A Correlation of Overall Mass Transfer Coefficient of Water Transport in a Hollow-Fiber Membrane Module via an Artificial Neural Network Approach
Abstract
:1. Introduction
2. Measurement and Calculation of the Overall Mass Transfer Coefficient
2.1. Effectiveness Analysis for Mass Transfer Coefficient Determination
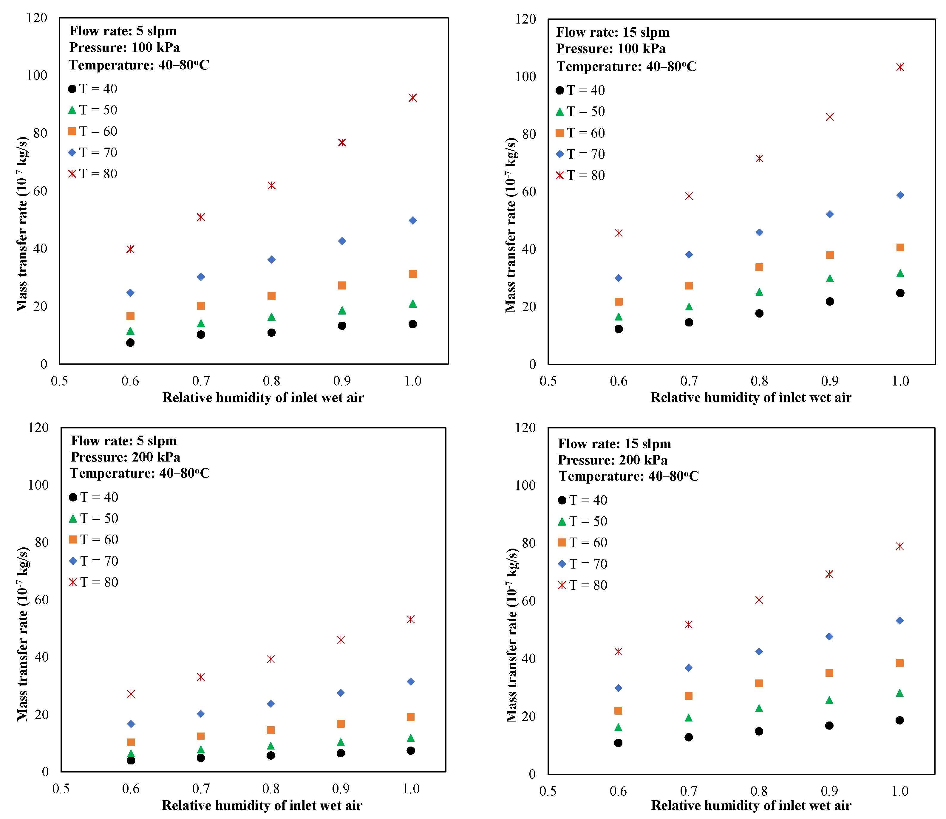
2.2. Experiment Description
3. An ANN for Prediction of the Overall Mass Transfer Coefficient
3.1. Structure of Artificial Neural Network
3.2. Data Collection and Pre-Processing
3.3. A Neural Network for Training Experimental Data
3.4. Validation of the Trained Model with Experimental Analysis
4. Mass Transfer Performance Prediction of the Membrane Module
5. Conclusions
Author Contributions
Funding
Institutional Review Board Statement
Data Availability Statement
Acknowledgments
Conflicts of Interest
Nomenclature and Abbreviation
| ANN | artificial neural network |
| A | area, m2 |
| b | bias |
| C | mass transfer capacity ratio |
| k | mass transfer coefficient |
| ṁ | mass flow rate, kg/s |
| MSE | mean squared error |
| NTU | number of transfer units |
| n | number of samples |
| o | the output |
| ō | the mean of the output |
| p | pressure, kPa |
| R | correlation coefficient |
| T | temperature, °C |
| t | the target value |
| w | weight |
| X | independent variable |
| Y | dependent variable |
| Greeks | |
| p | density, kg/m3 |
| ε | moisture exchange effectiveness |
| φ | relative humidity |
| ω | absolute humidity |
| σ | activation function |
| z | weighted sum of the input |
| Subscripts | |
| a | air |
| d | dry |
| i | inlet |
| j | index, jth data point |
| m | membrane |
| min | minimum |
| max | maximum |
| o | overall |
| s | saturation |
| t | total |
| tr | transfer |
| w | wet |
References
- Bakeri, G.; Naeimifard, S.; Matsuura, T.; Ismail, A.F. A porous polyethersulfone hollow fiber membrane in a gas humidification process. RSC Adv. 2015, 5, 14448–14457. [Google Scholar] [CrossRef]
- Wan, C.F.; Yang, T.; Lipscomb, G.G.; Stookey, D.J.; Chung, T.S. Design and fabrication of hollow fiber membrane modules. J. Membr. Sci. 2017, 538, 96–107. [Google Scholar] [CrossRef]
- Park, S.K.; Choe, S.Y.; Choi, S.H. Dynamic modeling and analysis of a shell-and-tube type gas-to-gas membrane humidifier for PEM fuel cell applications. Int. J. Hydrogen Energy 2008, 33, 2273–2282. [Google Scholar] [CrossRef]
- Kartohardjono, S.; Chen, V. Mass Transfer and Fluid Hydrodynamics in Sealed End Hydrophobic Hollow Fiber Membrane Gas-liquid Contactors. J. Appl. Membr. Sci. Technol. 2017, 2, 1–12. [Google Scholar] [CrossRef]
- Zhang, L.-Z. An analytical solution for heat mass transfer in a hollow fiber membrane based air-to-air heat mass exchanger. J. Membr. Sci. 2010, 360, 217–225. [Google Scholar] [CrossRef]
- Cahalan, T.; Rehfeldt, S.; Bauer, M.; Becker, M.; Klein, H. Experimental set-up for analysis of membranes used in external membrane humidification of PEM fuel cells. Int. J. Hydrogen Energy 2016, 41, 13666–13677. [Google Scholar] [CrossRef]
- Chen, C.Y.; Su, J.H.; Ali, H.M.; Yan, W.M.; Amani, M. Effect of channel structure on the performance of a planar membrane humidifier for proton exchange membrane fuel cell. Int. J. Heat Mass Transf. 2020, 163, 120522. [Google Scholar] [CrossRef]
- Vu, H.N.; Nguyen, X.L.; Han, J.; Yu, S. A study on vapor transport characteristics in hollow-fiber membrane humidifier with empirical mass transfer coefficient. Int. J. Heat Mass Transf. 2021, 177, 121549. [Google Scholar] [CrossRef]
- He, K.; Zhang, L.-Z. Fluid flow and heat transfer of cross flow hollow fiber membrane contactors with randomly distributed fibers: A topological study. Int. J. Heat Mass Transf. 2019, 135, 186–198. [Google Scholar] [CrossRef]
- Şencan, A.; Kalogirou, S.A. A new approach using artificial neural networks for determination of the thermodynamic properties of fluid couples. Energy Convers. Manag. 2005, 46, 2405–2418. [Google Scholar] [CrossRef]
- Sisworahardjo, N.S.; Yalcinoz, T.; El-Sharkh, M.Y.; Alam, M.S. Neural network model of 100 W portable PEM fuel cell and experimental verification. Int. J. Hydrogen Energy 2010, 35, 9104–9109. [Google Scholar] [CrossRef]
- Nanadegani, F.S.; Lay, E.N.; Iranzo, A.; Salva, J.A.; Sunden, B. On neural network modeling to maximize the power output of PEMFCs. Electrochim. Acta 2020, 348, 136345. [Google Scholar] [CrossRef]
- Han, I.-S.; Park, S.-K.; Chung, C.-B. Modeling and operation optimization of a proton exchange membrane fuel cell system for maximum efficiency. Energy Convers. Manag. 2016, 113, 52–65. [Google Scholar] [CrossRef]
- Liu, T.; Liu, Y.; Wang, D.; Li, Y.; Shao, L. Artificial neural network modeling on the prediction of mass transfer coefficient for ozone absorption in RPB. Chem. Eng. Res. Des. 2019, 152, 38–47. [Google Scholar] [CrossRef]
- Meesattham, S.; Charoensiritanasin, P.; Ongwattanakul, S.; Liang, Z.; Tontiwachwuthikul, P.; Sema, T. Predictions of equilibrium solubility and mass transfer coefficient for CO2 absorption into aqueous solutions of 4-diethylamino-2-butanol using artificial neural networks. Petroleum 2020, 6, 385–391. [Google Scholar] [CrossRef]
- Elshazly, Y.M.S. The use of neural network to estimate mass transfer coefficient from the bottom of agitated vessel. Heat Mass Transf. 2015, 51, 465–475. [Google Scholar] [CrossRef]
- Nguyen, X.L.; Vu, H.N.; Kim, Y.; Yu, S. An experimental study on vapor transport of a hollow fiber membrane module for humidification in proton exchange membrane fuel cells. Int. J. Hydrogen Energy 2022, 47, 18518–18529. [Google Scholar] [CrossRef]
- Şencan, A.; Yakut, K.A.; Kalogirou, S.A. Thermodynamic analysis of absorption systems using artificial neural network. Renew. Energy 2006, 31, 29–43. [Google Scholar] [CrossRef]
- Valera, V.Y.; Codolo, M.C.; Martins, T.D. Artificial neural network for prediction of SO2 removal and volumetric mass transfer coefficient in spray tower. Chem. Eng. Res. Des. 2021, 170, 1–12. [Google Scholar] [CrossRef]
- Hagan, M.T.; Menhaj, M.B. Training Feedforward Networks with the Marquardt Algorithm. IEEE Trans. Neural Netw. 1994, 5, 989–993. [Google Scholar] [CrossRef]
- Kang, S.; Min, K.; Yu, S. Two dimensional dynamic modeling of a shell-and-tube water-to-gas membrane humidifier for proton exchange membrane fuel cell. Int. J. Hydrogen Energy 2010, 35, 1727–1741. [Google Scholar] [CrossRef]








| Parameters | From | To | Unit |
|---|---|---|---|
| Temperature | 40 | 80 | °C |
| Absolute pressure | 100 | 200 | kPa |
| Flow rate | 5 | 15 | slpm |
| Relative humidity | 0.6 | 1 | |
| Overall mass transfer coefficient | 0.00167 | 0.0122 | m/s |
| Model | No. of Layers | No. of Neurons | R | MSE | Epoch |
|---|---|---|---|---|---|
| Network 1 * | 1 | 5 | 0.99072 | 9.58 × 10−4 | 10 |
| Network 2 | 2 | 5 | 0.87269 | 8.32 × 10−3 | 2 |
| Network 3 | 2 | 10 | 0.97295 | 4.19 × 10−3 | 7 |
| Network 4 | 3 | 5 | 0.99632 | 7.42 × 10−4 | 20 |
| Parameter | Parameters |
|---|---|
| Training function | trainlm |
| Transferring function | tangent sigmoid function |
| No. of layers | 1 |
| No. of neurons | 5 |
Disclaimer/Publisher’s Note: The statements, opinions and data contained in all publications are solely those of the individual author(s) and contributor(s) and not of MDPI and/or the editor(s). MDPI and/or the editor(s) disclaim responsibility for any injury to people or property resulting from any ideas, methods, instructions or products referred to in the content. |
© 2022 by the authors. Licensee MDPI, Basel, Switzerland. This article is an open access article distributed under the terms and conditions of the Creative Commons Attribution (CC BY) license (https://creativecommons.org/licenses/by/4.0/).
Share and Cite
Nguyen, X.L.; Trinh, N.V.; Kim, Y.; Yu, S. A Correlation of Overall Mass Transfer Coefficient of Water Transport in a Hollow-Fiber Membrane Module via an Artificial Neural Network Approach. Membranes 2023, 13, 8. https://doi.org/10.3390/membranes13010008
Nguyen XL, Trinh NV, Kim Y, Yu S. A Correlation of Overall Mass Transfer Coefficient of Water Transport in a Hollow-Fiber Membrane Module via an Artificial Neural Network Approach. Membranes. 2023; 13(1):8. https://doi.org/10.3390/membranes13010008
Chicago/Turabian StyleNguyen, Xuan Linh, Ngoc Van Trinh, Younghyeon Kim, and Sangseok Yu. 2023. "A Correlation of Overall Mass Transfer Coefficient of Water Transport in a Hollow-Fiber Membrane Module via an Artificial Neural Network Approach" Membranes 13, no. 1: 8. https://doi.org/10.3390/membranes13010008
APA StyleNguyen, X. L., Trinh, N. V., Kim, Y., & Yu, S. (2023). A Correlation of Overall Mass Transfer Coefficient of Water Transport in a Hollow-Fiber Membrane Module via an Artificial Neural Network Approach. Membranes, 13(1), 8. https://doi.org/10.3390/membranes13010008
