Next Article in Journal
Nitrogen Recovery from Landfill Leachate Using Lab- and Pilot-Scale Membrane Contactors: Research into Fouling Development and Membrane Characterization Effects
Next Article in Special Issue
Membrane Separation Used as Treatment of Alkaline Wastewater from a Maritime Scrubber Unit
Previous Article in Journal
Preparation and Characterization of Low-Cost Ceramic Membrane Coated with Chitosan: Application to the Ultrafine Filtration of Cr(VI)
Previous Article in Special Issue
Recovery of Water-Soluble Compounds from Tisochrysis lutea
 
 
Font Type:
Arial Georgia Verdana
Font Size:
Aa Aa Aa
Line Spacing:
Column Width:
Background:
Article

Pebax-Based Composite Membranes with High Transport Properties Enhanced by ZIF-8 for CO2 Separation

1
UNIROUEN, CNRS, PBS, Normandie Université, 76000 Rouen, France
2
Laboratoire Réactions et Génie des Procédés, CNRS, Université de Lorraine, 54000 Nancy, France
*
Author to whom correspondence should be addressed.
Membranes 2022, 12(9), 836; https://doi.org/10.3390/membranes12090836
Submission received: 21 July 2022 / Revised: 1 August 2022 / Accepted: 10 August 2022 / Published: 27 August 2022
(This article belongs to the Special Issue State-of-the-Art Membrane Science and Technology in France 2021-2022)

Abstract

:
A series of mixed matrix membranes containing poly (ether-block-amide) Pebax 1657 as matrix and polyethylene glycol (PEG) and Zeolitic Imidazolate Framework-8 (ZIF-8) as additives, were prepared and tested for CO2 separation. The membranes were prepared by solvent evaporation method and were characterized by TGA, DSC, SEM, and gas permeation measurements. The effects of PEG and its molecular weight, and the percentage of ZIF-8 into Pebax matrix were investigated. The results showed that the addition of PEG to Pebax/ZIF-8 blends avoid the agglomeration of ZIF-8 particles. A synergic effect between PEG and ZIF was particularly observed for high ZIF-8 content, because the initial permeability of pristine Pebax was multiplied by three (from 54 to 161 Barrers) while keeping the CO2 selectivity (αCO2/N2 = 61, αCO2/CH4 = 12 and αCO2/O2 = 23). Finally, the mechanism of CO2 transport is essentially governed by the solubility of CO2 into the membranes. Therefore, this new Pebax/PEG/ZIF-8 system seems to be a promising approach to develop new selective membranes for CO2 with high permeability.

1. Introduction

Carbone dioxide (CO2) is one of the main contributors to global warming and climate change. The rejection of CO2 in atmosphere increases the temperature of Earth and makes the life of several species in critical situation. Thus, the capture of CO2 becomes one of the big challenges of our century [1]. In addition, CO2 in biogas and natural gas must be removed because it reduces the calorific capacity of gases and the acidic property of CO2 degrades the gas streams by corrosion phenomenon [2].
Several conventional techniques are used to solve these problems, such as amine absorption, but these technologies suffer of their high cost (high capital and operating investment) and high carbon footprint. On contrary, the membrane technology is a more ecofriendly alternative, with much lower footprint, low operational expenditures and moderate capital costs, does not involve phase changes or chemical additives, and is modular and easy to scale up [3,4,5]. However, the membrane technologies also have some drawbacks, such as limited selectivity compared to chemical separation processes, decreasing performances with time due to aging or fouling effects, and difficulties to operate at higher temperature than 150 °C with polymeric membranes. For these reasons, researchers works on the development of new generations of membranes using pure inorganic materials such as graphene [6], carbon nanotubes [7] and metal organic frameworks [8]. Mixed matrix membranes (MMM) are also developed, that consist to introduce inorganic materials into polymeric matrixes in order to improve the performance of the pristine membranes [9,10,11,12,13,14,15].
Polymeric materials are the most used to prepare membranes because they are less expensive and easier to scale up than inorganic materials. The most used polymers for gas separation are cellulose acetate, polysulfone, polyimide, polycarbonate, and Pebax. These last are block-copolymers that contain polyamide PA-6 or PA-12 hard segments that gives strong mechanical resistance to the material, and poly(ethylene oxide) (PEO) or poly(ethylene glycol) (PEG) amorphous segment that are able to induct strong interactions with CO2 [5,16]. Consequently, Pebax copolymers are widely studied for CO2 separation. Several grades are available for CO2 separation depending on the percentage and the nature of the hard and flexible segments [17,18].
Inorganic membranes present higher performances than polymeric membranes. So, to reach high separation performances, new generation of membranes were developed by mixing inorganic frameworks and organic polymers. Several studies on these mixed matrix membranes (MMMs) are described in the literature [17]. One of the most attractive nanofillers used in MMMs are the Zeolite imidazolate frameworks (ZIFs). ZIFs are built with tetrahedral metal ions (Zn) bridged by imidazolate groups. They show a constant porosity and relatively high thermal and chemical resistances. For example, ZIF-8 have large pore cavities (1.16 nm) that are connected with a small pore aperture (0.34 nm). The small pore size makes ZIF-8 very interesting for CO2 separation by molecule sieving mechanism because the kinetic diameter of CO2 is 0.33 nm. Many papers highlight the increase in the permeability as well the selectivity of MMMs with ZIF-8 loading. Askari and Chung prepared MMMs by mixing ZIF-8 with 4,4′-hexafluoroisopropylidene diphthalic anhydride (6FDA)-based poly(imide) [19]. The CO2 permeability increased from 256 Barrers without ZIF-8 to 779 Barrers with 40% of ZIF-8 loading without decrease of the CO2/CH4 selectivity (αCO2/CH4 ≈ 20). Nafisi and Hägg [20] developed membranes by mixing ZIF-8 (5% to 35%) into Pebax 2533 matrix. The CO2 permeability increased from 351 to 1287 Barrers without change in separation factor. Jomekian et al. [21] prepared composite membranes using ZIF-8/Pebax 1657 as dense layer supported by poly(ether sulfone), where the permeability for CO2 was doubled with constant selectivity. Pebax was also used in our study. PEO groups contained in Pebax can increase the CO2 permeability by increasing the CO2 solubility due to the quadrupole-dipole interactions between polar ether groups and CO2, and can increase the diffusion because PEO polymers are highly flexible [18]. Furthermore, Pebax contains also block polyamide as hard segments that provide mechanical stability to the membrane and inhibit crystallization of PEO. However, the problem of aggregate formation of inorganic particles remains a real challenge. To avoid this problem, several strategies are used, such as heat treatments [22,23], sonication [24] or the additions of others MOFs or polymers [25]. Thus, polymers containing polar groups such as PEG can be used as surfactant to reduce the aggregates formation of inorganic particles [26,27]. The main objective of the study was to investigate the effect of the addition of PEG in Pebax/ZIF-8 MMMs on the CO2/N2 and CO2/CH4 separations.

2. Material and Methods

2.1. Chemicals

Pebax 1657 containing 60 wt% block polyether and 40 wt% block polyamides was graciously provided by Arkema (Serquigny—France). Basolite Z1200 (ZIF-8 MOF) (M = 227.6 g mol−1) was generously provided by BASF (Ludwigshafen—Germany). Polyethylene glycol PEG 300 (300 g mol−1), PEG 600 (570–630 g mol−1) and PEG 1500 (1400 g mol−1) were supplied by Merck (Sigma-Aldrich, St. Louis, MO, USA), Germany. Absolute ethanol was purchased from VWR, USA. Ultrapure gases used for the permeation tests were supplied by Messer France. All gases and molecules were used as received.

2.2. Membrane Preparation

Neat Pebax and Pebax-based hybrid membranes were prepared via solution casting method. Pebax 5 wt% was first dissolved in ethanol/water (70:30 v/v) solution under stirring for 4 h at 90 °C. A specific protocol was used to avoid ZIF-8 aggregates. Firstly, ZIF-8 particles (7, 13, 23 wt% ZIF-8/Pebax) were dispersed under stirring in ethanol/water solution (70:30 v/v) for 15 min. After sonication for 15 to 20 min, PEG (around 33 wt% according to Car et al. [28] was added and stirred for 15 min, and then the Pebax solution. The Pebax/PEG/ZIF ratios for each prepared membrane are given Table 1. The suspensions were stirred carefully to remove gas bubbles before casting on Petri dishes. After drying for one night, the obtained films were carefully removed of the support and dried in an oven at 60 °C for 12 h. Finally, the films (membranes) were placed in desiccator under vacuum to remove residual solvent. The thickness of the dry membranes was in the range of 80 µm micrometers with an average deviation of 1 µm.

2.3. Thermal Characterization (TGA and DSC)

Thermal properties of membrane samples were characterized by differential scanning calorimetry (DSC) with a DSC 214 Polyma from Netzsch, Germany. The temperature and energy calibration were performed with indium standard (Tm = 156.6 °C, Δ H m = 28.66 J·g−1). The measurements were carried out on 8–10 mg membrane samples placed in pierced an aluminum crucible from −120 to 250 °C at 20 °C min−1. All measurements were conducted under nitrogen purge gas.
The degree of crystallinity XC of the polymers in the membranes were calculated from DSC thermograms using the following equation [29]:
X C = Δ H m Δ H m ° × 100
where Δ H m (J·g−1) is the melting enthalpy calculated by integrating the area of endothermic melting peaks; Δ H m ° is the theoretical melting enthalpy considering the polymer 100% crystalline (values obtained from literature: PEO: Δ H m ° = 166.4 J·g−1, PA: Δ H m ° = 230.0 J·g−1 [29].
In addition, thermogravimetric measurements were performed using TG 209 Libra from Netzsch, Germany on 8–10 mg membrane samples from 30 °C to 1000 °C at 20 °C min−1 under N2.

2.4. Scanning Electron Microscopy (SEM-EDX)

Surface and cross-section morphologies of the prepared membranes were observed by scanning electron microscopy (SEM) coupled with EDX analyzer with SEM EVO40EP from Zeiss, Germany. The cross-sections were obtained by fracturing the samples in liquid nitrogen. All samples were first covered with a thin layer of gold before study.

2.5. Gas Permeation Measurements

CO2, O2, N2 and CH4 permeation measurements on the membranes were performed at 25 °C using a barometric method based on the time-lag determination [30,31,32]. The measurement cell containing the membrane was placed under high vacuum for 24 h, before to carry out the measurement by applying 3 bars of pure gas to the upstream side of the membrane. The quantity of transferred gas Q through the membrane vs. time t was monitored until the increase in pressure in the downstream side reached a constant value indicating the stationary state of the permeation process. The permeability coefficient P (expressed in Barrer unit, 1 Barrer = 10−10 cm3 (STP) cm cm−2 s−1 cm Hg−1) was calculated from the following equation:
P = J s t · L Δ p = L   Δ p · A × d Q d t
J s t is the stationary flow, A the active area is 11.34 cm2 and 8.04 cm2 for the cell used for CH4), L the thickness of membrane and Δ p is the difference in pressure between feed (upstream) and permeate (downstream) sides of the membrane.
The diffusion coefficient D was calculated by the equation:
D = L 2 6 t L
where tL is the time lag calculated from the diffusion curve by the extrapolation of the steady-state asymptote to the time axis.
Based on solution–diffusion transport model, the solubility S was calculated by the equation:
S = P D
The selectivity coefficient α between gas 1 and gas 2 is defined as a ratio of the permeability of the more permeable gas to the less permeable:
α 1 / 2 = P g a s   1 P g a s   2
For each membrane, the permeation experiments were performed at least three times and the results were averaged.

3. Results and Discussion

3.1. Effect of PEG Molecular Weight on Pebax/PEG Blend Membranes

3.1.1. Morphology of Membranes

The surfaces and cross-sections morphologies of Pebax 1657 and Pebax 1657/PEG blend membranes are shown in Figure 1. All membranes showed dense structures. In addition, the surface and cross-section of Pebax (P) membranes and Pebax/PEG blend (PP300, PP600) membranes containing low molecular weight PEG (300 to 600 g mol−1) showed homogeneous structures. However, in Pebax/PEG 1500 (PP1500) blend membrane containing higher molecular weight PEG, some micro-phase separations were observed on the surface and on the cross-section due to the presence of crystals of PEO. This presence is due to the highest crystallinity ratio of PEG that increases with the molecular weight [33]. This change in the membrane morphology could affect the gas transport properties.

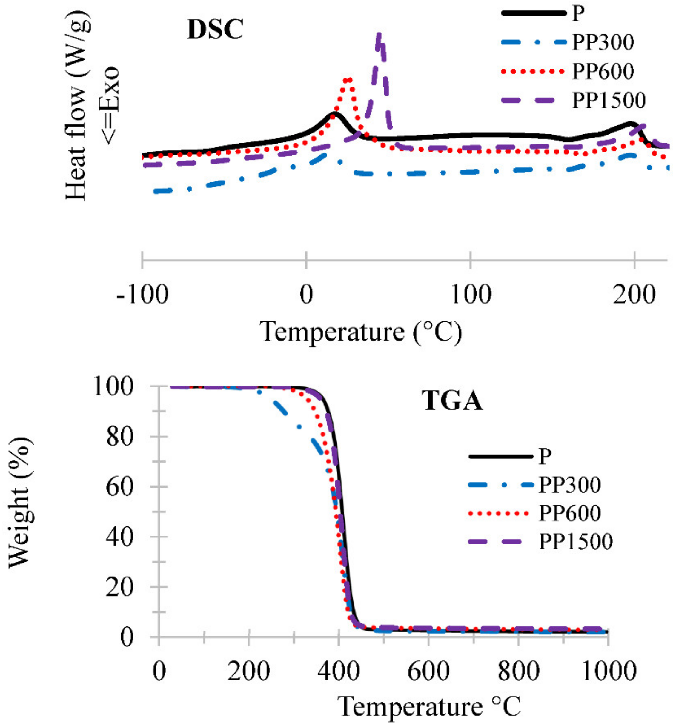
3.1.2. Thermal Analysis

Pebax 1657 copolymer has two blocks: the first one contains PEO groups (60 wt%) which gives flexibility to the polymer and the second one contains hard (rigid) PA segments (40 wt%). The addition of flexible PEG polymers to Pebax will change the composition of the membrane matrix, and consequently could affect its physical properties.
DSC thermograms of neat Pebax and Pebax/PEG blend membranes are given Figure 2 and the values associated to the thermal phenomena are reported Table 2. First, it can be noticed that only glass transition of PEO segments was detected [28]. The glass transition Tg of neat membrane decreases with the addition of PEG 300 in membrane due to the plasticizing effect of the small flexible PEG chains. However, Tg values increase according to the molecular weight of PEG: Tg = −70, −61, −50 °C for PEG 300, 600, 1500 g mol−1, respectively. This change in Tg is caused by the chains stiffening due to the increasing molecular weight of PEG.
In the same direction, neat Pebax showed two melting temperatures at 18 and 199 °C corresponding to the fusion of crystalline fraction of the PEO and PA blocks, respectively [34]. On Pebax/PEG blend membranes, the melting point of PEO segment increased with the molecular weight of PEG loaded in Pebax matrix. This result agrees with the crystallinity values that also increased with molecular weight of PEG. Consequently, the low crystallinity and the formation of free volumes is expected to improve the chain mobility which is favorable for gas diffusion.
The thermal stability of neat Pebax and Pebax/PEG blend membranes were investigated by TGA (Figure 2), and the corresponding decomposition temperatures, T1% and T5% at 1 and 5% weight loss, respectively, and temperatures of the derivative peak (DTG) are listed Table 2. The obtained results showed that the membranes should remain stable up to 200 °C whatever the PEG content. However, the presence of low molecular weight PEG 300 decreased the thermal stability.

3.1.3. Gas Permeation Measurements

CO2, N2, O2 and CH4 permeation measurements were performed on Pebax/PEG blend membranes to study the influence of the molecular weight of PEG. The obtained permeability P and selectivity coefficients are gathered Figure 3 and the accuracy on D, P and S values is 7%, 7% and 14%, respectively. The permeability coefficient of CO2 was 52 Barrers for the neat Pebax and the selectivity coefficients CO2/N2 CO2/CH4, and CO2/O2, were 54, 16 and 21, respectively. These results agree with the values found in literature [15,35,36].
The addition of PEG 300 and PEG 600 (low molecular weight) to the Pebax matrix significantly increased the permeability of CO2 and CH4 and the selectivity CO2/N2 and CO2/O2. The effect was more marked for PEG 300, at about 50% more. The addition of PEG300 to Pebax matrix increased the CO2 permeability to 73 Barrers and the CO2 selectivity towards N2 and O2CO2/N2 = 71, αCO2/O2 = 27) but slightly decreased the selectivity towards CH4CO2/CH4 = 12). These variations were caused by favorable interactions between ethylene oxide groups present in PEG (and Pebax) with CO2, because CO2 is a polar molecule. However, the addition of PEG 1500 decreased drastically the permeability and selectivity of gases and particularly CO2. Similar results were reported by Kargari et al. [16] and also they were found by Feng et al. [37], and were explained by the high crystallinity of PEG 1500 (Xc PEO = 49% in the membrane) (see Figure 1 and Table 2). As known, the permeability of CO2 through dense membrane agrees with the solution-diffusion model. Then, the solubility of CO2 at 25 °C (temperature of the measurement) is higher in PEG 300 and PEG 600 amorphous phase (lowest Xc PEO) than in PEG 1500 (largest crystalline phase) (Table 2. The obtained solubility and diffusion coefficients on the different gases confirm this conclusion (Figure 4). CO2 was more soluble in membranes containing PEG 600, but its diffusion was slower. As a compromise solution, PEG 300 was selected for the next studies on the effect of ZIF-8 because it makes the membranes more selective to CO2.

3.2. Effect of ZIF-8 and PEG on Pebax Based Membranes

3.2.1. Morphology

SEM images of surfaces and cross-section of the ZIF-8 and PEG on Pebax based membranes are showed in Figure 5. The morphology of Pebax ZIF-8 (7 wt%) membranes, without (P + 7% ZIF) and with PEG300 (PP + 7% ZIF), were similar but appeared rougher than neat Pebax. In addition, ZIF-8 particles can be clearly observed on the cross-sections and surfaces of the membranes containing larger amount of ZIF-8 (13 and 23 wt%). Higher than 23% ZIF-8 content gives defects in the membranes and decreases the CO2 selectivity. Moreover, few ZIF-8 agglomerates can be observed on the membrane containing 13% of ZIF-8 (P + 13% ZIF-8). This problem of aggregation is mentioned in several studies with different types of particles, such as TiO2, SiO2 and zeolite [38,39,40,41]. EDX analyses were used to evaluate the ZIF-8 dispersion and the influence of PEG polymers (Figure 6). The blue color highlights the dispersion of Zn elements contained in ZIF-8 particles. The EDX analyses clearly indicate an improvement of the ZIF-8 dispersion in Pebax matrix containing PEG (Figure 6B). Without PEG, agglomeration of ZIF-8 particles and large dark zones corresponding to poor ZIF-8 zones were observed (Figure 6A). Ghadimi et al. mentioned that PEG has a double role: first, it can cover the particles to avoid the formation of hydrogen bonds between solvent and particles; second, PEG gives favorable interactions with Pebax for the gas transport [39]. So, PEG polymers can get homogenous MMMs by increasing the dispersion of particles into polymer matrix.

3.2.2. Thermal Analysis

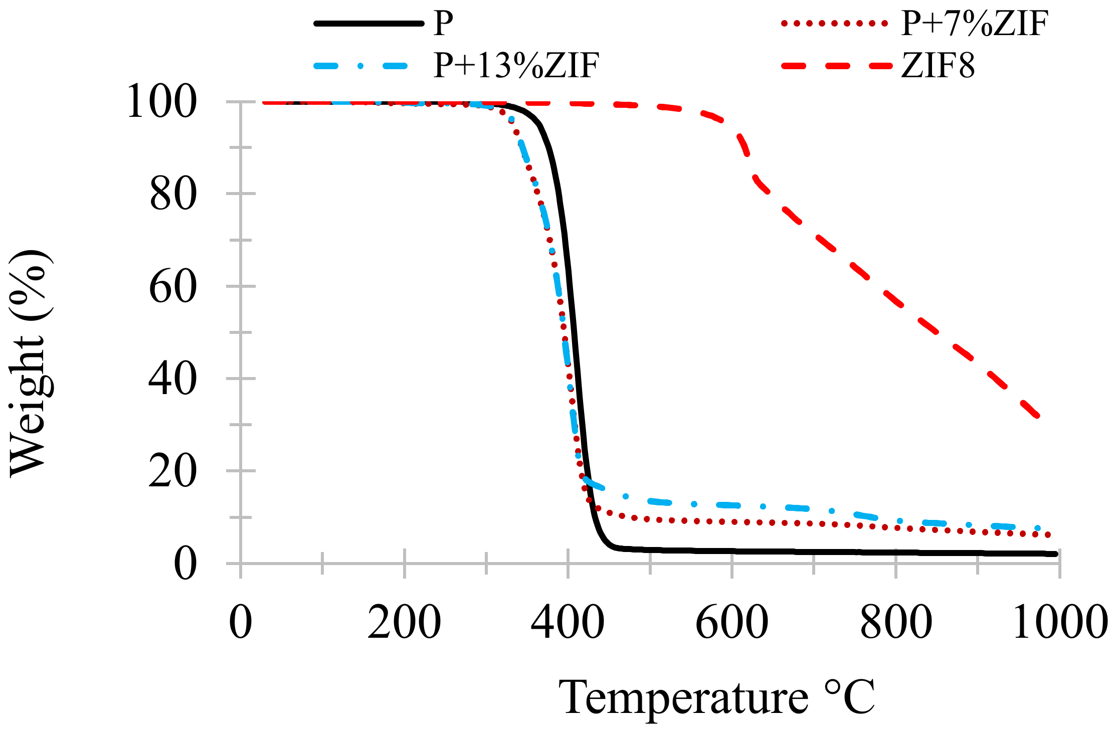
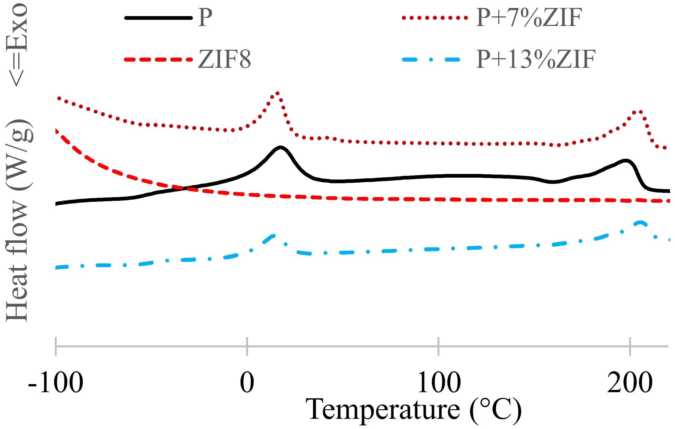
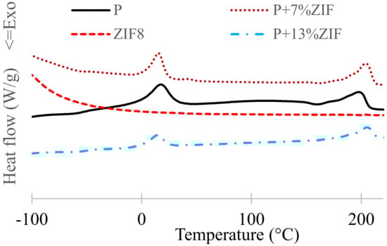
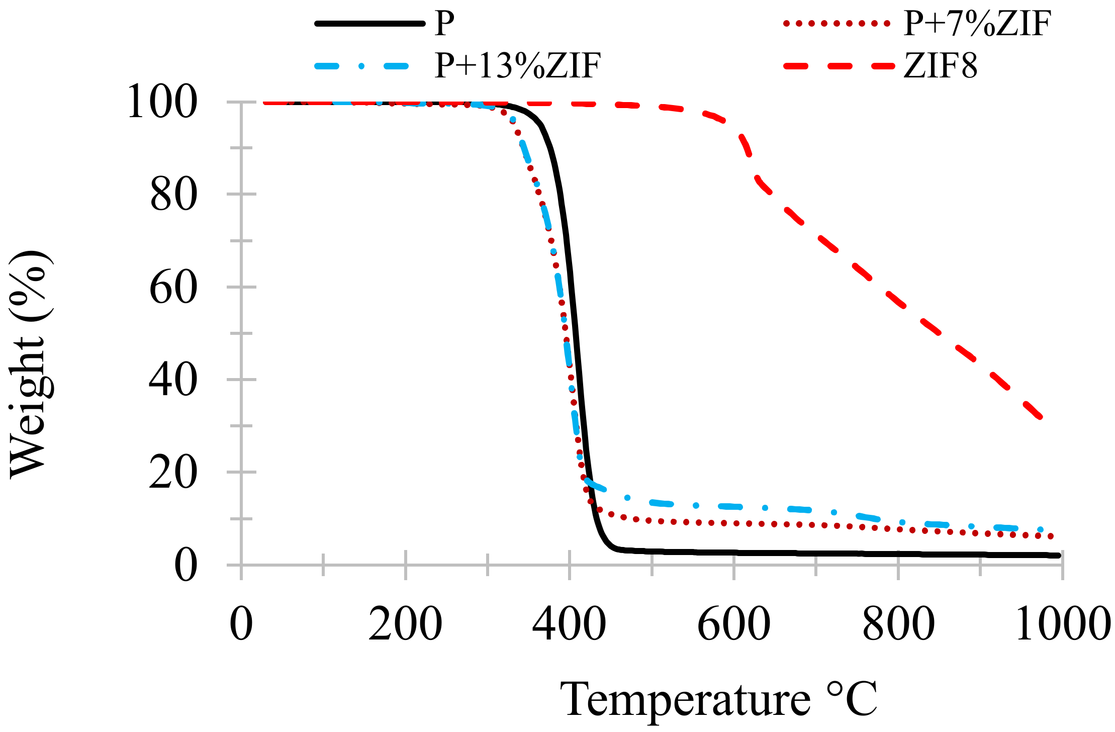
Thermal properties of Pebax/ZIF-8 and Pebax/PEG/ZIF-8 systems were investigated to check the thermal stability of the membranes, to find relations between structure and transport properties and to highlight the role of PEG in the Pebax/ZIF-8 blends. The thermogram were given Figure 7 and Figure 8. In addition, the corresponding data were gathered in Table 3.
Pebax/ZIF-8 membranes containing 7 and 13 wt% of ZIF-8 were first studied and compared with neat Pebax. As mentioned before, neat Pebax thermogram showed two pics corresponding to the melting points of PEO (T = 18 °C) and PA (T = 198 °C) segments (Figure 7). The addition of ZIF-8 slightly increased the Tg of membranes (from −49 to −47 °C) but decreased the crystallinity degree of PEO and PA, due to an improvement of chains stiffness by interactions between ZIF-8 particles and Pebax [20,42,43]. The TGA analyses showed a slight influence of the ZIF-8 load with the decrease of the thermal stability of the membranes (Table 3). Similar results were found in literature [29]. It can be noticed that ZIF-8 particles were more stable than neat Pebax polymer.
The addition of PEG to avoid the agglomeration of ZIF-8 particles decreased the Tg of neat Pebax and Pebax/ZIF-8 membranes due to the plasticizing effect of PEG (Figure 8). The endothermic peak between −20 and 50 °C was attributed to melting point of PEO segment of Pebax and PEG polymer. For ZIF-8 7 wt% (PP + 7% ZIF) three peaks were observed and the crystallinity degree was higher (Xc = 36%) than for the other ZIF-8 content. The presence of broad peaks or many separated peaks mean that the crystals in the membranes are non-homogeneous in size. For higher than ZIF-8 7 wt% content, the degree of crystallinity attributed to PEO segments was lower than in neat Pebax. On the other hand, they are an influence of PEG but no real influence of ZIF-8 on the crystallinity attributed to PA segments. Thus, there are obviously interactions between PEG and Pebax and between PEG and ZIF-8 depending on the ZIF-8 ratio, which can be favorable or non-favorable for the crystallization. The large increase in the crystallinity observed for Pebax/PEG/ZIF-8 7 %wt membrane could be favorable for gas separation.
The TGA measurements indicated that addition of PEG decreased the thermal stability of blend membranes, but the membranes were still stable up to 200 °C (Figure 8).
Consequently, the use of PEG to prepare the mixed membranes is favorable to improve the dispersion of ZIF-8 particles and influence the degree of crystallinity of the membrane.

3.2.3. Gas Permeation Measurements

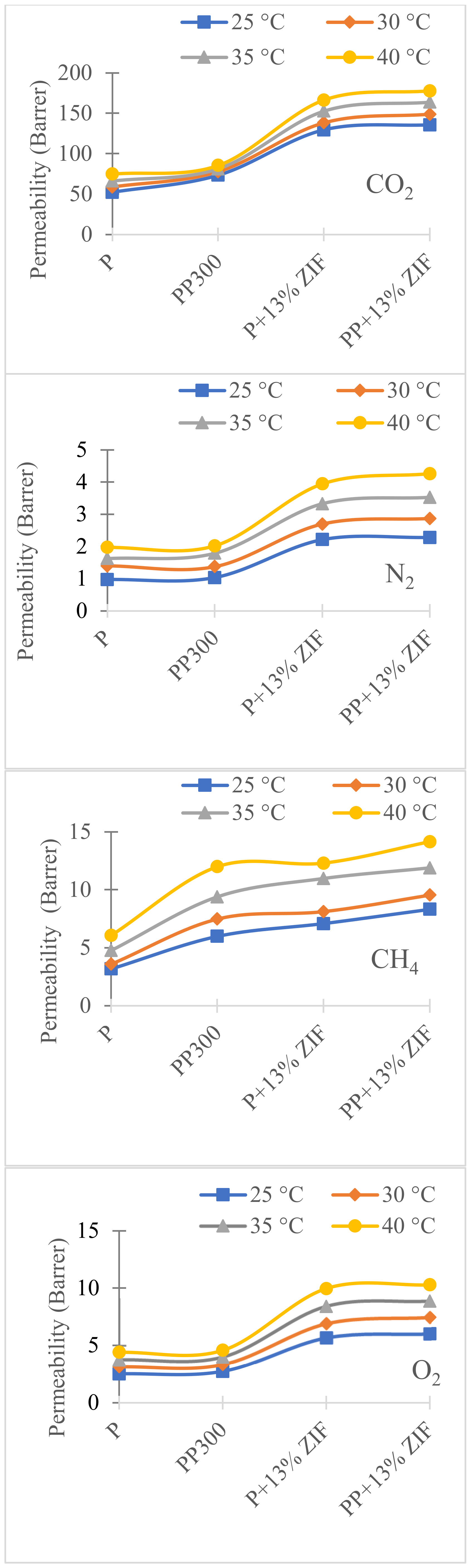
CO2, CH4, O2 and N2 gas permeation measurements were performed on Pebax/ZIF-8 and Pebax/PEG/ZIF-8 blend membranes and compared to neat Pebax (Figure 9) and the accuracy on D, P and S values is 7%, 7% and 14%, respectively.
The addition of ZIF-8 (7 and 13 wt%) in Pebax significantly increased the CO2 permeability, from 52 Barrer for pristine Pebax to 129 Barrer for Pebax containing ZIF-8 13 wt%. The selectivity for CO2 were increased with ZIF-8 7 wt% but decreased with higher ZIF-8 content. The effect was more marked for αCO2/N2 than for αCO2/O2 and αCO2/CH4. These results can be explained by the high selective properties of ZIF-8 for CO2 separation from gases. ZIF-8 is highly selective to CO2 due to its molecular sieving properties [22]: the pore size of ZIF-8 is 3.4 Å [44] and kinetic diameters of CO2, CH4, O2 and N2 are 3.3, 3.8, 3.46 and 3.64 Å, respectively [45]. Moreover, ZIF-8 particles can also create additional free volume in polymer matrix leading to preferential diffusion pathways and so, an increase in the permeability [42]. For the highest ZIF-8 content (23 wt%), a strong increase in permeability is observed for all gases (except N2) due to the larger free volume. Similar observations are mentioned in literature [29]. It could be supposed that the CO2 molecules would diffuse more easily than other molecules in free volume along matrix/ZIF-8 interfacial zones due to its lowest diameter, but it is not the case. The interfacial zones seem to be too large to improve the selectivity between gases.
As previously seen in Section 3.1.3, the addition of PEG 300 to Pebax matrix increased the CO2 permeability and the selectivity αCO2/N2 and αCO2/O2 due to favorable interactions between polar CO2 molecules and ethylene oxide groups in PEG. The addition of PEG to Pebax/ZIF-8 blends slightly increased the CO2 permeability and selectivity whatever the gas. The strong increase in the permeability of the gases observed for 23 wt% ZIF-8 content was previously explained by the increase in the free volume in the membrane. It could be also supposed that PEG would limit this free volume by covering the ZIF-8 particles, but it was not the case. In addition, PN2 and PO2 were not influenced by PEG: e.g., for 13 wt% ZIF-8 PN2 and PO2 are 2.3 and 6.0 Barrer with PEG and 2.2 and 5.7 Barrer without PEG, respectively. The increase in PCO2 and PCH4 with PEG is only due to the favorable interactions between these gases and PEG as observed previously in the experiments without ZIF-8.
Finally, the addition of PEG and ZIF-8 to Pebax showed a positive effect for CO2 separation because the permeability and the selectivity were increased. The synergic effect between PEG and ZIF was particularly marked for high ZIF-8 content where the initial permeability of Pebax was multiplied by three (from 54 to 161 Barrers) while keeping the CO2 selectivity.
The solubility and diffusion coefficients were calculated (Figure 10) using the solution-diffusion model in which the permeability is the product of the solubility (S) by the diffusion (D) for the gas transport through dense membrane. Whatever the membrane, P values followed the decreasing order PCO2 >> PCH4 > PO2 > PN2 (Figure 9) while D values did not change much (except for PP containing ZIF-8 23 wt%) (Figure 10). On the other hand, S coefficients highly depended on the type of gas, with 10-times larger S values for CO2. It can be explained by the polar character of CO2 molecules that involve quadrupoles [16] interactions with ethylene oxide groups in membrane. Thus, the transport of CO2 through the membranes was more controlled by the solubility than the diffusion.
Other factors can influence the diffusivity and the solubility of molecules in dense membranes such as shape, size, and condensability of the diffusing molecules, and the polymer and additives. The largest PCO2 values obtained for all membranes are almost explained by the strong interactions between CO2 molecules and the ethylene oxide groups in PEG and Pebax due to its highest polarizability, and by the smallest size of CO2 compared to others tested gases (N2, O2, CH4) [37,46].

3.3. Effect of Temperature on Permeation Properties

To study the effect of temperature on gas permeability additional measurements were performed at 30, 35 and 40 °C on Pebax, Pebax/PEG, Pebax/ZIF-8 and Pebax/PEG/ZIF-8 membranes (PEG 300, ZIF-8 13% wt) (Figure 11 and Figure 12) and the accuracy on P values is 7%.
For all membranes, the permeability coefficients (Figure 11) increased with temperature while the selectivity (Figure 12) decreased. Pebax/PEG/ZIF-8 membrane showed the highest permeability values whatever the temperature and the gas. These results were in agreement with those obtained with UiO-66-Pebax and UiO-66-NH2-Pebax mixed matrix membranes system [47]. The increase in permeability by temperature was due to the total melting of crystalline fraction of the PEO (from Pebax and PEG), the melting of the large crystalline fraction observed for Pebax/PEG/ZIF-8 blend (between −20 and 50 °C) and the creation of more free volumes caused by the thermal motions of the polymer chains in the amorphous regions [48]. A decrease in selectivity was also observed with temperature with a similar tendency whatever the membrane. At 40 °C, there is no more influence of the ZIF-8 load and PEG because αCO2/N2 and αCO2/O2 have the same values whatever the membrane. With the increase in temperature, αCO2/CH4 values also decreased but were less affected than the other selectivity. In conclusion, with the increase in temperature, the permeability of membranes is increased but the selectivity for CO2 decreased relatively.
Furthermore, the effect of temperature on the gas transport can be expressed by the Arrhenius equation [49]:
P P 0 . exp ( E a R T )
where P is the permeability coefficient P0 a pre-exponential factor, R the gas constant (kJ mol−1 K), T the temperature (expressed in K) and E a is the activation energy in kJ mol−1.
The graphical representation of Ln P = f(1000/T) allowed to determine the activation energy of the tested gas. The obtained values are gathered Figure 13. All activation energy values were positive that confirms the increase in permeability with the temperature. The obtained values for pristine Pebax were similar to literature values [50].
CO2 activation energy value for neat Pebax (19 kJ mol−1) highly decreased in presence of PEG (8 kJ mol−1). This result was previously explained by the favorable interactions between polar CO2 molecules and ethylene oxide groups in PEG. The CO2 permeation mechanism need less energy to be performed with PEG that increased the CO2 permeability and selectivity. Ea values also decreased when ZIF-8 was added to Pebax and Pebax/PEG (13 and 14 kJ mol−1, respectively). The highest Ea values for O2, N2, CH4 were explained by their lowest solubility in the matrix membranes.

4. Conclusions

In this study, a series of Pebax composites membranes were prepared with different additives (PEG, ZIF-8) and tested for CO2 separation from air and CH4. ZIF-8 was used as sieving particles to improve the CO2 selectivity. PEG was used to improve the dispersion of ZIF-8 and to increase the CO2 solubility in the membranes.
The experiment results showed that the addition of low molecular weight PEG in Pebax significantly increased the permeability of CO2 and CH4 and the selectivity CO2/N2. These results were explained by favorable polar interactions between CO2 and ethylene oxide groups in PEG. However, the addition of high molecular weight (PEG 1500) drastically decreased the permeability and selectivity for CO2 due to its high crystallinity. In conclusion, low molecular weight of PEG is recommended to improve the performance of the Pebax membranes.
As expected, the addition of low ZIF-8 contents in Pebax membranes significantly increased the CO2 selectivity by a molecular sieving mechanism. The CO2 permeability was also improved due to the increase in the free volume in the matrix/ZIF-8 interfacial zones in polymer matrix. However, the effect of ZIF-8 particles was less marked than with PEG. Moreover, for higher ZIF-8 content (23 wt%), the increase in the free volume for all gases lead to a decrease of CO2 selectivity.
The incorporation of PEG into Pebax/ZIF-8 membrane clearly avoids the agglomeration of ZIF-8 particles. It also showed a positive effect for the CO2 permeability because the mechanism of CO2 transport in the membrane was essentially governed by the solubility. This effect was particularly marked for high ZIF-8 content where the initial permeability of Pebax was multiplied by three. However, the selectivity towards CO2 were less than those obtained without ZIF-8. There is a compromise to find between the improvements of permeability and selectivity. For example, the use of a highest selective CO2 Pebax/PEG/ZIF-8 as thin layer coated on a porous support could increase both permeability and selectivity.
In conclusion, the new Pebax/PEG/ZIF-8 system can be a promising approach to develop selective membranes for CO2 with a high permeability.

Author Contributions

Conceptualization, T.E. and L.L.; methodology, T.E.; validation T.E., D.R. and L.L.; formal analysis, T.E.; investigation, J.B. and T.E.; data curation, T.E.; writing—original draft preparation, T.E.; writing—review and editing, T.E., D.R. and L.L.; supervision D.R. and L.L.; project administration, L.L.; funding acquisition, L.L. All authors have read and agreed to the published version of the manuscript.

Funding

This research was funded by European Regional Development Fund (FEDER) and Normandy Region grant number [17P04358].

Institutional Review Board Statement

Not applicable.

Data Availability Statement

The data presented in this study are available on request from the corresponding author.

Acknowledgments

The authors thank Normandy Region, Normandy University, and the European Union for their financial support (Chemimaging project).

Conflicts of Interest

The authors declare no conflict of interest.

References

  1. Jiao, C.; Li, Z.; Li, X.; Wu, M.; Jiang, H. Improved CO2/N2 separation performance of Pebax composite membrane containing polyethyleneimine functionalized ZIF-8. Sep. Purif. Technol. 2021, 259, 118190. [Google Scholar] [CrossRef]
  2. Songolzadeh, M.; Soleimani, M.; Ravanchi, M.T.; Songolzadeh, R. Carbon Dioxide Separation from Flue Gases: A Technological Review Emphasizing Reduction in Greenhouse Gas Emissions. Sci. World J. 2014, 2014, 828131 . [Google Scholar] [CrossRef] [PubMed]
  3. Galizia, M.; Chi, W.S.; Smith, Z.P.; Merkel, T.C.; Baker, R.W.; Freeman, B.D. 50th Anniversary Perspective: Polymers and Mixed Matrix Membranes for Gas and Vapor Separation: A Review and Prospective Opportunities. Macromolecules 2017, 50, 7809–7843. [Google Scholar] [CrossRef]
  4. Anjum, M.W.; de Clippel, F.; Didden, J.; Khan, A.L.; Couck, S.; Baron, G.V.; Denayer, J.F.; Sels, B.; Vankelecom, I. Polyimide mixed matrix membranes for CO2 separations using carbon–silica nanocomposite fillers. J. Membr. Sci. 2015, 495, 121–129. [Google Scholar] [CrossRef]
  5. Baker, R.W.; Low, B.T. Gas Separation Membrane Materials: A Perspective. Macromolecules 2014, 47, 6999–7013. [Google Scholar] [CrossRef]
  6. Kim, H.W.; Yoon, H.W.; Yoo, B.M.; Park, J.S.; Gleason, K.L.; Freeman, B.D.; Park, H.B. High-performance CO2-philic graphene oxide membranes under wet-conditions. Chem. Commun. 2014, 50, 13563–13566. [Google Scholar] [CrossRef] [PubMed]
  7. Hirsch, A.; Backes, C. Carbon Nanotube Science. Synthesis, Properties and Applications. By Peter J. F. Harris. Angew. Chem. Int. Ed. 2010, 49, 1722–1723. [Google Scholar] [CrossRef]
  8. Furukawa, H.; Cordova, K.E.; O’Keeffe, M.; Yaghi, O.M. The Chemistry and Applications of Metal-Organic Frameworks. Science 2013, 341, 1230444. [Google Scholar] [CrossRef]
  9. Wang, S.; Li, X.; Wu, H.; Tian, Z.; Xin, Q.; He, G.; Peng, D.; Chen, S.; Yin, Y.; Jiang, Z.; et al. Advances in high permeability polymer-based membrane materials for CO2 separations. Energy Environ. Sci. 2016, 9, 1863–1890. [Google Scholar] [CrossRef]
  10. Sforça, M.; Yoshida, I.; Nunes, S. Organic–inorganic membranes prepared from polyether diamine and epoxy silane. J. Membr. Sci. 1999, 159, 197–207. [Google Scholar] [CrossRef]
  11. Shamsabadi, A.A.; Seidi, F.; Salehi, E.; Nozari, M.; Rahimpour, A.; Soroush, M. Efficient CO2-removal using novel mixed-matrix membranes with modified TiO2 nanoparticles. J. Mater. Chem. A 2017, 5, 4011–4025. [Google Scholar] [CrossRef]
  12. Selyanchyn, R.; Fujikawa, S. Membrane thinning for efficient CO2 capture. Sci. Technol. Adv. Mater. 2017, 18, 816–827. [Google Scholar] [CrossRef] [PubMed]
  13. Gong, X.; Wang, Y.; Kuang, T. ZIF-8-Based Membranes for Carbon Dioxide Capture and Separation. ACS Sustain. Chem. Eng. 2017, 5, 11204–11214. [Google Scholar] [CrossRef]
  14. Huang, G.; Isfahani, A.P.; Muchtar, A.; Sakurai, K.; Shrestha, B.B.; Qin, D.; Yamaguchi, D.; Sivaniah, E.; Ghalei, B. Pebax/ionic liquid modified graphene oxide mixed matrix membranes for enhanced CO2 capture. J. Membr. Sci. 2018, 565, 370–379. [Google Scholar] [CrossRef]
  15. Zhao, D.; Ren, J.; Wang, Y.; Qiu, Y.; Li, H.; Hua, K.; Li, X.; Ji, J.; Deng, M. High CO2 separation performance of Pebax®/CNTs/GTA mixed matrix membranes. J. Membr. Sci. 2017, 521, 104–113. [Google Scholar] [CrossRef]
  16. Kargari, A.; Rezaeinia, S. State-of-the-art modification of polymeric membranes by PEO and PEG for carbon dioxide separation: A review of the current status and future perspectives. J. Ind. Eng. Chem. 2019, 84, 1–22. [Google Scholar] [CrossRef]
  17. Wang, M.; Wang, Z.; Zhao, S.; Wang, J.; Wang, S. Recent advances on mixed matrix membranes for CO2 separation. Chin. J. Chem. Eng. 2017, 25, 1581–1597. [Google Scholar] [CrossRef]
  18. Lin, H.; Freeman, B. Gas solubility, diffusivity and permeability in poly(ethylene oxide). J. Membr. Sci. 2004, 239, 105–117. [Google Scholar] [CrossRef]
  19. Askari, M.; Chung, T.-S. Natural gas purification and olefin/paraffin separation using thermal cross-linkable co-polyimide/ZIF-8 mixed matrix membranes. J. Membr. Sci. 2013, 444, 173–183. [Google Scholar] [CrossRef]
  20. Nafisi, V.; Hägg, M.-B. Development of dual layer of ZIF-8/PEBAX-2533 mixed matrix membrane for CO2 capture. J. Membr. Sci. 2014, 459, 244–255. [Google Scholar] [CrossRef]
  21. Jomekian, A.; Behbahani, R.M.; Mohammadi, T.; Kargari, A. CO2/CH4 separation by high performance co-casted ZIF-8/Pebax 1657/PES mixed matrix membrane. J. Nat. Gas Sci. Eng. 2016, 31, 562–574. [Google Scholar] [CrossRef]
  22. Nordin, N.A.H.M.; Ismail, A.F.; Mustafa, A.; Murali, R.S.; Matsuura, T. The impact of ZIF-8 particle size and heat treatment on CO2/CH4 separation using asymmetric mixed matrix membrane. RSC Adv. 2014, 4, 52530–52541. [Google Scholar] [CrossRef]
  23. Duan, C.; Jie, X.; Liu, D.; Cao, Y.; Yuan, Q. Post-treatment effect on gas separation property of mixed matrix membranes containing metal organic frameworks. J. Membr. Sci. 2014, 466, 92–102. [Google Scholar] [CrossRef]
  24. Thompson, J.A.; Chapman, K.W.; Koros, W.J.; Jones, C.W.; Nair, S. Sonication-induced Ostwald ripening of ZIF-8 nanoparticles and formation of ZIF-8/polymer composite membranes. Microporous Mesoporous Mater. 2012, 158, 292–299. [Google Scholar] [CrossRef]
  25. Jeazet, H.B.T.; Sorribas, S.; Román-Marín, J.M.; Zornoza, B.; Téllez, C.; Coronas, J.; Janiak, C. Increased Selectivity in CO2/CH4 Separation with Mixed-Matrix Membranes of Polysulfone and Mixed-MOFs MIL-101(Cr) and ZIF-8. Eur. J. Inorg. Chem. 2016, 2016, 4363–4367. [Google Scholar] [CrossRef]
  26. Zheng, X.; Xu, Q. Comparison Study of Morphology and Crystallization Behavior of Polyethylene and Poly(ethylene oxide) on Single-Walled Carbon Nanotubes. J. Phys. Chem. B 2010, 114, 9435–9444. [Google Scholar] [CrossRef]
  27. Wang, S.; Liu, Y.; Huang, S.; Wu, H.; Li, Y.; Tian, Z.; Jiang, Z. Pebax–PEG–MWCNT hybrid membranes with enhanced CO2 capture properties. J. Membr. Sci. 2014, 460, 62–70. [Google Scholar] [CrossRef]
  28. Car, A.; Stropnik, C.; Yave, W.; Peinemann, K.-V. PEG modified poly(amide-b-ethylene oxide) membranes for CO2 separation. J. Membr. Sci. 2008, 307, 88–95. [Google Scholar] [CrossRef]
  29. Li, M.; Zhang, X.; Zeng, S.; Bai, L.; Gao, H.; Deng, J.; Yang, Q.; Zhang, S. Pebax-based composite membranes with high gas transport properties enhanced by ionic liquids for CO2 separation. RSC Adv. 2017, 7, 6422–6431. [Google Scholar] [CrossRef]
  30. Firpo, G.; Angeli, E.; Repetto, L.; Valbusa, U. Permeability thickness dependence of polydimethylsiloxane (PDMS) membranes. J. Membr. Sci. 2015, 481, 1–8. [Google Scholar] [CrossRef] [Green Version]
  31. Rutherford, S.W.; Do, D.D. Review of time lag permeation technique as a method for characterisation of porous media and membranes. Adsorption 1997, 3, 283–312. [Google Scholar] [CrossRef]
  32. Wu, H.; Thibault, J.; Kruczek, B. The validity of the time-lag method for the characterization of mixed-matrix membranes. J. Membr. Sci. 2020, 618, 118715. [Google Scholar] [CrossRef]
  33. Choudalakis, G.; Gotsis, A. Free volume and mass transport in polymer nanocomposites. Curr. Opin. Colloid Interface Sci. 2012, 17, 132–140. [Google Scholar] [CrossRef]
  34. Thanakkasaranee, S.; Kim, D.; Seo, J. Preparation and Characterization of Poly(ether-block-amide)/Polyethylene Glycol Composite Films with Temperature-Dependent Permeation. Polymers 2018, 10, 225. [Google Scholar] [CrossRef] [PubMed]
  35. Reijerkerk, S.R.; Knoef, M.H.; Nijmeijer, D.C.; Wessling, M. Poly(ethylene glycol) and poly(dimethyl siloxane): Combining their advantages into efficient CO2 gas separation membranes. J. Membr. Sci. 2010, 352, 126–135. [Google Scholar] [CrossRef]
  36. Meshkat, S.; Kaliaguine, S.; Rodrigue, D. Enhancing CO2 separation performance of Pebax® MH-1657 with aromatic carboxylic acids. Sep. Purif. Technol. 2019, 212, 901–912. [Google Scholar] [CrossRef]
  37. Feng, S.; Ren, J.; Zhao, D.; Li, H.; Hua, K.; Li, X.; Deng, M. Effect of poly(ethylene glycol) molecular weight on CO2/N2 separation performance of poly(amide-12-b-ethylene oxide)/poly(ethylene glycol) blend membranes. J. Energy Chem. 2019, 28, 39–45. [Google Scholar] [CrossRef]
  38. Chung, T.-S.; Jiang, L.Y.; Li, Y.; Kulprathipanja, S. Mixed matrix membranes (MMMs) comprising organic polymers with dispersed inorganic fillers for gas separation. Prog. Polym. Sci. 2007, 32, 483–507. [Google Scholar] [CrossRef]
  39. Ghadimi, A.; Mohammadi, T.; Kasiri, N. A Novel Chemical Surface Modification for the Fabrication of PEBA/SiO2 Nanocomposite Membranes to Separate CO2 from Syngas and Natural Gas Streams. Ind. Eng. Chem. Res. 2014, 53, 17476–17486. [Google Scholar] [CrossRef]
  40. Loloei, M.; Omidkhah, M.; Moghadassi, A.; Amooghin, A.E. Preparation and characterization of Matrimid® 5218 based binary and ternary mixed matrix membranes for CO2 separation. Int. J. Greenh. Gas Control 2015, 39, 225–235. [Google Scholar] [CrossRef]
  41. Ahmadpour, E.; Sarfaraz, M.V.; Behbahani, R.M.; Shamsabadi, A.A.; Aghajani, M. Fabrication of mixed matrix membranes containing TiO 2 nanoparticles in Pebax 1657 as a copolymer on an ultra-porous PVC support. J. Nat. Gas Sci. Eng. 2016, 35, 33–41. [Google Scholar] [CrossRef]
  42. Jomekian, A.; Bazooyar, B.; Behbahani, R.M.; Mohammadi, T.; Kargari, A. Ionic liquid-modified Pebax® 1657 membrane filled by ZIF-8 particles for separation of CO2 from CH4, N2 and H2. J. Membr. Sci. 2017, 524, 652–662. [Google Scholar] [CrossRef]
  43. Sutrisna, P.D.; Hou, J.; Li, H.; Zhang, Y.; Chen, V. Improved operational stability of Pebax-based gas separation membranes with ZIF-8: A comparative study of flat sheet and composite hollow fibre membranes. J. Membr. Sci. 2017, 524, 266–279. [Google Scholar] [CrossRef]
  44. Dechnik, J.; Sumby, C.J.; Janiak, C. Enhancing Mixed-Matrix Membrane Performance with Metal–Organic Framework Additives. Cryst. Growth Des. 2017, 17, 4467–4488. [Google Scholar] [CrossRef]
  45. Aguilar-Armenta, G.; Hernandez-Ramirez, G.; Flores-Loyola, E.; Ugarte-Castaneda, A.; Silva-Gonzalez, R.; Tabares-Munoz, C.; Jimenez-Lopez, A.; Rodriguez-Castellon, E. Adsorption Kinetics of CO2, O2, N2, and CH4 in Cation-Exchanged Clinoptilolite. J. Phys. Chem. B 2001, 105, 1313–1319. [Google Scholar] [CrossRef]
  46. Rahman, M.; Filiz, V.; Shishatskiy, S.; Abetz, C.; Neumann, S.; Bolmer, S.; Khan, M.M.; Abetz, V. PEBAX® with PEG functionalized POSS as nanocomposite membranes for CO2 separation. J. Membr. Sci. 2013, 437, 286–297. [Google Scholar] [CrossRef]
  47. Shen, J.; Liu, G.; Huang, K.; Li, Q.; Guan, K.; Li, Y.; Jin, W. UiO-66-polyether block amide mixed matrix membranes for CO2 separation. J. Membr. Sci. 2016, 513, 155–165. [Google Scholar] [CrossRef]
  48. Zarshenas, K.; Raisi, A.; Aroujalian, A. Mixed matrix membrane of nano-zeolite NaX/poly (ether-block-amide) for gas separation applications. J. Membr. Sci. 2016, 510, 270–283. [Google Scholar] [CrossRef]
  49. Ghosal, K.; Freeman, B.D. Gas separation using polymer membranes: An overview. Polym. Adv. Technol. 1994, 5, 673–697. [Google Scholar] [CrossRef]
  50. Kim, J.H.; Ha, S.Y.; Lee, Y.M. Gas permeation of poly(amide-6-b-ethylene oxide) copolymer. J. Membr. Sci. 2001, 190, 179–193. [Google Scholar] [CrossRef]
Figure 1. Surface and cross-section morphology of neat Pebax and Pebax/PEG (67/33 wt%) membranes.
Figure 1. Surface and cross-section morphology of neat Pebax and Pebax/PEG (67/33 wt%) membranes.
Membranes 12 00836 g001
Figure 2. TGA and DSC curves of neat Pebax and Pebax/PEG membrane.
Figure 2. TGA and DSC curves of neat Pebax and Pebax/PEG membrane.
Membranes 12 00836 g002
Figure 3. Permeability and selectivity coefficients of CO2, CH4, N2, and O2 for neat Pebax and Pebax/PEG membranes.
Figure 3. Permeability and selectivity coefficients of CO2, CH4, N2, and O2 for neat Pebax and Pebax/PEG membranes.
Membranes 12 00836 g003
Figure 4. Solubility and diffusion coefficients of CO2, CH4, N2, and O2 of neat Pebax and Pebax/PEG membranes.
Figure 4. Solubility and diffusion coefficients of CO2, CH4, N2, and O2 of neat Pebax and Pebax/PEG membranes.
Membranes 12 00836 g004
Figure 5. Surface and cross-section morphology of Pebax/ZIF-8 and Pebax/PEG/ZIF-8 membranes.
Figure 5. Surface and cross-section morphology of Pebax/ZIF-8 and Pebax/PEG/ZIF-8 membranes.
Membranes 12 00836 g005
Figure 6. EDX analyses of Pebax/ZIF-8 (A) and Pebax/PEG/ZIF-8 (B) membranes. ZIF-8 amount is 7 wt%. Blue color is Zn element.
Figure 6. EDX analyses of Pebax/ZIF-8 (A) and Pebax/PEG/ZIF-8 (B) membranes. ZIF-8 amount is 7 wt%. Blue color is Zn element.
Membranes 12 00836 g006
Figure 7. TGA and DSC curves of Pebax/ZIF-8 membranes.
Figure 7. TGA and DSC curves of Pebax/ZIF-8 membranes.
Membranes 12 00836 g007aMembranes 12 00836 g007b
Figure 8. TGA and DSC curves of Pebax/PEG/ZIF-8 membranes.
Figure 8. TGA and DSC curves of Pebax/PEG/ZIF-8 membranes.
Membranes 12 00836 g008
Figure 9. Permeability and selectivity coefficients for neat Pebax, Pebax/ZIF-8 and Pebax/PEG/ZIF-8 blend membranes.
Figure 9. Permeability and selectivity coefficients for neat Pebax, Pebax/ZIF-8 and Pebax/PEG/ZIF-8 blend membranes.
Membranes 12 00836 g009
Figure 10. Solubility and diffusion coefficient of CO2, CH4, N2, and O2 for neat Pebax, Pebax/ZIF-8 and Pebax/PEG/ZIF-8 blend membranes.
Figure 10. Solubility and diffusion coefficient of CO2, CH4, N2, and O2 for neat Pebax, Pebax/ZIF-8 and Pebax/PEG/ZIF-8 blend membranes.
Membranes 12 00836 g010
Figure 11. Effect of temperature on permeability for neat Pebax (P), PP300, P + 13% ZIF-8 and PP + 13% ZIF-8.
Figure 11. Effect of temperature on permeability for neat Pebax (P), PP300, P + 13% ZIF-8 and PP + 13% ZIF-8.
Membranes 12 00836 g011
Figure 12. Effect of temperature on selectivity coefficients for neat Pebax (P), PP300, P + 13% ZIF-8 and PP + 13% ZIF-8.
Figure 12. Effect of temperature on selectivity coefficients for neat Pebax (P), PP300, P + 13% ZIF-8 and PP + 13% ZIF-8.
Membranes 12 00836 g012
Figure 13. Activation energy of CO2, CH4, O2 and N2 for neat Pebax (P), PP300, P + 13% ZIF-8 and PP + 13% ZIF-8.
Figure 13. Activation energy of CO2, CH4, O2 and N2 for neat Pebax (P), PP300, P + 13% ZIF-8 and PP + 13% ZIF-8.
Membranes 12 00836 g013
Table 1. Composition of prepared neat Pebax and Pebax-based hybrid membranes.
Table 1. Composition of prepared neat Pebax and Pebax-based hybrid membranes.
MembranePebax (wt%)PEG (wt%)ZIF-8 (wt%)ZIF-8/Pebax (wt%)
P100---
PP3006733--
PP6006733--
PP15006733--
P + 7% ZIF93-77
PP + 7% ZIF643247
P + 13% ZIF87-1313
PP + 13% ZIF6130913
PP + 23% ZIF56281623
Table 2. Thermal properties of neat Pebax and Pebax/PEG membranes.
Table 2. Thermal properties of neat Pebax and Pebax/PEG membranes.
TGADSC
MembraneT1% (°C)T5% (°C)DTG
(°C)
R
(%)
Tg
(°C)
Tm PEO
(°C)
Tm PA
(°C)
Xc PEO
(%)
Xc PA
(%)
P3273644102.1−49181981411
PP 3001972484052.1−7014198147
PP 6002873304072.8−6126204348
PP 15003183594113.2−5045206499
T1%: Temperature for 1% loss of weight decomposition (°C), T5%: Temperature for 5% decomposition (°C), DTG: Temperature of the derivative thermogravimetric peak (°C), R: Residual content at 1000 °C (%), Tg: Glass transition temperature (°C), Tm: Melting temperature (°C); Xc: Crystallinity degree (%).
Table 3. Thermal properties of neat Pebax, Pebax/ZIF and Pebax/PEG/ZIF membranes.
Table 3. Thermal properties of neat Pebax, Pebax/ZIF and Pebax/PEG/ZIF membranes.
TGADSC
MembraneT1% (°C)T5% (°C)DTG
(°C)
R
(%)
Tg
(°C)
Tm PEO
(°C)
Tm PA
(°C)
Xc PEO
(%)
Xc PA
(%)
P3273644102.1−49181981411
PP 3001972484052.1−70−20–35198147
P + 7% ZIF2993334066.2−47152041111
PP + 7% ZIF1942543995.4−65−20–50201369
P + 13% ZIF3053343987.5−471520586
PP + 13% ZIF1792434016.8N.D.−20–5020476
PP + 23% ZIF1722423969.6−5810–50202126
T1%: Temperature for 1% loss of weight decomposition (°C), T5%: Temperature for 5% decomposition (°C), DTG: Temperature of the derivative thermogravimetric peak (°C), R: Residual content at 1000 °C (%), Tg: Glass transition temperature (°C), Tm: Melting temperature (°C); Xc: Crystallinity degree (%) N.D: The glass transition temperature is not detected.
Publisher’s Note: MDPI stays neutral with regard to jurisdictional claims in published maps and institutional affiliations.

Share and Cite

MDPI and ACS Style

Eljaddi, T.; Bouillon, J.; Roizard, D.; Lebrun, L. Pebax-Based Composite Membranes with High Transport Properties Enhanced by ZIF-8 for CO2 Separation. Membranes 2022, 12, 836. https://doi.org/10.3390/membranes12090836

AMA Style

Eljaddi T, Bouillon J, Roizard D, Lebrun L. Pebax-Based Composite Membranes with High Transport Properties Enhanced by ZIF-8 for CO2 Separation. Membranes. 2022; 12(9):836. https://doi.org/10.3390/membranes12090836

Chicago/Turabian Style

Eljaddi, Tarik, Julien Bouillon, Denis Roizard, and Laurent Lebrun. 2022. "Pebax-Based Composite Membranes with High Transport Properties Enhanced by ZIF-8 for CO2 Separation" Membranes 12, no. 9: 836. https://doi.org/10.3390/membranes12090836

APA Style

Eljaddi, T., Bouillon, J., Roizard, D., & Lebrun, L. (2022). Pebax-Based Composite Membranes with High Transport Properties Enhanced by ZIF-8 for CO2 Separation. Membranes, 12(9), 836. https://doi.org/10.3390/membranes12090836

Note that from the first issue of 2016, this journal uses article numbers instead of page numbers. See further details here.

Article Metrics

Back to TopTop