Water Molecules’ and Lithium Cations’ Mobility in Sulfonated Polystyrene Studied by Nuclear Magnetic Resonance
Abstract
:1. Introduction
2. Materials and Methods
2.1. Materials
2.2. Methods
2.2.1. Pulsed-Field Gradient NMR (PFG NMR)
2.2.2. Spin Relaxation
3. Results
3.1. High-Resolution NMR Spectra
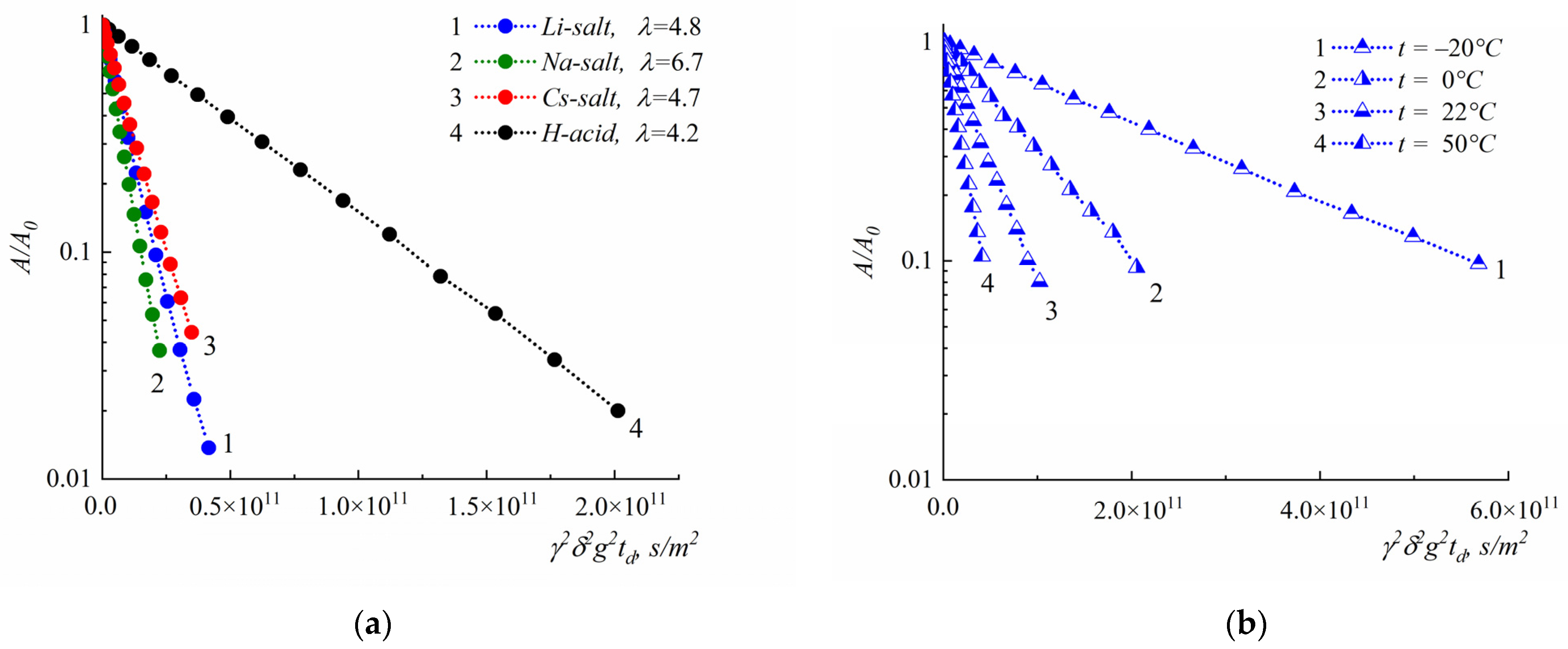
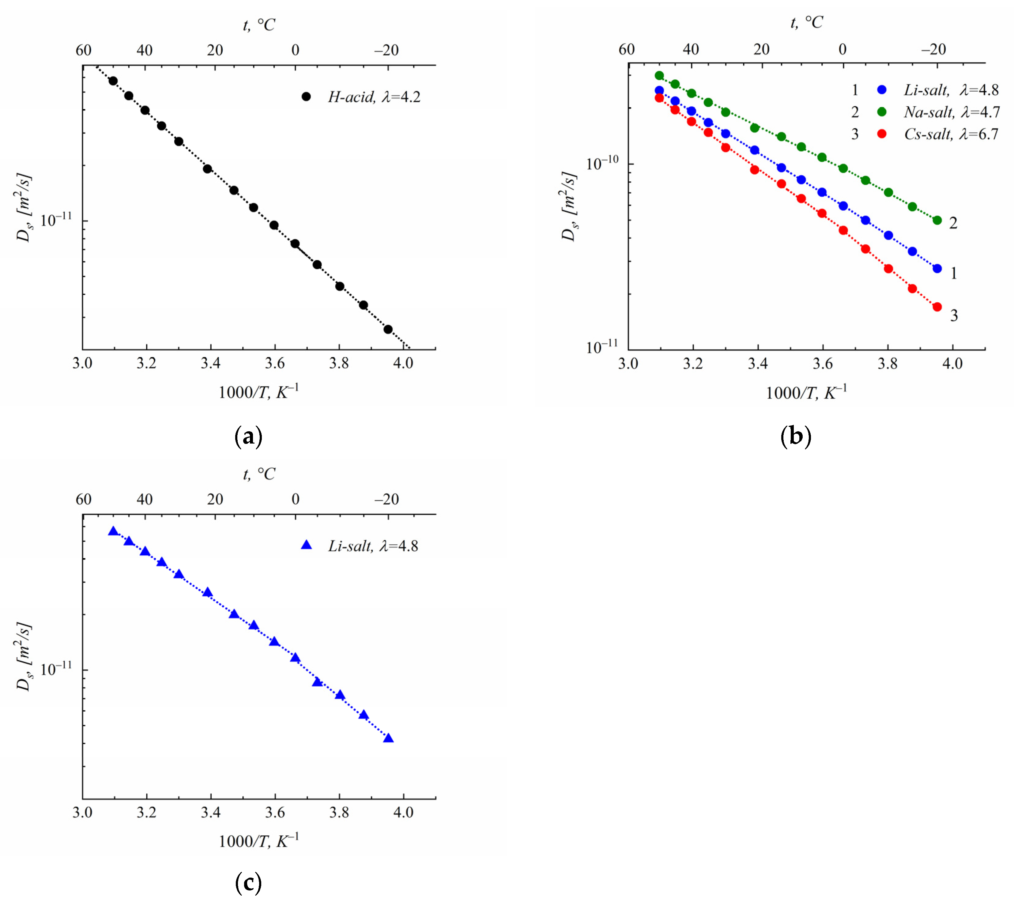
3.2. Self-Diffusion
3.3. Water and Lithium Cation Local Mobility
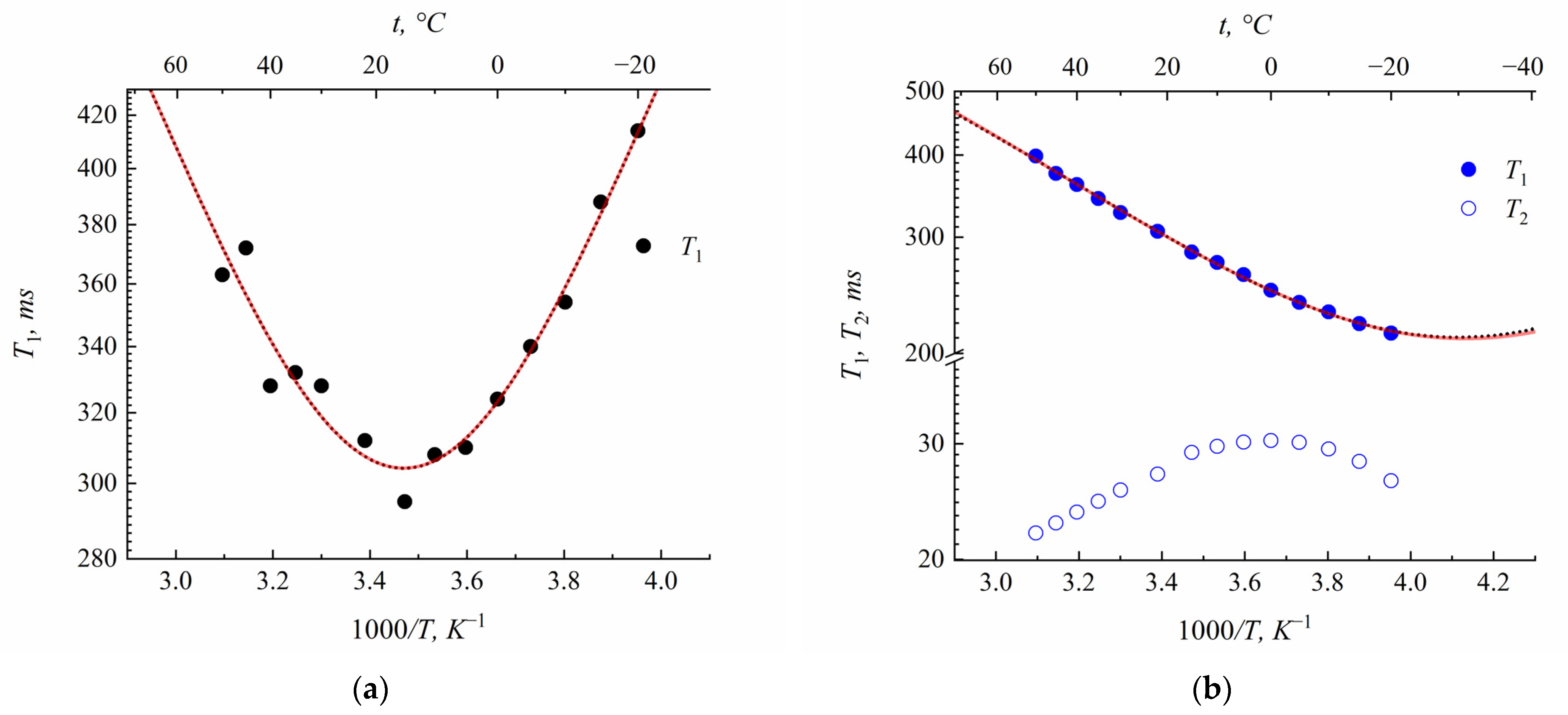
3.3.1. Water Molecules’ Local Mobility and 1H Spin Relaxation
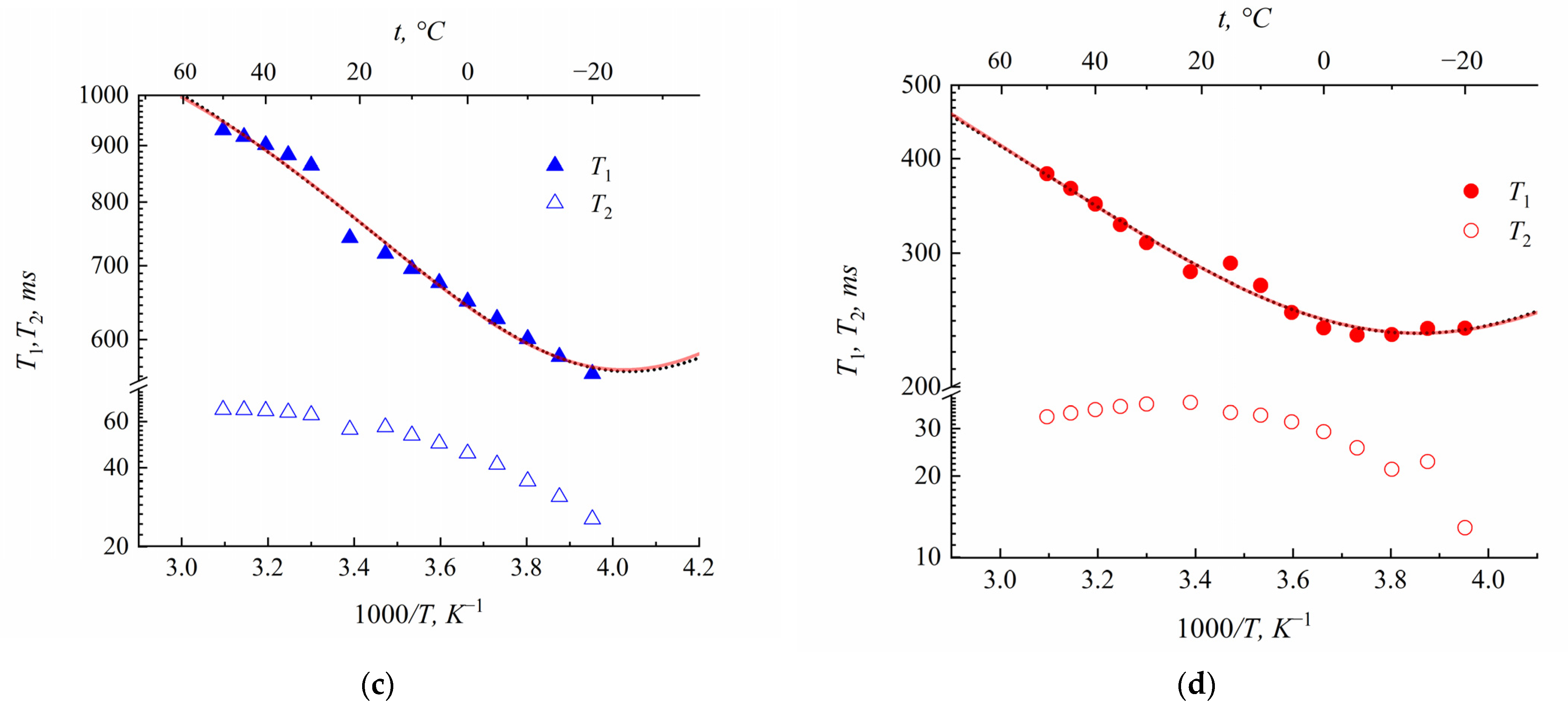
3.3.2. Local Mobility of Lithium 7Li Cations, and Spin Relaxation
4. Conclusions
Author Contributions
Funding
Acknowledgments
Conflicts of Interest
References
- Safronova, Y.; Golubenko, D.V.; Shevlyakova, N.V.; D’yakova, M.G.; Tverskoi, V.A.; Dammak, L.; Grande, D.; Yaroslavtsev, A.B. New cation-exchange membranes based on cross-linked sulfonated polystyrene and polyethylene for power generation systems. J. Membr. Sci. 2016, 515, 196–203. [Google Scholar] [CrossRef]
- Yaroslavtsev, A.B.; Stenina, I.A. Current progress in membranes for fuel cells and reverse electrodialysis. Mendeleev Commun. 2021, 31, 423–432. [Google Scholar] [CrossRef]
- Fechete, R.; Demco, D.E.; Zhu, X.; Tillmann, W.; Möller, M. Water states and dynamics in perfluorinated ionomer membranes by 1H one- and two-dimensional NMR spectroscopy, relaxometry, and diffusometry. Chem. Phys. Lett. 2014, 597, 6–15. [Google Scholar] [CrossRef]
- Iwamoto, R.; Oguro, K.; Sato, M.; Iseki, Y. Water in perfluorinated, sulfonic acid Nafion membranes. J. Phys. Chem. B 2002, 106, 6973–6979. [Google Scholar] [CrossRef]
- Maldonado, L.; Perrin, J.-C.; Dillet, J.; Lottin, O. Characterization of polymer electrolyte Nafion membranes: Influence of temperature, heat treatment and drying protocol on sorption and transport properties. J. Membr. Sci. 2012, 389, 43–56. [Google Scholar] [CrossRef]
- Guillermo, A.; Gebel, G.; Mendil-Jakani, H.; Pinton, E. NMR and pulsed field gradient NMR approach of water sorption properties in Nafion at low temperature. J. Phys. Chem. B 2009, 113, 6710–6717. [Google Scholar] [CrossRef]
- Hammer, R.; Scho, M.; Hansen, M.R. Comprehensive Picture of Water Dynamics in Nafion Membranes at Different Levels of Hydration. J. Phys. Chem. B. 2019, 123, 8313–8324. [Google Scholar] [CrossRef]
- Volkov, V.I.; Chernyak, A.V.; Slesarenko, N.A.; Avilova, I.A. Ion and Molecular Transport in Solid Electrolytes Studied by NMR. Int. J. Mol. Sci. 2022, 23, 5011. [Google Scholar] [CrossRef]
- Kusoglu, A.; Weber, A.Z. New Insights into Perfluorinated Sulfonic-Acid Ionomers. Chem. Rev. 2017, 117, 987–1104. [Google Scholar] [CrossRef]
- Zhao, Q.; Majsztrik, P.; Benziger, J. Diffusion and Interfacial Transport of Water in Nafion. J. Phys. Chem. B 2011, 115, 2717–2727. [Google Scholar] [CrossRef]
- Nicotera, I.; Coppola, L.; Rossi, C.O.; Youssry, M.; Ranieri, G.A. NMR Investigation of the Dynamics of Confined Water in Nafion-Based Electrolyte Membranes at Subfreezing Temperatures. J. Phys. Chem. B 2009, 113, 13935–13941. [Google Scholar] [CrossRef] [PubMed]
- Moster, A.L.; Mitchell, B.S. Hydration and Proton Conduction in Nafion/Ceramic Nanocomposite Membranes Produced by Solid-State Processing of Powders from Mechanical Attrition. Appl. Polym. Sci. 2009, 113, 243. [Google Scholar] [CrossRef]
- Chernyak, A.V.; Vasiliev, S.G.; Avilova, I.A.; Volkov, V.I. Hydration and Water Molecules Mobility in Acid Form of Nafion Membrane Studied by 1H NMR Techniques. Appl. Magn. Reson. 2019, 50, 677–693. [Google Scholar] [CrossRef]
- Volkov, V.I.; Vasilyak, S.L.; Park, I.-W.; Kim, H.J.; Ju, H.; Volkov, E.V.; Choh, S.H. Water Behavior in Perfluorinated Ion-Exchange Membranes. Appl. Magn. Reson. 2003, 25, 43–53. [Google Scholar] [CrossRef]
- Volkov, V.I.; Slesarenko, N.A.; Chernyak, A.V.; Avilova, I.A.; Tarasov, V.P. Hydration and Mobility of Alkaline Metal Cations in Sulfonic Cation Exchange Membranes. Membranes 2023, 13, 518. [Google Scholar] [CrossRef]
- Hietala, S.; Maunu, S.L.; Sundholm, F.; Lehtinen, T.; Sundholm, G. Water sorption and diffusion coefficients of protons and water in PVDF-g-PSSA polymer electrolyte membranes. J. Polym. Sci. B Polym. Phys. 1999, 37, 2893–2900. [Google Scholar] [CrossRef]
- Sahu, A.K.; Selvarani, G.S.; Bhat, D.; Pitchumani, S.; Sridhar, P.; Shukla, A.K.; Narayanan, N.A.; Banerjee, N. Chandrakumar Effect of varying poly(styrene sulfonic acid) content in poly(vinyl alcohol)–poly(styrene sulfonic acid) blend membrane and its ramification in hydrogen–oxygen polymer electrolyte fuel cells. J. Membr. Sci. 2008, 319, 298–305. [Google Scholar] [CrossRef]
- Siu, A.; Schmeisser, J.; Holdcroft, S. Effect of Water on the Low Temperature Conductivity of Polymer Electrolytes. J. Phys. Chem. B 2006, 110, 6072–6080. [Google Scholar] [CrossRef]
- Sivashinsky, N.; Tanny, G.B. The state of water in swollen ionomers containing sulfonic acid salts. J. Appl. Polym. Sci. 1981, 26, 2625–2637. [Google Scholar] [CrossRef]
- Walsby, N.; Hietala, S.; Maunu, S.L.; Sundholm, F.; Kallio, T.; Sundholm, G. Water in different poly(styrene sulfonic acid)-grafted fluoropolymers. J. Appl. Polym. Sci. 2002, 86, 33–42. [Google Scholar] [CrossRef]
- Zhang, J.; Chen, F.; Ma, X.; Guan, X.; Chen, D.; Hickner, M.A. Sulfonated polymers containing polyhedral oligomeric silsesquioxane (POSS) core for high performance proton exchange membranes. Int. J. Hydrogen Energy 2015, 40, 7135–7143. [Google Scholar] [CrossRef]
- Halle, B.; Bratko, D.; Puculell, L. Interpretation of Counterion Spin Relaxation in Polyelectrolyte Solutions. II. Effects of Finite Polyion Length. Ber. Bunsenges. Phys. Chem. 1985, 89, 1254–1260. [Google Scholar] [CrossRef]
- Halle, B.; Wennerstror, H.; Piculell, L. Interpretation of Counterlon Spin Relaxation in Polyelectrolyte Solutions. J. Phys. Chem. 1984, 88, 2482–2494. [Google Scholar] [CrossRef]
- Tromp, R.H.; Maarel, J.R.C.; Bleijser, J.; Leyte, J.C. Counter-ion dynamics in crosslinked poly(styrene sulfonate) systems studied by NMR. Biophys. Chem. 1991, 41, 81–100. [Google Scholar] [CrossRef]
- Bohme, U.; Hanel, B.; Scheler, U. Influence of the Counterions on the Behaviour of Polyelectrolytes. Progr. Colloid Polym. Sci. 2011, 138, 45–48. [Google Scholar]
- Thompson, E.L.; Capehart, T.W.; Fuller, T.J.; Jorne, J. Investigation of Low-Temperature Proton Transport in Nafion Using Direct Current Conductivity and Differential Scanning Calorimetry. J. Electrochem. Soc. 2006, 153, A2351–A2362. [Google Scholar] [CrossRef]
- Zavorotnaya, U.M.; Privalov, A.F.; Wolter, C.; Vogel, M.; Ponomarev, I.I.; Sinitsyn, V.V. Humidity effect on temperature behavior of proton diffusion coefficient in sulfonated co-polynaphthoyleneimide membranes measured by 1H NMR diffusometry. Ionics 2023. [Google Scholar] [CrossRef]
- Nesterov, I.A.; Volkov, V.I.; Pukhov, K.K.; Timashev, S.F. Magnetic-relaxation of 7Li+ nuclei and dynamics of movements of lithium counter-ions and water-molecules in perfluorinated sulfocationite membranes. Russ. J. Chem. Phys. 1990, 10, 1155–1162. [Google Scholar]
- Martins, C.R.; Hallwass, F. Solid-State 13C NMR Analysis of Sulfonated Polystyrene. Ann. Magn. Reson. 2007, 6, 46–55. [Google Scholar]
- C´anovas, M.J.; Sobrados, I.; Sanz, J.; Acosta, J.L.; Linares, A. Proton mobility in hydrated sulfonated polystyrene NMR and impedance studies. J. Membr. Sci. 2006, 280, 461–469. [Google Scholar] [CrossRef]
- Shubha, N.; Zhu, H.; Forsyth, M.; Srinivasan, M. Study of lithium conducting single ion conductor based on polystyrene sulfonate for lithium battery application. Polymers 2016, 99, 748–755. [Google Scholar] [CrossRef]










| Ionic Form | Nuclear | λ, [H2O]/[SO3−] | t > 0 °C Ea1, kJ/mole | t < 0 °C Ea2, kJ/mole |
|---|---|---|---|---|
| H | 1H | 4.2 | 30 | 30 |
| Li | 1H | 4.8 | 21 | 22 |
| 7Li | 23 | 28 | ||
| Na | 1H | 6.7 | 16 | 18 |
| Cs | 1H | 4.7 | 24 | 27 |
| Water in H+ Acid Film | Water in Li+ Salt Film | Water in Cs+ Salt Film | Li+ Cation in Li+ Salt Film | Li+ Cation in Nafion 117 Li+ Ionic Form [15] | |
|---|---|---|---|---|---|
| λ, [H2O]/[SO3−] | 4.2 | 4.8 | 4.7 | 4.8 | 4.0 |
| Temperature of T1min(T), °C | +15 | −20 | −5 | −20 | −20 |
| Ds exp at T1min(T), m2/s (10−11) | 1.5 | 2.7 | 3.5 | 0.3 | 0.4 |
| Ds calc at T1min(T), m2/s (10−11) | 2.0 | 3.3 | 1.5 | 0.4 | 0.38 |
| l, nm [15] | 0.15 | 0.20 | 0.15 | 0.15 | 0.15 |
Disclaimer/Publisher’s Note: The statements, opinions and data contained in all publications are solely those of the individual author(s) and contributor(s) and not of MDPI and/or the editor(s). MDPI and/or the editor(s) disclaim responsibility for any injury to people or property resulting from any ideas, methods, instructions or products referred to in the content. |
© 2023 by the authors. Licensee MDPI, Basel, Switzerland. This article is an open access article distributed under the terms and conditions of the Creative Commons Attribution (CC BY) license (https://creativecommons.org/licenses/by/4.0/).
Share and Cite
Bilyk, S.A.; Tverskoy, V.A.; Chernyak, A.V.; Avilova, I.A.; Slesarenko, N.A.; Volkov, V.I. Water Molecules’ and Lithium Cations’ Mobility in Sulfonated Polystyrene Studied by Nuclear Magnetic Resonance. Membranes 2023, 13, 725. https://doi.org/10.3390/membranes13080725
Bilyk SA, Tverskoy VA, Chernyak AV, Avilova IA, Slesarenko NA, Volkov VI. Water Molecules’ and Lithium Cations’ Mobility in Sulfonated Polystyrene Studied by Nuclear Magnetic Resonance. Membranes. 2023; 13(8):725. https://doi.org/10.3390/membranes13080725
Chicago/Turabian StyleBilyk, Stepan A., Vladimir A. Tverskoy, Alexander V. Chernyak, Irina A. Avilova, Nikita A. Slesarenko, and Vitaly I. Volkov. 2023. "Water Molecules’ and Lithium Cations’ Mobility in Sulfonated Polystyrene Studied by Nuclear Magnetic Resonance" Membranes 13, no. 8: 725. https://doi.org/10.3390/membranes13080725
APA StyleBilyk, S. A., Tverskoy, V. A., Chernyak, A. V., Avilova, I. A., Slesarenko, N. A., & Volkov, V. I. (2023). Water Molecules’ and Lithium Cations’ Mobility in Sulfonated Polystyrene Studied by Nuclear Magnetic Resonance. Membranes, 13(8), 725. https://doi.org/10.3390/membranes13080725

