Temperature Dependence of Light Hydrocarbons Sorption and Transport in Dense Membranes Based on Tetradecyl Substituted Silicone Rubber
Abstract
:1. Introduction
2. Materials and Methods
2.1. Materials
2.2. Membrane Preparation
2.3. Sorption Measurement
2.4. Permeability Measurement
2.5. Thermal Analysis
3. Results and Discussion
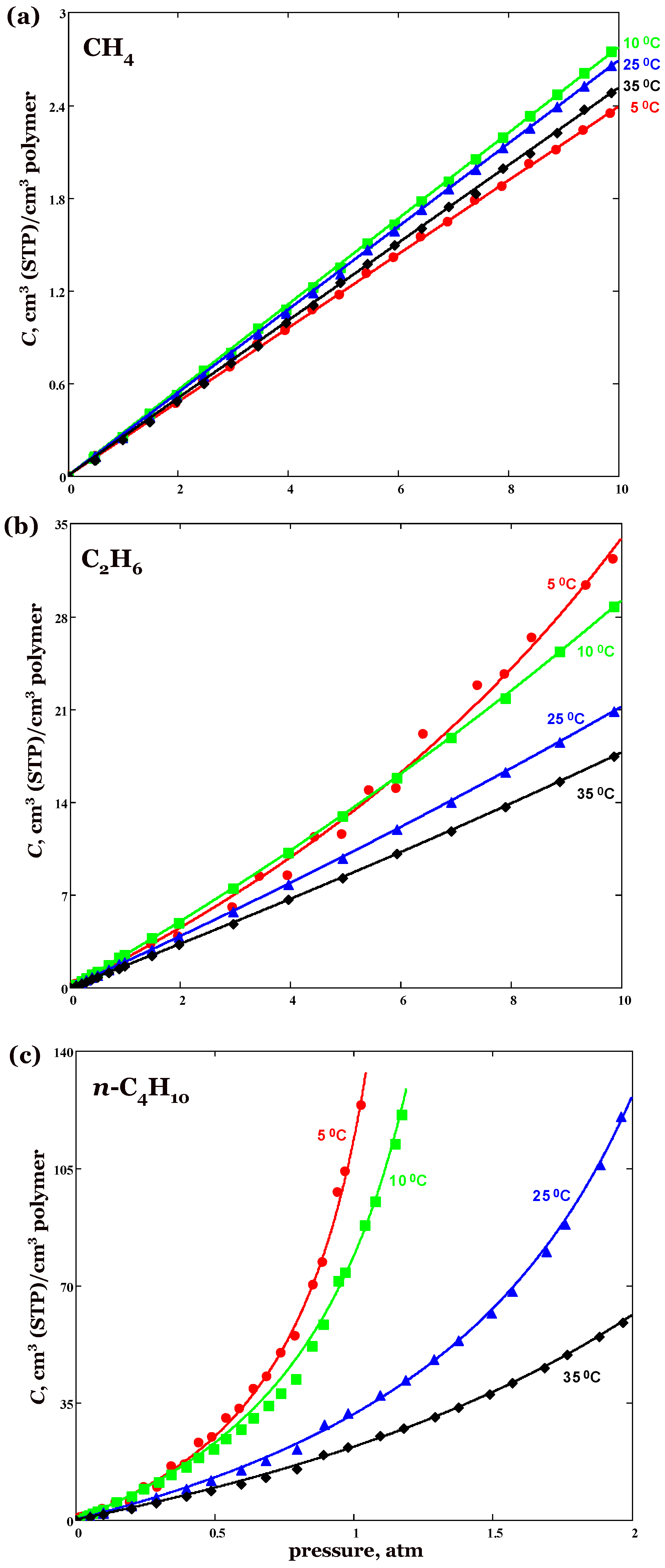
3.1. Sorption Isotherms
3.2. Thermal Behavior
3.3. Temperature Dependence of Solubility
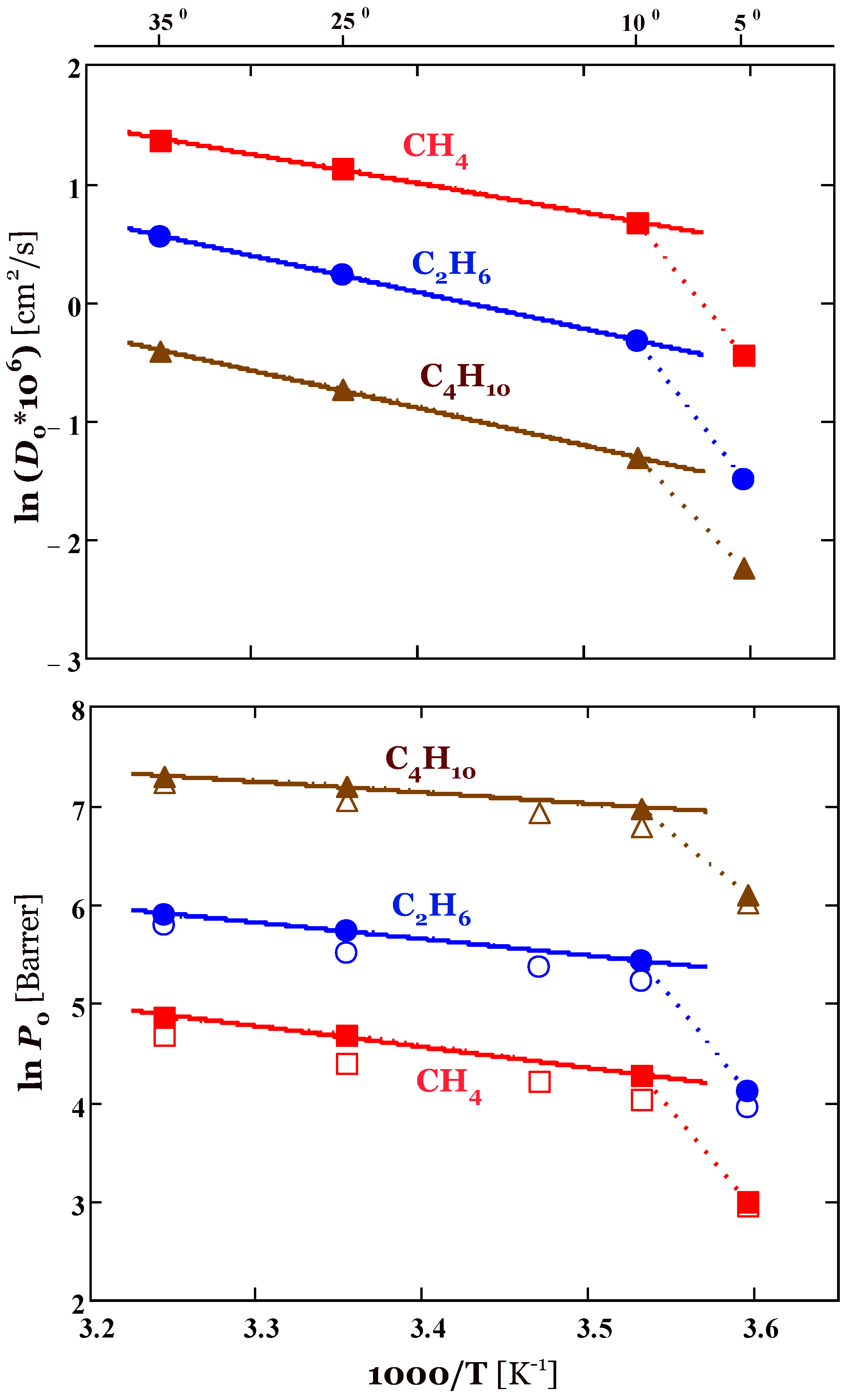
3.4. Temperature Dependence of Diffusivity and Permeability
4. Conclusions
Author Contributions
Funding
Institutional Review Board Statement
Informed Consent Statement
Data Availability Statement
Acknowledgments
Conflicts of Interest
References
- Scholes, C.A.; Stevens, G.W.; Kentish, S.E. Membrane gas separation applications in natural gas processing. Fuel 2012, 96, 15–28. [Google Scholar] [CrossRef]
- Yampolskii, Y.; Starannikova, L.; Belov, N.; Bermeshev, M.; Gringolts, M.; Finkelshtein, E. Solubility controlled permeation of hydrocarbons: New membrane materials and results. J. Membr. Sci. 2014, 453, 532–545. [Google Scholar] [CrossRef]
- Alqaheem, Y.; Alomair, A.; Vinoba, M.; Pérez, A. Polymeric Gas-Separation Membranes for Petroleum Refining. Int. J. Polym. Sci. 2017, 2017, 4250927. [Google Scholar] [CrossRef]
- Lawson, S.; Krishnamurthy, A.; Gelles, T.; Thakkar, H.; Rownaghi, A.A.; Rezaei, F. Hydrocarbon Molecules Separation using Nanoporous Materials. In Nanoporous Materials for Molecule Separation and Conversion; Liu, J., Ding, F., Eds.; Elsevier: Amsterdam, The Netherlands, 2020; Chapter 7; pp. 217–264. [Google Scholar] [CrossRef]
- Zhmakin, V.; Shalygin, M.; Khotimskiy, V.; Matson, S.; Teplyakov, V. Non-additive separation selectivity enhancement in poly (4-methyl-2-pentyne) in relation to C1-C4-alkanes. Sep. Purif. Technol. 2019, 212, 877–886. [Google Scholar] [CrossRef]
- Iyer, G.M.; Liu, L.; Zhang, C. Hydrocarbon separations by glassy polymer membranes. J. Polym. Sci. 2020, 58, 2482–2517. [Google Scholar] [CrossRef]
- Schultz, J.; Peinemann, K.V. Membranes for separation of higher hydrocarbons from methane. J. Membr. Sci. 1996, 110, 37–45. [Google Scholar] [CrossRef]
- Pinnau, I.; He, Z. Pure- and mixed-gas permeation properties of polydimethylsiloxane for hydrocarbon/methane and hydrocarbon/hydrogen separation. J. Membr. Sci. 2004, 244, 227–233. [Google Scholar] [CrossRef]
- Raharjo, R.D.; Freeman, B.D.; Paul, D.R.; Sarti, G.C.; Sanders, E.S. Pure and mixed gas CH4 and n-C4H10 permeability and diffusivity in poly(dimethylsiloxane). J. Membr. Sci. 2007, 306, 75–92. [Google Scholar] [CrossRef]
- Khanbabaei, G.; Vasheghani-Farahani, E.; Rahmatpour, A. Pure and mixed gas CH4 and n-C4H10 permeation in PDMS-fumed silica nanocomposite membranes. Chem. Eng. J. 2012, 191, 369–377. [Google Scholar] [CrossRef]
- Yang, J.; Vaidya, M.M.; Harrigan, D.J.; Duval, S.A.; Hamad, F.; Bahamdan, A.A. Modified rubbery siloxane membranes for enhanced C3+ hydrocarbon recovery from natural gas: Pure and multicomponent gas permeation evaluation. Sep. Purif. Technol. 2020, 242, 116774. [Google Scholar] [CrossRef]
- Najari, S.; Saeidi, S.; Gallucci, F.; Drioli, E. Mixed matrix membranes for hydrocarbons separation and recovery: A critical review. Rev. Chem. Eng. 2021, 37, 363–406. [Google Scholar] [CrossRef]
- Grushevenko, E.A.; Borisov, I.L.; Volkov, A.V. High-Selectivity Polysiloxane Membranes for Gases and Liquids Separation (A Review). Pet. Chem. 2021, 61, 959–976. [Google Scholar] [CrossRef]
- Stern, S.A.; Shah, V.M.; Hardy, B.J. Structure-permeability relationships in silicone polymers. J. Polym. Sci. B 1987, 25, 1263–1298. [Google Scholar] [CrossRef]
- Lee, C.L.; Chapman, H.L.; Cifuentes, M.E.; Lee, K.M.; Merrill, L.D.; Ulman, K.L.; Venkataraman, K. Effects of polymer structure on the gas permeability of silicone membranes. J. Membr. Sci. 1988, 38, 55–70. [Google Scholar] [CrossRef]
- Mushardt, H.; Müller, M.; Shishatskiy, S.; Wind, J.; Brinkmann, T. Detailed Investigation of Separation Performance of a MMM for Removal of Higher Hydrocarbons under Varying Operating Conditions. Membranes 2016, 6, 16. [Google Scholar] [CrossRef]
- Grushevenko, E.A.; Borisov, I.L.; Knyazeva, A.A.; Volkov, V.V.; Volkov, A.V. Polyalkylmethylsiloxanes composite membranes for hydrocarbon/methane separation: Eight component mixed-gas permeation properties. Sep. Purif. Technol. 2020, 241, 116696. [Google Scholar] [CrossRef]
- Espenschied, B.; Schulz, R.C. N-Alkylated Polyamides. A New Type of Comb-like Polymers. Makromol. Chem. Rapid Commun. 1983, 4, 633–638. [Google Scholar] [CrossRef]
- Mogri, Z.; Paul, D.R. Gas sorption and transport in side-chain crystalline and molten poly(octadecyl acrylate). Polymer 2001, 42, 2531–2542. [Google Scholar] [CrossRef]
- Mogri, Z.; Paul, D.R. Gas sorption and transport in poly(alkyl (meth)acrylate)s. II. Sorption and diffusion properties. Polymer 2001, 42, 7781–7789. [Google Scholar] [CrossRef]
- López-Carrasquero, F.; de Ilarduya, A.M.; Cárdenas, M.; Carrillo, M.; Arnal, M.L.; Laredo, E.; Torres, C.; Méndez, B.; Müller, A.J. New comb-like poly(n-alkyl itaconate)s with crystalizable side chains. Polymer 2003, 44, 4969–4979. [Google Scholar] [CrossRef]
- O’Leary, K.A.; Paul, D.R. Physical properties of poly(n-alkyl acrylate) copolymers. Part 1. Crystalline/crystalline combinations. Polymer 2006, 47, 1226–1244. [Google Scholar] [CrossRef]
- Rim, P.B.; Rasoul, H.A.A.; Hurley, S.M.; Orler, E.B.; Scholsky, K.M. Rheological and Thermal Properties of Poly(methylalkylsi1oxane). Macromolecules 1987, 20, 208–211. [Google Scholar] [CrossRef]
- Borisov, I.L.; Grushevenko, E.A.; Anokhina, T.S.; Bakhtin, D.S.; Levin, I.S.; Bondarenko, G.N.; Volkov, V.V.; Volkov, A.V. Influence of side chains assembly on the structure and transport properties of comb-like polysiloxanes in hydrocarbon separation. Mater. Today Chem. 2021, 22, 100598. [Google Scholar] [CrossRef]
- Sokolov, S.E.; Grushevenko, E.A.; Volkov, V.V.; Borisov, I.L.; Markova, S.Y.; Shalygin, M.G.; Volkov, A.V. A Composite Membrane Based on Polydecylmethylsiloxane for the Separation of Hydrocarbons Mixtures at Reduced Temperatures. Membr. Membr. Technol. 2022, 4, 377–384. [Google Scholar] [CrossRef]
- Staudt, R.; Saller, G.; Tomalla, M.; Keller, J.U. A Note on Gravimetric of Gas Adsorption Equilibria. Ber. Bunsenges. Phys. Chem. 1993, 97, 98–105. [Google Scholar] [CrossRef]
- Miyamoto, H.; Uematsu, M. Measurements of vapour pressures and saturated-liquid densities for n-butane at T = (280 to 424) K. J. Chem. Thermodyn. 2007, 39, 827–832. [Google Scholar] [CrossRef]
- Saha, B.B.; Koyama, S.; El-Sharkawy, I.I.; Habib, K.; Srinivasan, K.; Dutta, P. Evaluation of Adsorption Parameters and Heats of Adsorption through Desorption Measurements. J. Chem. Eng. Data 2007, 52, 2419–2424. [Google Scholar] [CrossRef]
- Felder, R.M. Estimation of gas transport coefficients from differential permeation, integral permeation, and sorption rate data. J. Membr. Sci. 1978, 3, 15–27. [Google Scholar] [CrossRef]
- Raharjo, R.D.; Freeman, B.D.; Sanders, E.S. Pure and mixed gas CH4 and n-C4H10 sorption and dilation in poly(dimethylsiloxane). J. Membr. Sci. 2007, 292, 45–61. [Google Scholar] [CrossRef]
- Gritti, F.; Piatkowski, W.; Guiochon, G. Comparison of the adsorption equilibrium of a few low-molecular mass compounds on a monolithic and a packed column in reversed-phase liquid chromatography. J. Chromatogr. A 2002, 978, 81–107. [Google Scholar] [CrossRef]
- Dubinin, M.M.; Zaverina, E.D.; Serpinski, V.V. The Sorption of Water Vapour by Active Carbon. J. Chem. Soc. 1955, 2, 1760–1766. [Google Scholar] [CrossRef]
- Kamiya, Y.; Naito, Y.; Hirose, T.; Mizoguchi, K. Sorption and Partial Molar Volume of Gases in Poly(dimethyl siloxane). J. Polym. Sci. B 1990, 28, 1297–1308. [Google Scholar] [CrossRef]
- Stern, S.A.; Frisch, H.L. The selective permeation of gases through polymers. Annu. Rev. Mater. Sci. 1981, 11, 523–550. [Google Scholar] [CrossRef]
- Jordan, E., Jr.; Veldeisen, D.W.; Wrigley, A.N. Side-Chain Crystallinity. I. Heats of Fusion and Melting Transitions on Selected Homopolymers Having Long Side Chains. J. Polym. Sci. Part A-1 1971, 9, 1835–1852. [Google Scholar] [CrossRef]
- Michaels, A.S.; Bixler, H.J. Solubility of Gases in Polyethylene. J. Polym. Sci. 1961, 50, 393–412. [Google Scholar] [CrossRef]
- Friess, K.; Jansen, J.C.; Vopička, O.; Randová, A.; Hynek, V.; Šípek, M.; Bartovská, L.; Izák, P.; Dingemans, M.; Dewulf, J.; et al. Comparative study of sorption and permeation techniques for the determination of heptane and toluene transport in polyethylene membranes. J. Membr. Sci. 2009, 338, 161–174. [Google Scholar] [CrossRef]





| T, °C | Methane * | Ethane | n-Butane | |||||
|---|---|---|---|---|---|---|---|---|
| S0 | R2 | S0 | b | R2 | S0 | b | R2 | |
| 5 | 0.238 | 0.9998 | 2.062 | 0.039 | 0.9959 | 31.601 | 0.721 | 0.9984 |
| 10 | 0.277 | 0.9999 | 2.387 | 0.018 | 1.0 | 30.368 | 0.606 | 0.9980 |
| 25 | 0.268 | 1.0 | 1.874 | 0.011 | 1.0 | 20.946 | 0.334 | 0.9994 |
| 35 | 0.251 | 0.9997 | 1.597 | 0.010 | 1.0 | 16.892 | 0.223 | 0.9994 |
| T, °C | D0·106 (cm2/s) | P0 (Barrer) | αS | αD | α | ||||
|---|---|---|---|---|---|---|---|---|---|
| CH4 | C2H6 | n-C4H10 | CH4 | C2H6 | n-C4H10 | ||||
| 5 | 0.64 | 0.22 | 0.11 | 20 | 61 | 445 | 132.8 | 0.17 | 22.6 |
| 10 | 1.95 | 0.72 | 0.27 | 71 | 226 | 1070 | 109.6 | 0.14 | 15.3 |
| 25 | 3.06 | 1.25 | 0.48 | 108 | 308 | 1315 | 78.2 | 0.16 | 12.5 |
| 35 | 3.91 | 1.73 | 0.66 | 129 | 364 | 1462 | 67.3 | 0.17 | 11.4 |
Disclaimer/Publisher’s Note: The statements, opinions and data contained in all publications are solely those of the individual author(s) and contributor(s) and not of MDPI and/or the editor(s). MDPI and/or the editor(s) disclaim responsibility for any injury to people or property resulting from any ideas, methods, instructions or products referred to in the content. |
© 2023 by the authors. Licensee MDPI, Basel, Switzerland. This article is an open access article distributed under the terms and conditions of the Creative Commons Attribution (CC BY) license (https://creativecommons.org/licenses/by/4.0/).
Share and Cite
Malakhov, A.O.; Sokolov, S.E.; Grushevenko, E.A.; Volkov, V.V. Temperature Dependence of Light Hydrocarbons Sorption and Transport in Dense Membranes Based on Tetradecyl Substituted Silicone Rubber. Membranes 2023, 13, 124. https://doi.org/10.3390/membranes13020124
Malakhov AO, Sokolov SE, Grushevenko EA, Volkov VV. Temperature Dependence of Light Hydrocarbons Sorption and Transport in Dense Membranes Based on Tetradecyl Substituted Silicone Rubber. Membranes. 2023; 13(2):124. https://doi.org/10.3390/membranes13020124
Chicago/Turabian StyleMalakhov, Alexander O., Stepan E. Sokolov, Evgenia A. Grushevenko, and Vladimir V. Volkov. 2023. "Temperature Dependence of Light Hydrocarbons Sorption and Transport in Dense Membranes Based on Tetradecyl Substituted Silicone Rubber" Membranes 13, no. 2: 124. https://doi.org/10.3390/membranes13020124
APA StyleMalakhov, A. O., Sokolov, S. E., Grushevenko, E. A., & Volkov, V. V. (2023). Temperature Dependence of Light Hydrocarbons Sorption and Transport in Dense Membranes Based on Tetradecyl Substituted Silicone Rubber. Membranes, 13(2), 124. https://doi.org/10.3390/membranes13020124

