrossRef]
- Hu, L.; Khaniya, A.; Wang, J.; Chen, G.; Kaden, W.E.; Feng, X. Ambient Electrochemical Ammonia Synthesis with High Selectivity on Fe/Fe Oxide Catalyst. ACS Catal. 2018, 8, 9312–9319. [Google Scholar] [CrossRef]
- Chanda, D.; Xing, R.; Xu, T.; Liu, Q.; Luo, Y.; Liu, S.; Tufa, R.A.; Dolla, T.H.; Montini, T.; Sun, X. Electrochemical nitrogen reduction: Recent progress and prospects. Chem. Commun. 2021, 57, 7335–7349. [Google Scholar] [CrossRef]
- Iriawan, H.; Andersen, S.Z.; Zhang, X.; Comer, B.M.; Barrio, J.; Chen, P.; Medford, A.J.; Stephens, I.E.L.; Chorkendorff, I.; Shao-Horn, Y. Methods for nitrogen activation by reduction and oxidation. Nat. Rev. Methods Prim. 2021, 1, 56. [Google Scholar] [CrossRef]
- van der Ham, C.J.M.; Koper, M.T.M.; Hetterscheid, D.G.H. Challenges in reduction of dinitrogen by proton and electron transfer. Chem. Soc. Rev. 2014, 43, 5183–5191. [Google Scholar] [CrossRef]
- Li, K.; Andersen, S.Z.; Statt, M.J.; Saccoccio, M.; Bukas, V.J.; Krempl, K.; Sažinas, R.; Pedersen, J.B.; Shadravan, V.; Zhou, Y.; et al. Enhancement of lithium-mediated ammonia synthesis by addition of oxygen. Science 2021, 374, 1593–1597. [Google Scholar] [CrossRef] [PubMed]
- Shen, H.; Choi, C.; Masa, J.; Li, X.; Qiu, J.; Jung, Y.; Sun, Z. Electrochemical ammonia synthesis: Mechanistic understanding and catalyst design. Chem 2021, 7, 1708–1754. [Google Scholar] [CrossRef]
- Wu, T.; Fan, W.; Zhang, Y.; Zhang, F. Electrochemical synthesis of ammonia: Progress and challenges. Mater. Today Phys. 2021, 16, 100310. [Google Scholar] [CrossRef]
- Rafiqul, I.; Weber, C.; Lehmann, B.; Voss, A. Energy efficiency improvements in ammonia production—Perspectives and uncertainties. Energy 2005, 30, 2487–2504. [Google Scholar] [CrossRef]
- Xu, T.; Liang, J.; Li, S.; Xu, Z.; Yue, L.; Li, T.; Luo, Y.; Liu, Q.; Shi, X.; Asiri, A.M.; et al. Recent Advances in Nonprecious Metal Oxide Electrocatalysts and Photocatalysts for N 2 Reduction Reaction under Ambient Condition. Small Sci. 2021, 1, 2000069. [Google Scholar] [CrossRef]
- Liu, D.; Chen, M.; Du, X.; Ai, H.; Lo, K.H.; Wang, S.; Chen, S.; Xing, G.; Wang, X.; Pan, H. Development of Electrocatalysts for Efficient Nitrogen Reduction Reaction under Ambient Condition. Adv. Funct. Mater. 2021, 31, 2008983. [Google Scholar] [CrossRef]
- Andersen, S.Z.; Čolić, V.; Yang, S.; Schwalbe, J.A.; Nielander, A.C.; McEnaney, J.M.; Enemark-Rasmussen, K.; Baker, J.G.; Singh, A.R.; Rohr, B.A.; et al. A rigorous electrochemical ammonia synthesis protocol with quantitative isotope measurements. Nature 2019, 570, 504–508. [Google Scholar] [CrossRef]
- Kordali, V.; Kyriacou, G.; Lambrou, C. Electrochemical synthesis of ammonia at atmospheric pressure and low temperature in a solid polymer electrolyte cell. Chem. Commun. 2000, 1673–1674. [Google Scholar] [CrossRef]
- Kumari, S.; Pishgar, S.; Schwarting, M.E.; Paxton, W.F.; Spurgeon, J.M. Synergistic plasma-assisted electrochemical reduction of nitrogen to ammonia. Chem. Commun. 2018, 54, 13347–13350. [Google Scholar] [CrossRef]
- Yang, X.; Nash, J.; Anibal, J.; Dunwell, M.; Kattel, S.; Stavitski, E.; Attenkofer, K.; Chen, J.G.; Yan, Y.; Xu, B. Mechanistic Insights into Electrochemical Nitrogen Reduction Reaction on Vanadium Nitride Nanoparticles. J. Am. Chem. Soc. 2018, 140, 13387–13391. [Google Scholar] [CrossRef]
- Lan, R.; Irvine, J.T.S.; Tao, S. Synthesis of ammonia directly from air and water at ambient temperature and pressure. Sci. Rep. 2013, 3, 1145. [Google Scholar] [CrossRef] [PubMed]
- Leonardi, M.; Tranchida, G.; Corso, R.; Milazzo, R.G.; Lombardo, S.A.; Privitera, S.M.S. Role of the Membrane Transport Mechanism in Electrochemical Nitrogen Reduction Experiments. Membranes 2022, 12, 969. [Google Scholar] [CrossRef] [PubMed]
- Liu, H.; Guijarro, N.; Luo, J. The pitfalls in electrocatalytic nitrogen reduction for ammonia synthesis. J. Energy Chem. 2021, 61, 149–154. [Google Scholar] [CrossRef]
- Hanifpour, F.; Sveinbjörnsson, A.; Canales, C.P.; Skúlason, E.; Flosadóttir, H.D. Preparation of Nafion Membranes for Reproducible Ammonia Quantification in Nitrogen Reduction Reaction Experiments. Angew. Chem. 2020, 59, 22938–22942. [Google Scholar] [CrossRef]
- Cai, X.; Iriawan, H.; Yang, F.; Luo, L.; Shen, S.; Shao-Horn, Y.; Zhang, J. Interaction of Ammonia with Nafion and Electrolyte in Electrocatalytic Nitrogen Reduction Study. J. Phys. Chem. Lett. 2021, 12, 6861–6866. [Google Scholar] [CrossRef]
- Hongsirikarn, K.; Goodwin, J.G.; Greenway, S.; Creager, S. Influence of ammonia on the conductivity of Nafion membranes. J. Power Sources 2010, 195, 30–38. [Google Scholar] [CrossRef]
- Ren, Y.; Yu, C.; Tan, X.; Han, X.; Huang, H.; Huang, H.; Qiu, J. Is It Appropriate to Use the Nafion Membrane in Electrocatalytic N 2 Reduction? Small Methods 2019, 3, 1900474. [Google Scholar] [CrossRef]
- Yu, T.H.; Sha, Y.; Liu, W.G.; Merinov, B.V.; Shirvanian, P.; Goddard, W.A. Mechanism for degradation of Nafion in PEM fuel cells from quantum mechanics calculations. J. Am. Chem. Soc. 2011, 133, 19857–19863. [Google Scholar] [CrossRef]
- Ito, H.; Maeda, T.; Nakano, A.; Takenaka, H. Properties of Nafion membranes under PEM water electrolysis conditions. Int. J. Hydrogen Energy 2011, 36, 10527–10540. [Google Scholar] [CrossRef]
- Jalani, N.H.; Datta, R. The effect of equivalent weight, temperature, cationic forms, sorbates, and nanoinorganic additives on the sorption behavior of Nafion®. J. Membr. Sci. 2005, 264, 167–175. [Google Scholar] [CrossRef]
- Zhao, Y.; Wu, F.; Miao, Y.; Zhou, C.; Xu, N.; Shi, R.; Wu, L.Z.; Tang, J.; Zhang, T. Revealing Ammonia Quantification Minefield in Photo/Electrocatalysis. Angew. Chem. 2021, 60, 21728–21731. [Google Scholar] [CrossRef] [PubMed]
- Li, L.; Tang, C.; Xia, B.; Jin, H.; Zheng, Y.; Qiao, S.Z. Two-Dimensional Mosaic Bismuth Nanosheets for Highly Selective Ambient Electrocatalytic Nitrogen Reduction. ACS Catal. 2019, 9, 2902–2908. [Google Scholar] [CrossRef]
- Shiva Kumar, S.; Himabindu, V. Hydrogen production by PEM water electrolysis—A review. Mater. Sci. Energy Technol. 2019, 2, 442–454. [Google Scholar] [CrossRef]
- Litster, S.; McLean, G. PEM fuel cell electrodes. J. Power Sources 2004, 130, 61–76. [Google Scholar] [CrossRef]
- Halseid, R.; Vie, P.J.S.; Tunold, R. Influence of Ammonium on Conductivity and Water Content of Nafion 117 Membranes; IOPscience: Bristol, UK, 2004. [Google Scholar]
- Morris, D.R.; Sun, X. Water–sorption and transport properties of Nafion 117 H. J. Appl. Polym. Sci. 1993, 50, 1445–1452. [Google Scholar] [CrossRef]
- Carmo, M.; Fritz, D.L.; Mergel, J.; Stolten, D. A comprehensive review on PEM water electrolysis. Int. J. Hydrogen Energy 2013, 38, 4901–4934. [Google Scholar] [CrossRef]
- Araujo, R.B.; Edvinsson, T. Supervised AI and Deep Neural Networks to Evaluate High-Entropy Alloys as Reduction Catalysts in Aqueous Environments. ACS Catal. 2024, 14, 3742–3755. [Google Scholar] [CrossRef]


















| NH4+ vs. H+ | n(NH4+) | c(NH4+) | (NH4+) | m((NH4)2SO4) |
|---|---|---|---|---|
| 0.5:1 | mol | mol −1 | 144 −1 | 13 |
| 0.8:1 | mol | mol −1 | 235 −1 | 22 |
| 1:1 | 403 mol | mol −1 | 289 −1 | 26 |
| 1.5:1 | mol | mol −1 | 433 −1 | 40 |
| 2:1 | 806 mol | mol −1 | 577 −1 | 52 |
| [cm2] | [cm2] | [cm2] | [s] | [−1 s−1 cm−2] | ||
|---|---|---|---|---|---|---|
| 1. Run | 2. Run | |||
|---|---|---|---|---|
| n [mol] | [%] | n [mol] | [%] | |
| ntot | ||||
| V1 | ||||
| V2 | ||||
| V3 | ||||
Disclaimer/Publisher’s Note: The statements, opinions and data contained in all publications are solely those of the individual author(s) and contributor(s) and not of MDPI and/or the editor(s). MDPI and/or the editor(s) disclaim responsibility for any injury to people or property resulting from any ideas, methods, instructions or products referred to in the content. |
© 2025 by the authors. Licensee MDPI, Basel, Switzerland. This article is an open access article distributed under the terms and conditions of the Creative Commons Attribution (CC BY) license (https://creativecommons.org/licenses/by/4.0/).
Share and Cite
Sachse, D.; Glüsen, A.; Wippermann, K.; Müller, M.; Rau, U.; Peters, R. The Ammonia Adsorption and Desorption Behavior of Nafion. Membranes 2025, 15, 149. https://doi.org/10.3390/membranes15050149
Sachse D, Glüsen A, Wippermann K, Müller M, Rau U, Peters R. The Ammonia Adsorption and Desorption Behavior of Nafion. Membranes. 2025; 15(5):149. https://doi.org/10.3390/membranes15050149
Chicago/Turabian StyleSachse, Dominik, Andreas Glüsen, Klaus Wippermann, Martin Müller, Uwe Rau, and Ralf Peters. 2025. "The Ammonia Adsorption and Desorption Behavior of Nafion" Membranes 15, no. 5: 149. https://doi.org/10.3390/membranes15050149
APA StyleSachse, D., Glüsen, A., Wippermann, K., Müller, M., Rau, U., & Peters, R. (2025). The Ammonia Adsorption and Desorption Behavior of Nafion. Membranes, 15(5), 149. https://doi.org/10.3390/membranes15050149

