Phase Equilibria of the V-Ti-Fe System and Its Applications in the Design of Novel Hydrogen Permeable Alloys
Abstract
:1. Introduction
2. Experimental and Thermodynamic Model
2.1. Experimental Detail
2.2. Thermodynamic Model and Calculation Algorithm
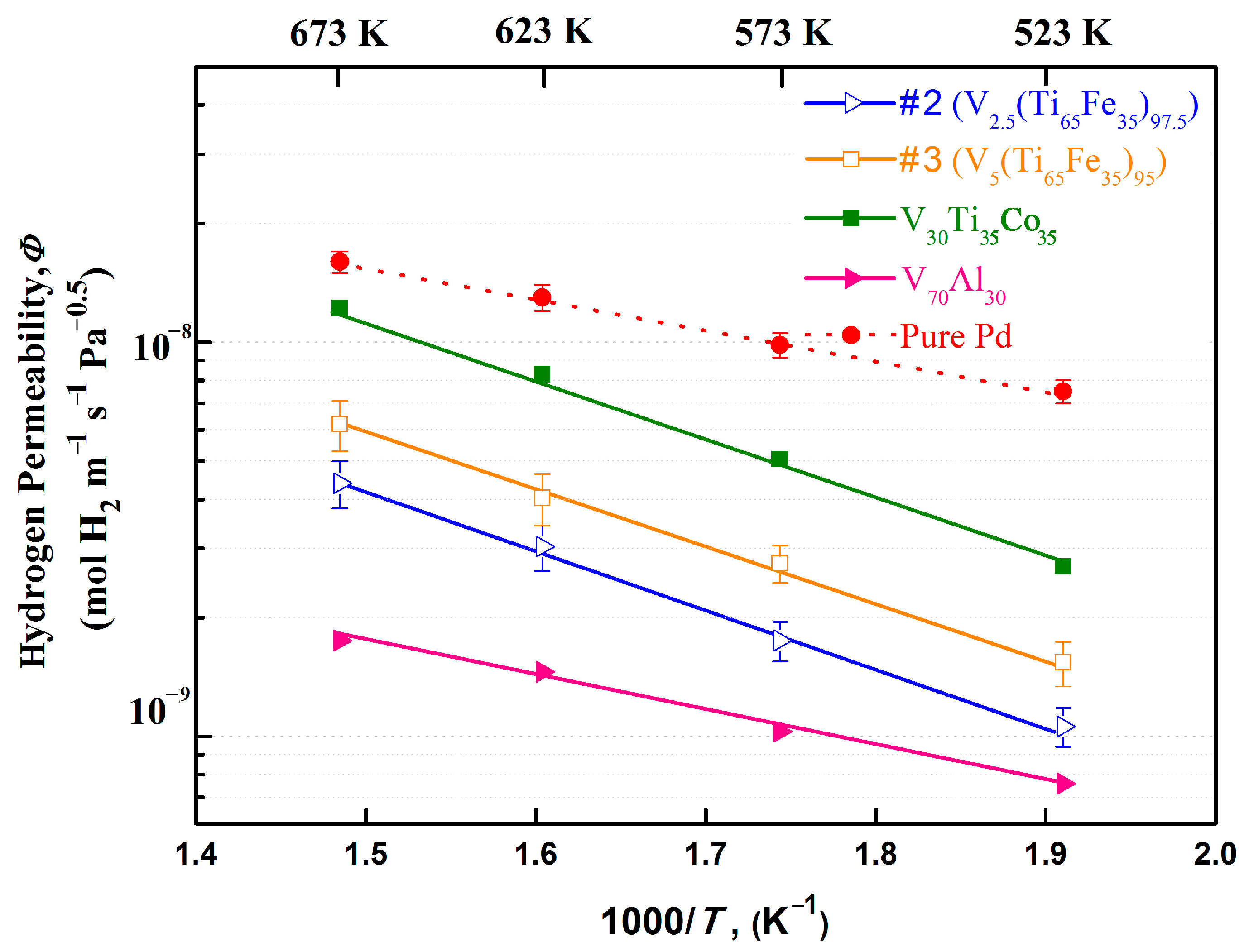
3. Results and Discussion
4. Conclusions
Author Contributions
Funding
Institutional Review Board Statement
Data Availability Statement
Acknowledgments
Conflicts of Interest
References
- Qin, J.; Wang, Z.; Wang, D.; Wang, F.; Yan, X.; Zhong, Y.; Hu, C.; Zhou, H. First-principle investigation of hydrogen solubility and diffusivity in transition metal-doped vanadium membranes and their mechanical properties. J. Alloys Compd. 2019, 805, 747–756. [Google Scholar] [CrossRef]
- Xu, Z.; Wang, Z.; Tang, J.; Deng, J.; Yao, Q.; Zhou, H. Effects of Mo alloying on the structure and hydrogen-permeation properties of Nb metal. J. Alloys Compd. 2018, 740, 810–815. [Google Scholar] [CrossRef]
- Zhou, X.; Huang, D.; Guo, J.; Ning, H. Hydrogenation properties of Mg17Al12 doped with alkaline-earth metal (Be, Ca, Sr and Ba). J. Alloys Compd. 2019, 774, 865–872. [Google Scholar] [CrossRef]
- Hashi, K.; Ishikawa, K.; Matsuda, T.; Aoki, K. Microstructure and hydrogen permeability in Nb–Ti–Co multiphase alloys. J. Alloys Compd. 2006, 425, 284–290. [Google Scholar] [CrossRef]
- Saeki, Y.; Yamada, Y.; Ishikawa, K. Relationship between hydrogen permeation and microstructure in Nb–Ti–Co two-phase alloys. J. Alloys Compd. 2015, 645, S32–S35. [Google Scholar] [CrossRef]
- Wang, W.; Ishikawa, K.; Aoki, K. Microstructural change-induced lowering of hydrogen permeability in eutectic Nb–Ti–Ni alloy. J. Membr. Sci. 2010, 351, 65–68. [Google Scholar] [CrossRef]
- Saeki, Y.; Yamada, Y.; Ishikawa, K. Relationship between hydrogen permeation and microstructure in Nb–Ti–Ni two-phase alloys. Int. J. Hydrogen Energy 2014, 39, 12024–12030. [Google Scholar] [CrossRef]
- Ishikawa, K.; Tokui, S.; Aoki, K. Hydrogen permeation in anisotropic Nb–Ti–Ni two-phase alloys formed by forging and rolling. Int. J. Hydrogen Energy 2017, 42, 11411–11421. [Google Scholar] [CrossRef]
- Song, G.; Dolan, M.D.; Kellam, M.E.; Liang, D.; Zambelli, S. V–Ni–Ti multi-phase alloy membranes for hydrogen purification. J. Alloys Compd. 2011, 509, 9322–9328. [Google Scholar] [CrossRef]
- Lee, Y.S.; Shim, J.H.; Suh, J.Y. A finite outlet volume correction to the time lag method: The case of hydrogen permeation through V-alloy and Pd membranes. J. Membr. Sci. 2019, 585, 253–259. [Google Scholar] [CrossRef]
- Ishikawa, K.; Watanabe, S.; Aoki, K. Microstructure and hydrogen permeability in Nb–Ti–Fe alloys. J. Alloys Compd. 2013, 566, 68–72. [Google Scholar] [CrossRef]
- Yan, E.; Chen, Y.; Zhang, K.; Zou, Y.; Chu, H.; Sun, L. Design of hydrogen separatinwg Nb–Ti–Fe membranes with high permeability and low cost. Sep. Purif. Technol. 2021, 257, 117945. [Google Scholar] [CrossRef]
- Zhu, K.; Li, X.; Geng, H.; Liu, Z.; Zhao, X.; Guo, J. Mechanism of tungsten strengthening hydrogen transportation in Nb48Ti27Co25 hydrogen permeable alloy membrane. J. Mater. Res. Technol. 2023, 23, 5413–5422. [Google Scholar] [CrossRef]
- Guo, Y.; Guo, Y.; Zou, D.; Pan, Q.; Jiang, C.; Li, Y.; Chen, C. Effect of single atomic layer graphene film on the thermal stability and hydrogen permeation of Pd-coated Nb composite membrane. Int. J. Hydrogen Energy 2022, 47, 8359–8371. [Google Scholar] [CrossRef]
- Dolan, M.D. Non-Pd BCC alloy membranes for industrial hydrogen separation. J. Membr. Sci. 2010, 362, 12–28. [Google Scholar] [CrossRef]
- Guo, C.; Li, C.; Zheng, X.; Du, Z. Thermodynamic modeling of the Fe–Ti–V system. Calphad 2012, 38, 155–160. [Google Scholar] [CrossRef]
- Massicot, B.; Joubert, J.M.; Latroche, M. Phase equilibria in the Fe–Ti–V system. Int. J. Mater. Res. 2010, 101, 1414–1423. [Google Scholar] [CrossRef]
- Zhang, Y.; Gwak, J.; Murakoshi, Y.; Ikehara, T.; Maeda, R.; Nishimura, C. Hydrogen permeation characteristics of thin Pd membrane prepared by microfabrication technology. J. Membr. Sci. 2006, 277, 203–209. [Google Scholar] [CrossRef]
- Zhang, Y.; Ozaki, T.; Komaki, M.; Nishimura, C. Hydrogen permeation characteristics of vanadium–aluminium alloys. Scr. Mater. 2002, 47, 601–606. [Google Scholar] [CrossRef]
- Yan, E.; Huang, H.; Min, R.; Zhao, P.; Misra, R.D.K.; Huang, P.; Xu, F.; Sun, L. Effect of Pd overlayer and mixed gases on hydrogen permeation of Pd/Nb30Hf35Co35/Pd composite membranes. Int. J. Hydrogen Energy 2018, 43, 14466–14477. [Google Scholar] [CrossRef]
- Yan, E.; Sun, L.; Xu, F.; Xu, D.; Qiu, S.; Xiang, C.; Zhang, H.; Sun, Y. Changes in microstructure, solidification path and hydrogen permeability of Nb–Hf–Co alloy by adjusting Hf/Co ratio. Int. J. Hydrogen Energy 2016, 41, 1391–1400. [Google Scholar] [CrossRef]
- Dinsdale, A.T. SGTE data for pure elements. Calphad 1991, 15, 317–425. [Google Scholar] [CrossRef]
- Hillert, M. Partial Gibbs energies from redlich-kister polynomials. Thermochim. Acta 1988, 129, 71–75. [Google Scholar] [CrossRef]
- Inden, G. The role of magnetism in the calculation of phase diagrams. Physica B+C 1981, 103, 82–100. [Google Scholar] [CrossRef]
- Hillert, M.; Jarl, M. A model for alloying in ferromagnetic metals. Calphad 1978, 2, 227–238. [Google Scholar] [CrossRef]
- Hillert, M.; Staffansson, L.I. Regular-solution model for stoichiometric phases and ionic melts. Acta Chem. Scand. 1970, 24, 3618–3626. [Google Scholar] [CrossRef]
- Sundman, B.; Ågren, J. A regular solution model for phases with several components and sublattices, suitable for computer applications. J. Phys. Chem. Solids 1981, 42, 297–301. [Google Scholar] [CrossRef]
- Yan, E.; Li, X.; Su, Y.; Liu, D.; Xu, D.; Guo, J.; Fu, H. Prediction of the solidification path of Al–4.37 Cu–27.02 Mg ternary eutectic alloy with a unified microsegregation model coupled with Thermo-Calc. Int. J. Mater. Res. 2013, 104, 244–254. [Google Scholar] [CrossRef]
- Zhao, G.; Cheng, J.; Ding, C.; Yan, E.; Ye, X. Solidification Path Calculation of ternary Al–Cu–Mg alloys in Al rich corner. Int. J. Cast Met. Res. 2023, 1–12. [Google Scholar] [CrossRef]
- Yan, E.; Min, R.; Zhao, P.; Misra, R.D.K.; Huang, P.; Zou, Y.; Chu, H.; Zhang, H.; Xu, F.; Sun, L. Design of Nb-based multi-phase alloy membranes for high hydrogen permeability and suppressed hydrogen embrittlement. J. Membr. Sci. 2020, 595, 117531. [Google Scholar] [CrossRef]
- Murray, J.L. The Ti–V (titanium-vanadium) system. Bull. Alloy Phase Diagr. 1981, 2, 48–55. [Google Scholar] [CrossRef]
- Han, J.; Song, G.A.; Park, J.M.; Lee, J.K.; Yi, S.; Kim, D.H.; Kim, K.B. Microstructural modulation of Ti–Fe–V ultrafine eutectic alloys with enhanced mechanical properties. J. Alloys Compd. 2010, 491, 178–181. [Google Scholar] [CrossRef]
- Wang, T.; Zhang, B.; Wang, H.; Feng, J. Microstructures and mechanical properties of electron beam-welded titanium-steel joints with vanadium, nickel, copper and silver filler metals. J. Mater. Eng. Perform. 2014, 23, 1498–1504. [Google Scholar] [CrossRef]
- Nishida, M.; Matsuda, M.; Shimada, Y.; Takashima, K.; Ishikawa, K.; Aoki, K. Microstructural and mechanical characterizations of rapidly solidified Nb-TiNi hydrogen permeation alloy. J. Phys. Conf. Ser. 2009, 144, 012106. [Google Scholar] [CrossRef]
- Yan, E.; Wang, J.; Zhao, P.; Di, C.; Chen, Y.; Huang, P.; Zou, Y.; Chu, H.; Xu, F.; Sun, L. Nb–Ti–Co multiphase alloys: The significant impact of Ti/Co ratio on solidification path, microstructure and hydrogen permeability. Mater. Today Commun. 2020, 25, 101660. [Google Scholar] [CrossRef]
- Yan, E.; Ge, X.; Guo, Z.; Zhao, P.; Bai, J.; Ma, D.; Huang, R.; Chu, H.; Xu, F.; Sun, L. Microstructure, Hydrogen Permeability and DBTC of (V, Nb)–Ti–Co Quaternary Alloys. Mater. Chem. Phys. 2023, 305, 127919. [Google Scholar] [CrossRef]
- Nishimura, C.; Ozaki, T.; Komaki, M.; Zhang, Y. Hydrogen permeation and transmission electron microscope observations of V–Al alloys. J. Alloys Compd. 2003, 356, 295–299. [Google Scholar] [CrossRef]
- Morreale, B.D.; Ciocco, M.V.; Enick, R.M.; Morsi, B.I.; Howard, B.H.; Cugini, A.V.; Rothenberger, K.S. The permeability of hydrogen in bulk palladium at elevated temperatures and pressures. J. Membr. Sci. 2003, 212, 87–97. [Google Scholar] [CrossRef]
- Luhadiya, N.; Kundalwal, S.; Sahu, S.K. Investigation of hydrogen adsorption behavior of graphene under varied conditions using a novel energy-centered method. Carbon Lett. 2021, 31, 655–666. [Google Scholar] [CrossRef]
- Akiba, E.; Nakamura, Y. Hydrogenation properties and crystal structures of Ti–Mn–V BCC solid solution alloys. Met. Mater. Int. 2001, 7, 165–168. [Google Scholar] [CrossRef]
- Wu, W.; Zhang, X.; Li, W.; Fu, H.; Liu, S.; Wang, Y.; Li, J. Effect of hydrogen trapping on hydrogen permeation in a 2205 duplex stainless steel: Role of austenite-ferrite interface. Corros. Sci. 2022, 202, 110332. [Google Scholar] [CrossRef]
- Zhang, Z.; Moore, K.L.; McMahon, G.; Morana, R.; Preuss, M. On the role of precipitates in hydrogen trapping and hydrogen embrittlement of a nickel-based superalloy. Corros. Sci. 2019, 146, 58–69. [Google Scholar] [CrossRef]
- Santucci, A.; Borgognoni, F.; Vadrucci, M.; Tosti, S. Testing of dense Pd–Ag tubes: Effect of pressure and membrane thickness on the hydrogen permeability. J. Membr. Sci. 2013, 444, 378–383. [Google Scholar] [CrossRef]
- Gade, S.K.; Payzant, E.A.; Park, H.J.; Thoen, P.M.; Way, J.D. The effects of fabrication and annealing on the structure and hydrogen permeation of Pd–Au binary alloy membranes. J. Membr. Sci. 2009, 340, 227–233. [Google Scholar] [CrossRef]
- Al-Mufachi, N.A.; Nayebossadri, S.; Speight, J.D.; Bujalski, W.; Steinberger-Wilckens, R.; Book, D. Effects of thin film Pd deposition on the hydrogen permeability of Pd60Cu40 wt% alloy membranes. J. Membr. Sci. 2015, 493, 580–588. [Google Scholar] [CrossRef]
- Dolan, M.D.; Kellam, M.E.; McLennan, K.G.; Liang, D.; Song, G. Hydrogen transport properties of several vanadium-based binary alloys. Int. J. Hydrogen Energy 2013, 38, 9794–9799. [Google Scholar] [CrossRef]
- Anastasopol, A.; Pfeiffer, T.V.; Middelkoop, J.; Lafont, U.; Canales-Perez, R.J.; Schmidt-Ott, A.; Mulder, F.M.; Eijt, S.W.H. Reduced enthalpy of metal hydride formation for Mg–Ti nanocomposites produced by spark discharge generation. J. Am. Chem. Soc. 2013, 135, 7891–7900. [Google Scholar] [CrossRef]
- Baskaran, A.; Smereka, P. Mechanisms of stranski-krastanov growth. J. Appl. Phys. 2012, 111, 044321. [Google Scholar] [CrossRef]
- Hashi, K.; Ishikawa, K.; Matsuda, T.; Aoki, K. Hydrogen permeation characteristics of (V, Ta)–Ti–Ni alloys. J. Alloys Compd. 2005, 404, 273–278. [Google Scholar] [CrossRef]
- Li, X.; Huang, F.; Liu, D.; Liang, X.; Chen, R.; Rettenmayr, M.; Su, Y.; Guo, J.; Fu, H. V–Cr–Cu dual-phase alloy membranes for hydrogen separation: An excellent combination of ductility, hydrogen permeability and embrittlement resistance. J. Membr. Sci. 2017, 524, 354–361. [Google Scholar] [CrossRef]
- Li, X.; Liang, X.; Liu, D.; Chen, R.; Rettenmayr, M.; Su, Y.; Guo, J.; Fu, H. Microstructural stability and its effect on hydrogen permeability in equiaxed and directionally solidified eutectic Nb30Ti35Co35 alloys. Int. J. Hydrogen Energy. 2015, 40, 9026–9031. [Google Scholar] [CrossRef]
- Luo, W.; Ishikawa, K.; Aoki, K. High hydrogen permeability in the Nb–rich Nb–Ti–Ni alloy. J. Alloys Compd. 2006, 407, 115–117. [Google Scholar] [CrossRef]
- Hashi, K.; Ishikawa, K.; Matsuda, T.; Aoki, K. Hydrogen permeation characteristics of multi-phase Ni–Ti–Nb alloys. J. Alloys Compd. 2004, 368, 215–220. [Google Scholar] [CrossRef]
- Bhargav, A.; Jackson, G.S. Thermokinetic modeling and parameter estimation for hydrogen permeation through Pd0.77Ag0.23 membranes. Int. J. Hydrogen Energy 2009, 34, 5164–5173. [Google Scholar] [CrossRef]
- Hashi, K.; Ishikawa, K.; Matsuda, T.; Aoki, K. Microstructures and hydrogen permeability of Nb–Ti–Ni alloys with high resistance to hydrogen embrittlement. Mater. Trans. 2005, 46, 1026–1031. [Google Scholar] [CrossRef]
- Ishikawa, K.; Tokui, S.; Aoki, K. Microstructure and hydrogen permeation of cold rolled and annealed Nb40Ti30Ni30 alloy. Intermetallics 2009, 17, 109–114. [Google Scholar] [CrossRef]
- Shimpo, Y.; Yamaura, S.I.; Nishida, M.; Kimura, H.; Inoue, A. Development of melt-spun Ni–Nb–Zr–Co amorphous alloy for high-performance hydrogen separating membrane. J. Membr. Sci. 2006, 286, 170–173. [Google Scholar] [CrossRef]
- Yan, E.; Huang, H.; Sun, S.; Zou, Y.; Chu, H.; Sun, L. Development of Nb-Ti-Co alloy for high-performance hydrogen separating membrane. J. Membr. Sci. 2018, 565, 411–424. [Google Scholar] [CrossRef]
- Yamaguchi, Y.; Kishida, K.; Tokui, S.; Ishikawa, K.; Tanaka, K.; Aoki, K.; Inui, H. Microstructures and Hydrogen Permeability of Nb-NiTi Eutectic Alloys Prepared by Directional Solidification. MRS Online Proc. Libr. 2006, 980, 52–57. [Google Scholar] [CrossRef]
- Kishida, K.; Yamaguchi, Y.; Tanaka, K.; Inui, H.; Tokui, S.; Ishikawa, K.; Aoki, K. Microstructures and hydrogen permeability of directionally solidified Nb–Ni–Ti alloys with the Nb–NiTi eutectic microstructure. Intermetallics 2008, 16, 88–95. [Google Scholar] [CrossRef]
- Luo, W.; Ishikawa, K.; Aoki, K. Hydrogen permeable Ta–Ti–Ni duplex phase alloys with high resistance to hydrogen embrittlement. J. Alloys Compd. 2008, 460, 53–356. [Google Scholar] [CrossRef]
- Yan, E.; Zhou, Z.; Huang, R.; Zhang, K.; Zhang, S.; Wang, Y.; Chen, Y.; Zou, Y.; Chu, H.; Zhang, H.; et al. Microstructure and hydrogen transport behaviour of Nb5Ti58Fe35M2 alloy membranes. J. Alloys Compd. 2023, 958, 170520. [Google Scholar] [CrossRef]












| No. | Samples | Measured Alloy Compositions (at.%) | Constituting Phases | Chemical Composition of Primary bcc-(V, Ti) | ||
|---|---|---|---|---|---|---|
| V | Ti | Fe | ||||
| #1 | Ti65Fe35 | Ti64.9Fe35.1 | TiFe, eutectic {β-Ti + TiFe} | — | — | — |
| #2 | V2.5(Ti65Fe35)97.5 | V2.4Ti63.4Fe34.2 | TiFe, eutectic {bcc-(V, Ti) + TiFe} | — | — | — |
| #3 | V5(Ti65Fe35)95 | V5.1Ti61.9Fe33 | TiFe, eutectic {bcc-(V, Ti) + TiFe} | — | — | — |
| #4 | V10(Ti65Fe35)90 | V9.9Ti58.5Fe31.6 | Eutectic {bcc-(V, Ti) + TiFe} | — | — | — |
| #5 | V15(Ti65Fe35)85 | V15.1Ti55.3Fe29.6 | bcc-(V, Ti), eutectic {bcc-(V, Ti) + TiFe} | 10.27 | 52.59 | 37.14 |
| #6 | V25(Ti65Fe35)75 | V24.8Ti48.8Fe26.4 | bcc-(V, Ti), eutectic {bcc-(V, Ti) + TiFe} | 16.10 | 56.82 | 27.08 |
| #7 | V15Ti50Fe35 | V15.1Ti49.5Fe35.4 | TiFe2, eutectic {bcc-(V, Ti) + TiFe} | — | — | — |
| #8 | V12.5Ti50Fe37.5 | V12.4Ti49.8Fe37.3 | TiFe2, eutectic {bcc-(V, Ti) + TiFe} | — | — | — |
| #9 | V17.5Ti50Fe32.5 | V17.3Ti50.1Fe32.6 | bcc-(V, Ti), eutectic {bcc-(V, Ti) + TiFe} | 11.14 | 54.96 | 33.90 |
| #10 | V22.5Ti52.5Fe25 | V22.4Ti52.4Fe25.2 | TiFe, eutectic {bcc-(V, Ti) + TiFe} | — | — | — |
| #11 | V20Ti55Fe25 | V19.9Ti55.2Fe24.9 | Eutectic {bcc-(V, Ti) + TiFe} | — | — | — |
| Materials | Content | Temperature (°C) |
|---|---|---|
| PdCl2 | 2 g/L | 50 ± 1 |
| HCl (36%) | 10 mL/L | |
| NaH2PO2·H2O | 10 g/L | |
| NH4Cl | 27 g/L | |
| NH3·H2O (28%) | 16 mL/L | |
| pH | 9.8 ± 0.2 |
| Parameters | Values | Ref. | |
|---|---|---|---|
| Solidification shrinkage | 0.032 | [15,23,27] | |
| The distance of secondary dendrite (μm) | 0.12 | Calculated | |
| V–Ti–Fe | (mm2 s−1) | 14 exp(−14,000/T) | [15,23,27] |
| (mm2 s−1) | 22.3 exp(−11,000/T) | [15,23,27] | |
| Lbcc-V (J mol−1) | 17,965 + 6.35T + (−6897 + 1.65T) × (xV − xTi) | Present work | |
| LTiFe (J mol−1) | −698+2.56T + 5687 × (xTi − xFe) | Present work | |
| LFe2Ti (J mol−1) | 15,667+3.58T − 69.35 × (xTi − xFe) | Present work | |
| Solidification/cooling rates Rf (s−1) | 300 | Calculated | |
| Step length of α (Δfs) | 0.0025 | Initial value | |
| Step length of binary eutectic ΔT (°C) | 0.25 | Initial value | |
| Specific heat (S and L) cPS, cPL(J kg−1K−1) | 1263, 1789 | [15,23,27] | |
| Thermal conductivity (solid) λS (W m−1K−1) | 237 | [15,23,27] | |
| Thermal conductivity (liquid) λL (W m−1K−1) | 162 | [15,23,27] | |
| Liquidus temperature Tliq (°C) | Depends on composition | By Thermo-Calc (Stockholm, Sweden) | |
| No. | Invariant Reaction | Temperature (°C) | Compositions of the Liquid Phases (at.%) | References | ||
|---|---|---|---|---|---|---|
| x (V) | x (Ti) | x (Fe) | ||||
| U1 | L+TiFe2→TiFe+bcc-(V, Ti) | 1140 | 13.63 | 55.16 | 31.21 | The present work |
| U1’ | L+TiFe2→TiFe+bcc-(V, Ti) | 1140 | 18.56 | 49.03 | 32.41 | Massicot et al. [17] |
| U1” | L+TiFe2→TiFe+bcc-(V, Ti) | 1140 | 11.94 | 56.51 | 31.55 | Guo et al. [16] |
| No. | Samples | Hydrogen Permeability | Hydrogen Solubility | Hydrogen Diffusivity |
|---|---|---|---|---|
| [mol H2 m−1 s−1 Pa−0.5] | [mol H2 m−3 Pa−0.5] | [10−9m2 s−1] | ||
| #1 | Ti65Fe35 | — | 13.48 | — |
| #2 | V2.5(Ti65Fe35)97.5 | 4.24 × 10−9 | 16.41 | 2.58 |
| #3 | V5(Ti65Fe35)95 | 6.15 × 10−9 | 21.03 | 2.92 |
| #4 | V10(Ti65Fe35)90 | — | 27.72 | — |
| #5 | V15(Ti65Fe35)85 | — | 55.62 | — |
| #6 | V25(Ti65Fe35)75 | — | 76.03 | — |
| — | V30Ti35Co35 [36] | 1.55 × 10−8 | 32.55 | 47.61 |
| — | V70Al30 [37] | 1.21× 10−9 | 20.16 | 0.6 |
| — | Pd [3,38] | 1.6 × 10−8 | 4.19 | 38.18 |
| — | Pd75Ag25 [43] | 1.48 × 10−8 | — | — |
| — | Pd87Au13 [44] | 1.12 × 10−8 | — | — |
| — | Pd60Cu40 [45] | 1.09 × 10−8 | — | — |
Disclaimer/Publisher’s Note: The statements, opinions and data contained in all publications are solely those of the individual author(s) and contributor(s) and not of MDPI and/or the editor(s). MDPI and/or the editor(s) disclaim responsibility for any injury to people or property resulting from any ideas, methods, instructions or products referred to in the content. |
© 2023 by the authors. Licensee MDPI, Basel, Switzerland. This article is an open access article distributed under the terms and conditions of the Creative Commons Attribution (CC BY) license (https://creativecommons.org/licenses/by/4.0/).
Share and Cite
Wang, Y.; Jia, L.; Yan, E.; Guo, Z.; Zhang, S.; Li, T.; Zou, Y.; Chu, H.; Zhang, H.; Xu, F.; et al. Phase Equilibria of the V-Ti-Fe System and Its Applications in the Design of Novel Hydrogen Permeable Alloys. Membranes 2023, 13, 813. https://doi.org/10.3390/membranes13100813
Wang Y, Jia L, Yan E, Guo Z, Zhang S, Li T, Zou Y, Chu H, Zhang H, Xu F, et al. Phase Equilibria of the V-Ti-Fe System and Its Applications in the Design of Novel Hydrogen Permeable Alloys. Membranes. 2023; 13(10):813. https://doi.org/10.3390/membranes13100813
Chicago/Turabian StyleWang, Yihao, Limin Jia, Erhu Yan, Zhijie Guo, Shuo Zhang, Tangwei Li, Yongjin Zou, Hailiang Chu, Huanzhi Zhang, Fen Xu, and et al. 2023. "Phase Equilibria of the V-Ti-Fe System and Its Applications in the Design of Novel Hydrogen Permeable Alloys" Membranes 13, no. 10: 813. https://doi.org/10.3390/membranes13100813
APA StyleWang, Y., Jia, L., Yan, E., Guo, Z., Zhang, S., Li, T., Zou, Y., Chu, H., Zhang, H., Xu, F., & Sun, L. (2023). Phase Equilibria of the V-Ti-Fe System and Its Applications in the Design of Novel Hydrogen Permeable Alloys. Membranes, 13(10), 813. https://doi.org/10.3390/membranes13100813

