Molecular Simulation of Pervaporation on Polyurethane Membranes
Abstract
1. Introduction
2. Methods
2.1. Molecular Interaction
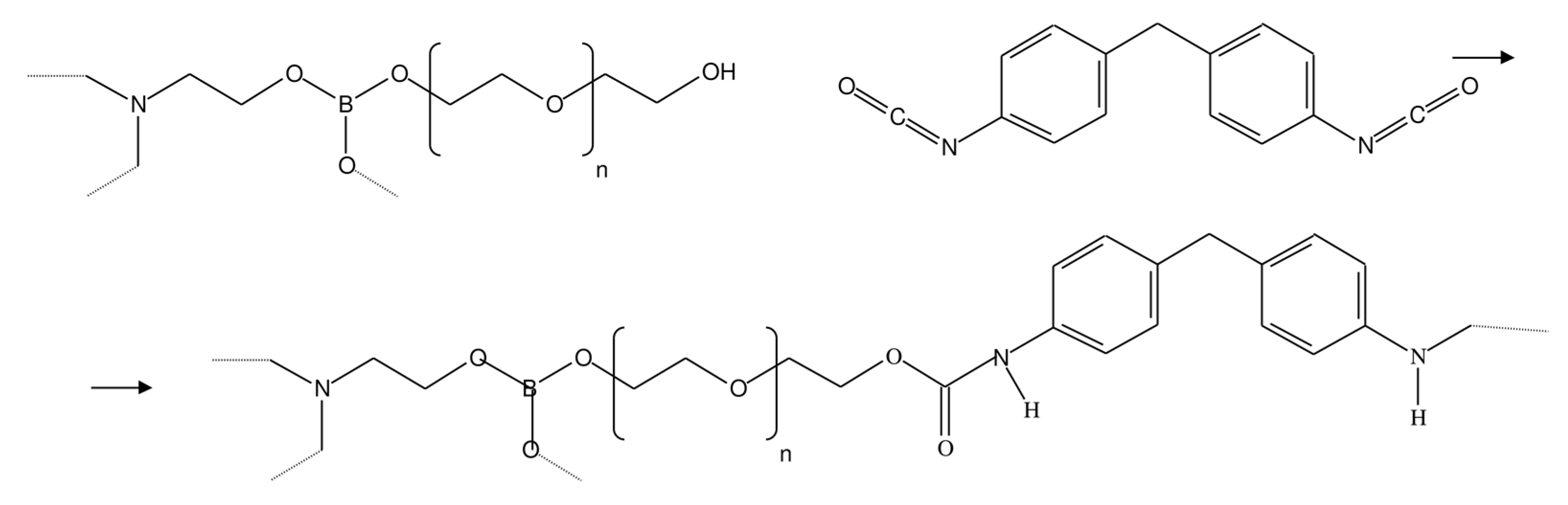
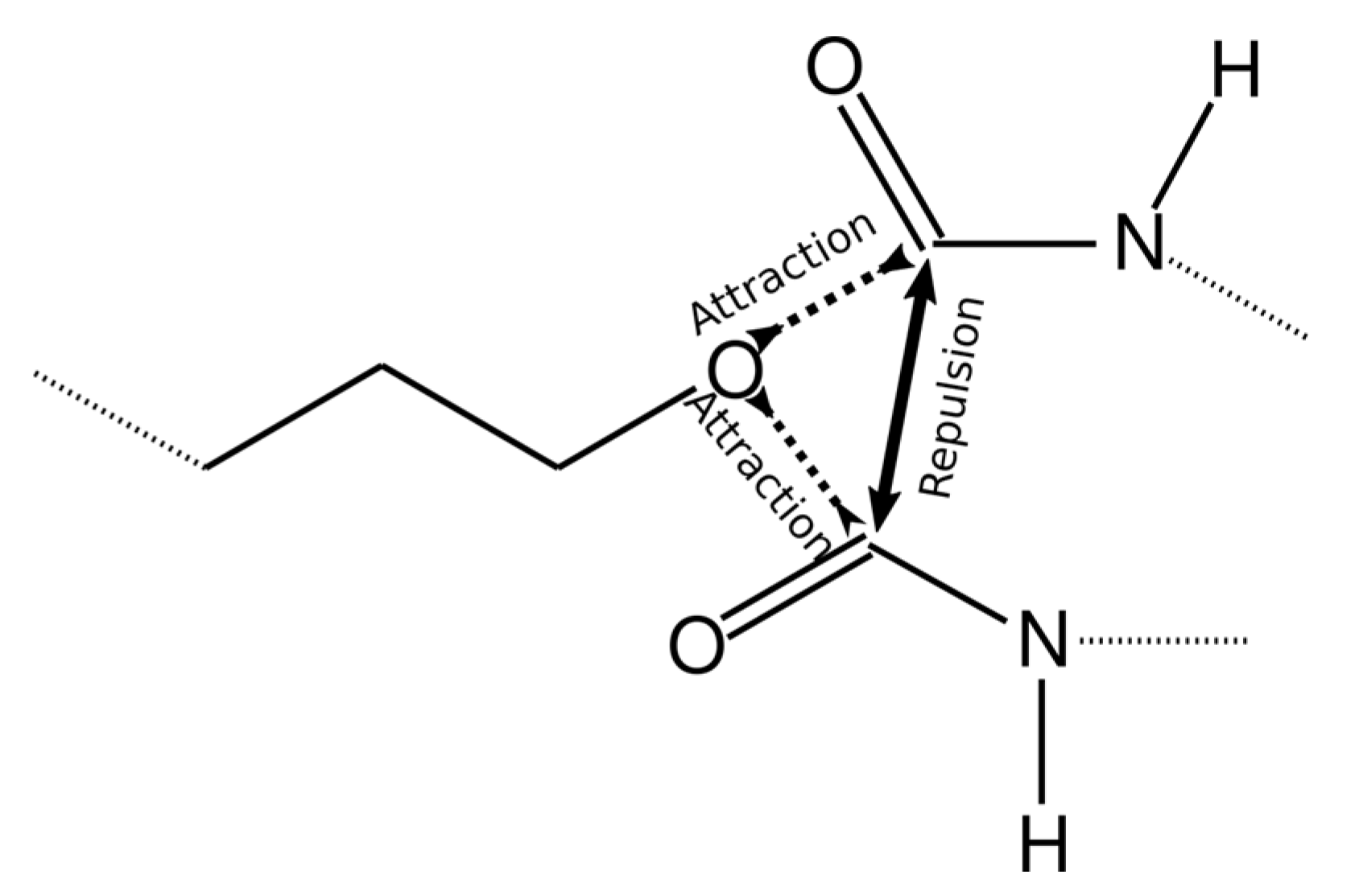
2.2. Method for Modeling the Structure of Polyurethanes
2.3. Method for Simulation of Pervaporation on Polymeric Membranes
2.4. Simulation of Adsorption under Equilibrium Conditions
3. Results and Discussion
3.1. Adsorption of Water and Ethanol on Polyurethanes from AEBA
3.2. Pervaporation of Water and Ethanol on the Polyurethane Membrane
4. Conclusions
Supplementary Materials
Author Contributions
Funding
Institutional Review Board Statement
Informed Consent Statement
Data Availability Statement
Conflicts of Interest
References
- Feng, X.; Huang, R.Y.M. Liquid Separation by Membrane Pervaporation: A Review. Ind. Eng. Chem. Res. 1997, 36, 1048–1066. [Google Scholar] [CrossRef]
- Van der Bruggen, B.; Luis, P. Pervaporation as a Tool in Chemical Engineering: A New Era? Curr. Opin. Chem. Eng. 2014, 4, 47–53. [Google Scholar] [CrossRef]
- Mollahosseini, A.; Abdelrasoul, A. Molecular Dynamics Simulation for Membrane Separation and Porous Materials: A Current State of Art Review. J. Mol. Graph. Model. 2021, 107, 107947. [Google Scholar] [CrossRef] [PubMed]
- Binning, R.; Lee, R.; Jennings, J.; Martin, E. Separation of Liquid Mixtures by Permeation. Ind. Eng. Chem. 1961, 53, 45–50. [Google Scholar] [CrossRef]
- Schepers, C.; Hofmann, D. Molecular Simulation Study on Sorption and Diffusion Processes in Polymeric Pervaporation Membrane Materials. Mol. Simul. 2006, 32, 73–83. [Google Scholar] [CrossRef]
- Yang, J.Z.; Liu, Q.L.; Wang, H.T. Analyzing Adsorption and Diffusion Behaviors of Ethanol/Water through Silicalite Membranes by Molecular Simulation. J. Membr. Sci. 2007, 291, 1–9. [Google Scholar] [CrossRef]
- Kuhn, J.; Castillo-Sanchez, J.M.; Gascon, J.; Calero, S.; Dubbeldam, D.; Vlugt, T.J.H.; Kapteijn, F.; Gross, J. Adsorption and Diffusion of Water, Methanol, and Ethanol in All-Silica DD3R: Experiments and Simulation. J. Phys. Chem. C 2009, 113, 14290–14301. [Google Scholar] [CrossRef]
- Tomita, T.; Nakayama, K.; Sakai, H. Gas Separation Characteristics of DDR Type Zeolite Membrane. Microporous Mesoporous Mater. 2004, 68, 71–75. [Google Scholar] [CrossRef]
- Heffelfinger, G.S.; Swol, F. van Diffusion in Lennard-Jones Fluids Using Dual Control Volume Grand Canonical Molecular Dynamics Simulation (DCV-GCMD). J. Chem. Phys. 1994, 100, 7548–7552. [Google Scholar] [CrossRef]
- Swol, F.V.; Heffelfinger, G.S. Gradient-Driven Diffusion Using Dual Control Volume Grand Canonical Molecular Dynamics (DCV-GCMD). MRS Proc. 1995, 408, 299. [Google Scholar] [CrossRef]
- Klinov, A.V.; Anashkin, I.P.; Akberov, R.R. Molecular Dynamics Simulation of Pervaporation of an Ethanol–Water Mixture on a Hybrid Silicon Oxide Membrane. High Temp. 2018, 56, 70–76. [Google Scholar] [CrossRef]
- Klinov, A.V.; Anashkin, I.P.; Razinov, A.I.; Minibaeva, L.R. Molecular Simulation of Pervaporation of a Lennard-Jones Mixture Using a Crystalline Membrane. Theor. Found. Chem. Eng. 2019, 53, 472–486. [Google Scholar] [CrossRef]
- Gupta, K.M.; Liu, J.; Jiang, J. A Molecular Simulation Protocol for Membrane Pervaporation. J. Membr. Sci. 2019, 572, 676–682. [Google Scholar] [CrossRef]
- Liu, J.; Wei, W.; Jiang, J. A Highly Rigid and Conjugated Microporous Polymer Membrane for Solvent Permeation and Biofuel Purification: A Molecular Simulation Study. ACS Sustain. Chem. Eng. 2020, 8, 2892–2900. [Google Scholar] [CrossRef]
- Liu, J.; Li, L.; Zhao, Z.; Yu, F. Porous Organic Cage Membranes for Biofuel Purification via Pervaporation: A Molecular Simulation Study. ACS Sustain. Chem. Eng. 2021, 9, 14890–14899. [Google Scholar] [CrossRef]
- Zou, C.; Lin, L.-C. Potential and Design of Zeolite Nanosheets as Pervaporation Membranes for Ethanol Extraction. Ind. Eng. Chem. Res. 2020, 59, 12845–12854. [Google Scholar] [CrossRef]
- Takaba, H.; Onumata, Y.; Nakao, S. Molecular Simulation of Pressure-Driven Fluid Flow in Nanoporous Membranes. J. Chem. Phys. 2007, 127, 054703. [Google Scholar] [CrossRef]
- Ong, Y.K.; Shi, G.M.; Le, N.L.; Tang, Y.P.; Zuo, J.; Nunes, S.P.; Chung, T.-S. Recent Membrane Development for Pervaporation Processes. Prog. Polym. Sci. 2016, 57, 1–31. [Google Scholar] [CrossRef]
- Gartner, T.E.; Jayaraman, A. Modeling and Simulations of Polymers: A Roadmap. Macromolecules 2019, 52, 755–786. [Google Scholar] [CrossRef]
- Fritz, L.; Hofmann, D. Behaviour of Water/Ethanol Mixtures in the Interfacial Region of Different Polysiloxane Membranes—A Molecular Dynamics Simulation Study. Polymer 1998, 39, 2531–2536. [Google Scholar] [CrossRef]
- Chen, X.; Zhu, J.; Luo, Y.; Chen, J.; Ma, X.; Bukhvalov, D.; Liu, H.; Zhang, M.; Luo, Z. Molecular Dynamics Simulation Insight into the Temperature Dependence and Healing Mechanism of an Intrinsic Self-Healing Polyurethane Elastomer. Phys. Chem. Chem. Phys. 2020, 22, 17620–17631. [Google Scholar] [CrossRef] [PubMed]
- Rahmati, M.; Modarress, H.; Gooya, R. Molecular Simulation Study of Polyurethane Membranes. Polymer 2012, 53, 1939–1950. [Google Scholar] [CrossRef]
- Zhu, S.; Lempesis, N.; in ‘t Veld, P.J.; Rutledge, G.C. Molecular Simulation of Thermoplastic Polyurethanes under Large Tensile Deformation. Macromolecules 2018, 51, 1850–1864. [Google Scholar] [CrossRef]
- Klinov, A.V.; Malygin, A.V.; Khairullina, A.R.; Dulmaev, S.E.; Davletbaeva, I.M. Alcohol Dehydration by Extractive Distillation with Use of Aminoethers of Boric Acid. Processes 2020, 8, 1466. [Google Scholar] [CrossRef]
- Davletbaeva, I.M.; Klinov, A.V.; Khairullina, A.R.; Malygin, A.V.; Dulmaev, S.E.; Davletbaeva, A.R.; Mukhametzyanov, T.A. Organoboron Ionic Liquids as Extractants for Distillation Process of Binary Ethanol + Water Mixtures. Processes 2020, 8, 628. [Google Scholar] [CrossRef]
- Davletbaeva, I.M.; Dulmaev, S.E.; Sazonov, O.O.; Gumerov, A.M.; Davletbaev, R.S.; Valiullin, L.R.; Ibragimov, R.G. Polyurethanes Based on Modified Amino Ethers of Boric Acid. Polym. Sci. Ser. B 2020, 62, 375–384. [Google Scholar] [CrossRef]
- Chen, B.; Potoff, J.J.; Siepmann, J.I. Monte Carlo Calculations for Alcohols and Their Mixtures with Alkanes. Transferable Potentials for Phase Equilibria. 5. United-Atom Description of Primary, Secondary, and Tertiary Alcohols. J. Phys. Chem. B 2001, 105, 3093–3104. [Google Scholar] [CrossRef]
- Martin, M.G.; Siepmann, J.I. Transferable Potentials for Phase Equilibria. 1. United-Atom Description of n -Alkanes. J. Phys. Chem. B 1998, 102, 2569–2577. [Google Scholar] [CrossRef]
- Stubbs, J.M.; Potoff, J.J.; Siepmann, J.I. Transferable Potentials for Phase Equilibria. 6. United-Atom Description for Ethers, Glycols, Ketones, and Aldehydes. J. Phys. Chem. B 2004, 108, 17596–17605. [Google Scholar] [CrossRef]
- Wick, C.D.; Stubbs, J.M.; Rai, N.; Siepmann, J.I. Transferable Potentials for Phase Equilibria. 7. Primary, Secondary, and Tertiary Amines, Nitroalkanes and Nitrobenzene, Nitriles, Amides, Pyridine, and Pyrimidine. J. Phys. Chem. B 2005, 109, 18974–18982. [Google Scholar] [CrossRef]
- Klinov, A.V.; Anashkin, I.P.; Davletbaeva, I.M. Transferable Potential for Phase Equilibrium of Trialkyl Borates. J. Mol. Liq. 2021, 339, 116740. [Google Scholar] [CrossRef]
- Abascal, J.L.F.; Vega, C. A General Purpose Model for the Condensed Phases of Water: TIP4P/2005. J. Chem. Phys. 2005, 123, 234505. [Google Scholar] [CrossRef] [PubMed]
- Klinov, A.; Anashkin, I. Diffusion in Binary Aqueous Solutions of Alcohols by Molecular Simulation. Processes 2019, 7, 947. [Google Scholar] [CrossRef]
- Degiacomi, M.T.; Erastova, V.; Wilson, M.R. Easy Creation of Polymeric Systems for Molecular Dynamics with Assemble! Comput. Phys. Commun. 2016, 202, 304–309. [Google Scholar] [CrossRef]
- Shi, Q.; Zhang, K.; Lu, R.; Jiang, J. Water Desalination and Biofuel Dehydration through a Thin Membrane of Polymer of Intrinsic Microporosity: Atomistic Simulation Study. J. Membr. Sci. 2018, 545, 49–56. [Google Scholar] [CrossRef]
- Harder, E.; Walters, D.E.; Bodnar, Y.D.; Faibish, R.S.; Roux, B. Molecular Dynamics Study of a Polymeric Reverse Osmosis Membrane. J. Phys. Chem. B 2009, 113, 10177–10182. [Google Scholar] [CrossRef] [PubMed]
- Martínez, J.M.; Martínez, L. Packing Optimization for Automated Generation of Complex System’s Initial Configurations for Molecular Dynamics and Docking. J. Comput. Chem. 2003, 24, 819–825. [Google Scholar] [CrossRef]
- Martínez, L.; Andrade, R.; Birgin, E.G.; Martínez, J.M. PACKMOL: A Package for Building Initial Configurations for Molecular Dynamics Simulations. J. Comput. Chem. 2009, 30, 2157–2164. [Google Scholar] [CrossRef]
- M-Dcv. Available online: https://gitflic.ru/project/knrtu/m-dcv (accessed on 28 December 2022).
- Abraham, M.J.; Murtola, T.; Schulz, R.; Páll, S.; Smith, J.C.; Hess, B.; Lindahl, E. GROMACS: High Performance Molecular Simulations through Multi-Level Parallelism from Laptops to Supercomputers. SoftwareX 2015, 1–2, 19–25. [Google Scholar] [CrossRef]
- Berendsen, H.J.C.; van der Spoel, D.; van Drunen, R. GROMACS: A Message-Passing Parallel Molecular Dynamics Implementation. Comput. Phys. Commun. 1995, 91, 43–56. [Google Scholar] [CrossRef]
- Hess, B.; Kutzner, C.; van der Spoel, D.; Lindahl, E. GROMACS 4: Algorithms for Highly Efficient, Load-Balanced, and Scalable Molecular Simulation. J. Chem. Theory Comput. 2008, 4, 435–447. [Google Scholar] [CrossRef] [PubMed]
- Davletbaeva, I.M.; Dulmaev, S.E.; Sazonov, O.O.; Klinov, A.V.; Davletbaev, R.S.; Gumerov, A.M. Water Vapor Permeable Polyurethane Films Based on the Hyperbranched Aminoethers of Boric Acid. RSC Adv. 2019, 9, 23535–23544. [Google Scholar] [CrossRef] [PubMed]
- Koros, W.J.; Ma, Y.H.; Shimidzu, T. Terminology for Membranes and Membrane Processes: (IUPAC Recommendations 1996). Pure Appl. Chem. 1996, 68, 1479–1489. [Google Scholar] [CrossRef]
- Bell, I.H.; Wronski, J.; Quoilin, S.; Lemort, V. Pure and Pseudo-Pure Fluid Thermophysical Property Evaluation and the Open-Source Thermophysical Property Library CoolProp. Ind. Eng. Chem. Res. 2014, 53, 2498–2508. [Google Scholar] [CrossRef] [PubMed]
- Davletbaeva, I.M.; Sazonov, O.O.; Dulmaev, S.E.; Klinov, A.V.; Fazlyev, A.R.; Davletbaev, R.S.; Efimov, S.V.; Klochkov, V.V. Pervaporation Polyurethane Membranes Based on Hyperbranched Organoboron Polyols. Membranes 2022, 12, 1247. [Google Scholar] [CrossRef] [PubMed]







| Number of Polymer Layers | , mole/m2s | , mole/m2s | |||
|---|---|---|---|---|---|
| 1 | 2549 | 4884 | 0.522 | 1.46 | 1.47 |
| 2 | 1431 | 1793 | 0.798 | 1.64 | 1.08 |
Disclaimer/Publisher’s Note: The statements, opinions and data contained in all publications are solely those of the individual author(s) and contributor(s) and not of MDPI and/or the editor(s). MDPI and/or the editor(s) disclaim responsibility for any injury to people or property resulting from any ideas, methods, instructions or products referred to in the content. |
© 2023 by the authors. Licensee MDPI, Basel, Switzerland. This article is an open access article distributed under the terms and conditions of the Creative Commons Attribution (CC BY) license (https://creativecommons.org/licenses/by/4.0/).
Share and Cite
Anashkin, I.P.; Klinov, A.V.; Davletbaeva, I.M. Molecular Simulation of Pervaporation on Polyurethane Membranes. Membranes 2023, 13, 128. https://doi.org/10.3390/membranes13020128
Anashkin IP, Klinov AV, Davletbaeva IM. Molecular Simulation of Pervaporation on Polyurethane Membranes. Membranes. 2023; 13(2):128. https://doi.org/10.3390/membranes13020128
Chicago/Turabian StyleAnashkin, Ivan P., Alexander V. Klinov, and Ilsiya M. Davletbaeva. 2023. "Molecular Simulation of Pervaporation on Polyurethane Membranes" Membranes 13, no. 2: 128. https://doi.org/10.3390/membranes13020128
APA StyleAnashkin, I. P., Klinov, A. V., & Davletbaeva, I. M. (2023). Molecular Simulation of Pervaporation on Polyurethane Membranes. Membranes, 13(2), 128. https://doi.org/10.3390/membranes13020128

