Polymer Electrolytes for Lithium-Ion Batteries Studied by NMR Techniques
Abstract
:1. Introduction
- Liquid electrolytes (LE);
- Solid polymer electrolytes (SPE);
- Polymer gel electrolytes (PGE);
- Nanocomposite polymer and gel electrolytes (NPEs).
2. Electrolytes for Lithium-Ion Batteries, Compositions and Conductivity
2.1. Liquid Electrolytes
2.2. Solid Polymer Electrolytes
- The structure of the main or side chain of the polymer must contain heteroatoms with high basicity, capable of solvating Li+, thus contributing to the dissociation of the salt;
- Heteroatoms in the polymer chain should be located with such a periodicity that would facilitate the rapid transport of Li+ ions;
- To ensure the free movement of Li+ ions, the polymer must not be crystalline, and its glass transition temperature should be lower than the operating temperature of the power source;
- The polymer must be chemically and electrochemically stable with respect to the electrode materials and also be capable of forming mechanically strong films for assembling a chemical power source.
2.3. Polymer Gel Electrolytes
- Physical gels are formed when a liquid electrolyte is placed in a polymer matrix without the formation of chemical bonds between the polymer and solvent, for example, a liquid electrolyte solution in PMMA or PVDF;
- Chemical gels are obtained by chemical cross-linking of a polymer matrix in a liquid organic electrolyte, for example, PEG DA.
- (1)
- The ability to retain the liquid phase of the electrolyte;
- (2)
- Mechanical strength;
- (3)
- Conductivity in a wide temperature range.
2.4. Nanocomposite Polymer Electrolytes
3. NMR Study of Polymer Electrolytes
3.1. NMR in Solid Polymer Electrolytes
3.2. NMR of Liquid Electrolytes
3.3. NMR in Polymer Gel Electrolytes
3.4. NMR in Gel Electrolytes with Ionic Liquid
3.5. NMR in Nanocomposite Polymer Electrolytes
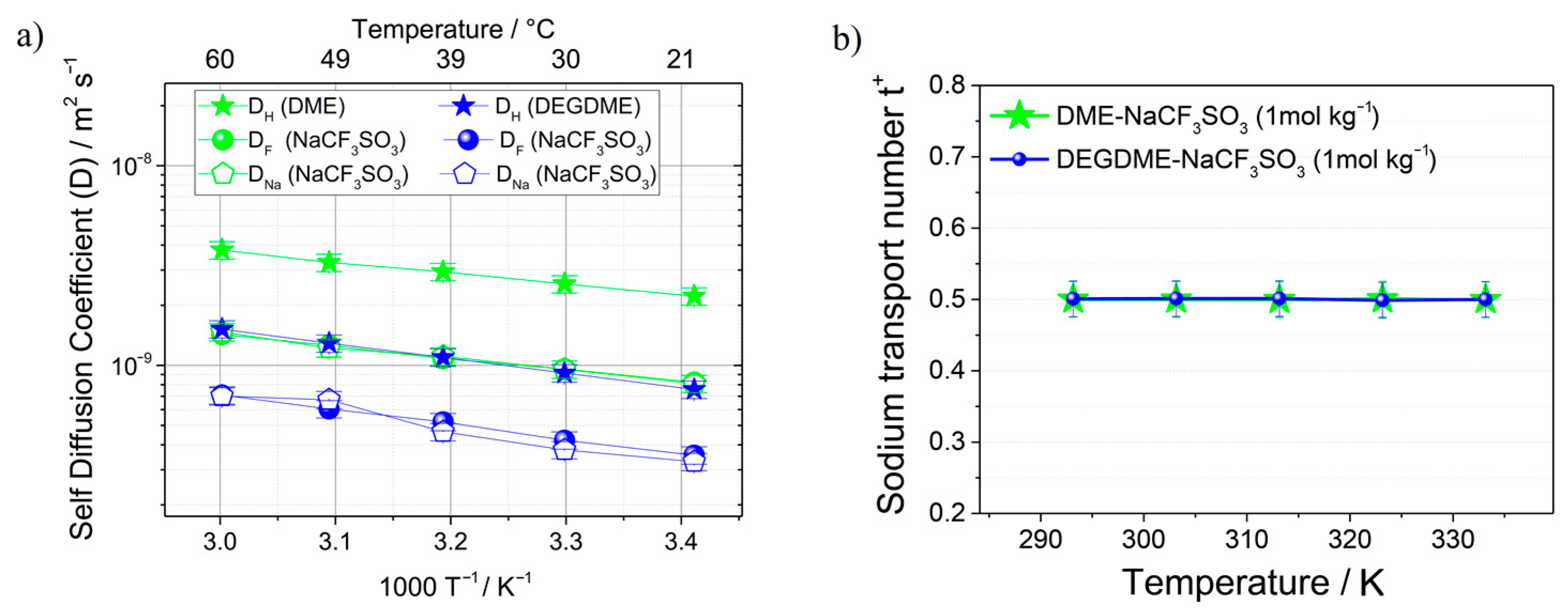
3.6. Nuclear Magnetic Resonance Study of Sodium-Ion Electrolytes
4. Conclusions
Author Contributions
Funding
Acknowledgments
Conflicts of Interest
Abbreviation
| NaTf | sodium trifluoromethanesulfonate |
| NaTFSI | sodium bis(trifluoromethanesulfonyl) imide NaN(SO2CF3)2 |
| LiTFSI | lithium bis(trifluoromethanesulfonyl) imideLiN(SO2CF3)2 |
| LiTf | Lithiumtrifluoromethanesulfonate—LiSO3CF3 |
| LiBOB | Lithium bisoxalato borate |
| BMICF3SO3 | 1-butyl-3-methylimidazolium trifluoromethanesulfonate |
| BMIBF4 | 1-butyl-3-methylimidazolium tetrafluoroborate |
| EMIBF4 | 1-ethyl-3-methylimidazolium tetrafluoroborate |
| [N4441] [TFSI] | tributyl methyl ammonium bis(trifluoromethanesulfonyl)imide |
| [P4441] [TFSI] | tributyl methyl phosphoniumbis(trifluoromethanesulfonyl)imide |
| [Pyr14]PF6 | 1-butyl-1-methyl-pyrrolidinium hexafluorophosphate |
| Pyr13TFSI | N-Propyl-N-methylpyrrolidinium bis(trifluoromethanesulfonyl)imide |
| Pyr14TFSI | N-butyl-N-methyl-pyrrolidinium bis(trifluoromethanesulfonyl) imide |
| BEMA | bisphenol A ethoxylatedimethacrylate |
| CD | cyclodextrin |
| DEC | diethyl carbonate |
| DMC | dimethyl carbonate |
| DME | 1,2-dimethyl ether |
| EC | ethylene carbonate |
| EMC | ethyl methyl carbonate |
| GBL | gamma-butyrolactone |
| HBP | hyperbranched polymer based on methyl methacrylate and triethylene glycol dimethacrylate |
| IL | ionic liquid |
| IBN | isobutyronitrile |
| LE | liquid electrolyte |
| LIB | lithium ion battery |
| MATEMP | di(2-methylacryloyltrioxyethyl) methyl phosphonate |
| MTBE | tert-butyl methyl ether |
| NMR | Nuclear magnetic resonance |
| NPE | Nanocomposite polymer electrolyte |
| PFG NMR | Pulsed field gradient NMR |
| PAN | polyacrylonitrile |
| PAMAM | poly(amidoamine) |
| PBO | poly [benzyl methacrylate-co-oligo (ethylene glycol) ether methacrylate)] |
| PC | propylene carbonate |
| PE | polyethylene |
| PEDA | polyether diacrylate |
| PEG | polyethylene glycol |
| PEG-DA | poly(ethylene glycol) diacrylate |
| PEG-MA | poly(ethylene glycol) methacrylate |
| PEG-MEM | poly(ethylene glycol) methyl ether methacrylate |
| PEMA | poly(ethyl methacrylate) |
| PEO | polyethylene oxide |
| xPTHF | poly(tetrahydrofuran) |
| PGE | polymer gel electrolyte |
| PMMA | poly(methyl methacrylate) |
| P(MMA-co-BA) | poly(methyl methacrylate-co-butylacrylate) |
| PP | polypropylene |
| c-PPO | poly [diemethyl-p-vinyl benzyl phosphonate-co-oligo (ethylene glycol) methacrylate] co-polymer |
| PPO | poly (propylene oxide) |
| PVC | poly (vinyl chloride) |
| PVA | polyvinyl alcohol |
| PVDF | poly(vinylidene fluoride) |
| PVDF-HFP | poly(vinylidene fluoride-co-hexafluoropropylene) |
| PVS | polyvinylstyrene |
| SAG | silicate aerogel |
| SDC | Self-diffusion coefficients |
| SPE | Solid polymer electrolyte |
| THF | tetrahydrofuran |
| TMAN | trimethyl acetonitrile |
References
- Rollo-Walker, G.; Malic, N.; Wang, X.; Chiefari, J.; Forsyth, M. Development and Progression of Polymer Electrolytes for Batteries: Influence of Structure and Chemistry. Polymers 2021, 13, 4127. [Google Scholar] [CrossRef] [PubMed]
- Pigłowska, M.; Kurc, B.; Galiński, M.; Fuć, P.; Kamińska, M.; Szymlet, N.; Daszkiewicz, P. Challenges for Safe Electrolytes Applied in Lithium-Ion Cells—A Review. Materials 2021, 14, 6783. [Google Scholar] [CrossRef] [PubMed]
- Hwang, J.-Y.; Myung, S.-T.; Sun, Y.-K. Sodium-Ion Batteries: Present and Future. Chem. Soc. Rev. 2017, 46, 3529–3614. [Google Scholar] [CrossRef] [PubMed] [Green Version]
- Nayak, P.K.; Yang, L.; Brehm, W.; Adelhelm, P. From Lithium-Ion to Sodium-Ion Batteries: Advantages, Challenges, and Surprises. Angew. Chem. Int. Ed. 2018, 57, 102–120. [Google Scholar] [CrossRef]
- Wang, Y.; Song, S.; Xu, C.; Hu, N.; Molenda, J.; Lu, L. Development of Solid-State Electrolytes for Sodium-Ion Battery—A Short Review. Nano. Mater. Sci. 2019, 1, 91–100. [Google Scholar] [CrossRef]
- Karuppasamy, K.; Theerthagiri, J.; Vikraman, D.; Yim, C.-J.; Hussain, S.; Sharma, R.; Maiyalagan, T.; Qin, J.; Kim, H.-S. Ionic Liquid-Based Electrolytes for Energy Storage Devices: A Brief Review on Their Limits and Applications. Polymers 2020, 12, 918. [Google Scholar] [CrossRef] [Green Version]
- Sultana, S.; Ahmed, K.; Jiwanti, P.K.; Wardhana, B.Y.; Shiblee, M.N.I. Ionic Liquid-Based Gels for Applications in Electrochemical Energy Storage and Conversion Devices: A Review of Recent Progress and Future Prospects. Gels 2021, 8, 2. [Google Scholar] [CrossRef]
- Ray, A.; Saruhan, B. Application of Ionic Liquids for Batteries and Supercapacitors. Materials 2021, 14, 2942. [Google Scholar] [CrossRef]
- Boaretto, N.; Meabe, L.; Martinez-Ibañez, M.; Armand, M.; Zhang, H. Review—Polymer Electrolytes for Rechargeable Batteries: From Nanocomposite to Nanohybrid. J. Electrochem. Soc. 2020, 167, 70524. [Google Scholar] [CrossRef]
- Yarmolenko, O.V.; Yudina, A.V.; Khatmullina, K.G. Nanocomposite Polymer Electrolytes for the Lithium Power Sources (a Review). Russ. J. Electrochem. 2018, 54, 325–343. [Google Scholar] [CrossRef]
- Yao, P.; Yu, H.; Ding, Z.; Liu, Y.; Lu, J.; Lavorgna, M.; Wu, J.; Liu, X. Review on Polymer-Based Composite Electrolytes for Lithium Batteries. Front. Chem. 2019, 7, 522. [Google Scholar] [CrossRef] [PubMed] [Green Version]
- Zhou, D.; Shanmukaraj, D.; Tkacheva, A.; Armand, M.; Wang, G. Polymer Electrolytes for Lithium-Based Batteries: Advances and Prospects. Chem 2019, 5, 2326–2352. [Google Scholar] [CrossRef]
- Munoz, S.; Greenbaum, S. Review of Recent Nuclear Magnetic Resonance Studies of Ion Transport in Polymer Electrolytes. Membranes 2018, 8, 120. [Google Scholar] [CrossRef] [PubMed] [Green Version]
- Fan, X.; Wang, C. High-Voltage Liquid Electrolytes for Li Batteries: Progress and Perspectives. Chem. Soc. Rev. 2021, 50, 10486–10566. [Google Scholar] [CrossRef]
- Quartarone, E.; Mustarelli, P. Review-Emerging Trends in the Design of Electrolytes for Lithium and Post-Lithium Batteries. J. Electrochem. Soc. 2020, 167, 50508. [Google Scholar] [CrossRef]
- Xu, K. Electrolytes and Interphases in Li-Ion Batteries and Beyond. Chem. Rev. 2014, 114, 11503–11618. [Google Scholar] [CrossRef]
- Shestakov, A.F.; Yudina, A.V.; Tulibaeva, G.Z.; Khatmullina, K.G.; Dorofeeva, T.V.; Yarmolenko, O.V. Empirical Formula for the Concentration Dependence of the Conductivity of Organic Electrolytes for Lithium Power Sources in the Vicinity of a Maximum. Russ. J. Electrochem. 2014, 50, 1027–1035. [Google Scholar] [CrossRef]
- Linden, D.; Reddy, T.B. (Eds.) Handbook of Batteries. In McGraw-Hill Handbooks, 3rd ed.; McGraw-Hill: New York, NY, USA, 2002; ISBN 978-0-07-135978-8. [Google Scholar]
- Younesi, R.; Veith, G.M.; Johansson, P.; Edström, K.; Vegge, T. Lithium Salts for Advanced Lithium Batteries: Li–Metal, Li–O2, and Li–S. Energy Environ. Sci. 2015, 8, 1905–1922. [Google Scholar] [CrossRef] [Green Version]
- Marcinek, M.; Syzdek, J.; Marczewski, M.; Piszcz, M.; Niedzicki, L.; Kalita, M.; Plewa-Marczewska, A.; Bitner, A.; Wieczorek, P.; Trzeciak, T.; et al. Electrolytes for Li-Ion Transport–Review. Solid State Ionics 2015, 276, 107–126. [Google Scholar] [CrossRef]
- Deng, J.; Bae, C.; Marcicki, J.; Masias, A.; Miller, T. Safety Modelling and Testing of Lithium-Ion Batteries in Electrified Vehicles. Nat. Energy 2018, 3, 261–266. [Google Scholar] [CrossRef]
- Jiang, L.; Wang, Q.; Li, K.; Ping, P.; Jiang, L.; Sun, J. A Self-Cooling and Flame-Retardant Electrolyte for Safer Lithium Ion Batteries. Sustain. Energy Fuels 2018, 2, 1323–1331. [Google Scholar] [CrossRef]
- Armand, M.; Chabango, J.M.; Duclot, M. Polymeric Solid Electrolytes. In Proceedings of the 2th International Meeting on Solid Electrolytes, St Andrews, Scotland, 20–22 September 1978; p. 6. [Google Scholar]
- Yarmolenko, O.V.; Khatmullina, K.G.; Tulibaeva, G.Z.; Bogdanova, L.M.; Shestakov, A.F. Towards the Mechanism of Li+ Ion Transfer in the Net Solid Polymer Electrolyte Based on Polyethylene Glycol Diacrylate–LiClO4. J. Solid State Electrochem. 2012, 16, 3371–3381. [Google Scholar] [CrossRef]
- Sun, C.; Wang, Z.; Yin, L.; Xu, S.; Ghazi, Z.A.; Shi, Y.; An, B.; Sun, Z.; Cheng, H.-M.; Li, F. Fast Lithium Ion Transport in Solid Polymer Electrolytes from Polysulfide-Bridged Copolymers. Nano Energy 2020, 75, 104976. [Google Scholar] [CrossRef]
- Li, X.; Zheng, Y.; Duan, Y.; Shang, M.; Niu, J.; Li, C.Y. Designing Comb-Chain Crosslinker-Based Solid Polymer Electrolytes for Additive-Free All-Solid-State Lithium Metal Batteries. Nano Lett. 2020, 20, 6914–6921. [Google Scholar] [CrossRef] [PubMed]
- Paranjape, N.; Mandadapu, P.C.; Wu, G.; Lin, H. Highly-Branched Cross-Linked Poly (Ethylene Oxide) with Enhanced Ionic Conductivity. Polymer 2017, 111, 1–8. [Google Scholar] [CrossRef]
- Ibrahim, S.; Yassin, M.M.; Ahmad, R.; Johan, M.R. Effects of Various LiPF6 Salt Concentrations on PEO-Based Solid Polymer Electrolytes. Ionics 2011, 17, 399–405. [Google Scholar] [CrossRef]
- Meabe, L.; Huynh, T.V.; Mantione, D.; Porcarelli, L.; Li, C.; O’Dell, L.A.; Sardon, H.; Armand, M.; Forsyth, M.; Mecerreyes, D. UV-Cross-Linked Poly(Ethylene Oxide Carbonate) as Free Standing Solid Polymer Electrolyte for Lithium Batteries. Electrochim. Acta 2019, 302, 414–421. [Google Scholar] [CrossRef] [Green Version]
- Shim, J.; Kim, L.; Kim, H.J.; Jeong, D.; Lee, J.H.; Lee, J.-C. All-Solid-State Lithium Metal Battery with Solid Polymer Electrolytes Based on PolysiloxaneCrosslinked by Modified Natural Gallic Acid. Polymer 2017, 122, 222–231. [Google Scholar] [CrossRef]
- LaCoste, J.; Li, Z.; Xu, Y.; He, Z.; Matherne, D.; Zakutayev, A.; Fei, L. Investigating the Effects of Lithium Phosphorous Oxynitride Coating on Blended Solid Polymer Electrolytes. ACS Appl. Mater. Interfaces 2020, 12, 40749–40758. [Google Scholar] [CrossRef]
- Mackanic, D.G.; Michaels, W.; Lee, M.; Feng, D.; Lopez, J.; Qin, J.; Cui, Y.; Bao, Z. Crosslinked Poly(Tetrahydrofuran) as a Loosely Coordinating Polymer Electrolyte. Adv. Energy Mater. 2018, 8, 1800703. [Google Scholar] [CrossRef]
- Timachova, K.; Villaluenga, I.; Cirrincione, L.; Gobet, M.; Bhattacharya, R.; Jiang, X.; Newman, J.; Madsen, L.A.; Greenbaum, S.G.; Balsara, N.P. Anisotropic Ion Diffusion and Electrochemically Driven Transport in Nanostructured Block Copolymer Electrolytes. J. Phys. Chem. B 2018, 122, 1537–1544. [Google Scholar] [CrossRef] [PubMed] [Green Version]
- Fu, X.; Liu, Y.; Wang, W.; Han, L.; Yang, J.; Ge, M.; Yao, Y.; Liu, H. Probing the Fast Lithium-Ion Transport in Small-Molecule Solid Polymer Electrolytes by Solid-State NMR. Macromolecules 2020, 53, 10078–10085. [Google Scholar] [CrossRef]
- Sangeetha, M.; Mallikarjun, A.; Reddy, M.J.; Kumar, J.S. FTIR Spectroscopic and DC Ionic Conductivity Studies of PVDF-HFP: LiBF4: EC Plasticized Polymer Electrolyte Membrane. IOP Conf. Ser. Mater. Sci. Eng. 2017, 225, 12049. [Google Scholar] [CrossRef] [Green Version]
- Khatmullina, K.G.; Baimuratova, G.R.; Lesnichaya, V.A.; Shuvalova, N.I.; Yarmolenko, O.V. Mechanical and Electrochemical Properties of New Nanocomposite Polymer Electrolytes Based on Poly(vinylidene fluoride) Copolymer with Hexafluoropropylene and SiO2 Addition. Polym. Sci. Ser. A 2018, 60, 222–228. [Google Scholar] [CrossRef]
- Jia, H.; Onishi, H.; Wagner, R.; Winter, M.; Cekic-Laskovic, I. Intrinsically Safe Gel Polymer Electrolyte Comprising Flame-Retarding Polymer Matrix for Lithium Ion Battery Application. ACS Appl. Mater. Interfaces 2018, 10, 42348–42355. [Google Scholar] [CrossRef]
- Janakiraman, S.; Padmaraj, O.; Ghosh, S.; Venimadhav, A. A Porous Poly (Vinylidene Fluoride-Co-Hexafluoropropylene) Based Separator-Cum-Gel Polymer Electrolyte for Sodium-Ion Battery. J. Electroanal. Chem. 2018, 826, 142–149. [Google Scholar] [CrossRef]
- Krause, C.H.; Röring, P.; Onishi, H.; Diddens, D.; Thienenkamp, J.H.; Brunklaus, G.; Winter, M.; Cekic-Laskovic, I. Propylene Carbonate-Nitrile Solvent Blends for Thermally Stable Gel Polymer Lithium Ion Battery Electrolytes. J. Power Sources 2020, 478, 229047. [Google Scholar] [CrossRef]
- Poiana, R.; Lufrano, E.; Tsurumaki, A.; Simari, C.; Nicotera, I.; Navarra, M.A. Safe Gel Polymer Electrolytes for High Voltage Li-Batteries. Electrochim. Acta 2022, 401, 139470. [Google Scholar] [CrossRef]
- Zhu, Y.; Wang, F.; Liu, L.; Xiao, S.; Chang, Z.; Wu, Y. Composite of a nonwoven fabric with poly (vinylidene fluoride) as a gel membrane of high safety for lithium ion battery. Energy Environ. Sci. 2013, 6, 618–624. [Google Scholar] [CrossRef]
- Richardson, P.M.; Voice, A.M.; Ward, I.M. NMR self-diffusion and relaxation time measurements for poly (vinylidene fluoride) (PVDF) based polymer gel electrolytes containing LiBF4 and propylene carbonate. Polymer 2016, 97, 69–79. [Google Scholar] [CrossRef] [Green Version]
- Zhang, H.; Ma, X.; Lin, C.; Zhu, B. Gel polymer electrolyte based on PVDF/fluorinated amphiphilic copolymer blends for high performance lithium-ion batteries. RSC Adv. 2014, 4, 33713–33719. [Google Scholar] [CrossRef]
- Deng, F.; Wang, X.; He, D.; Hu, J.; Gong, C.; Ye, Y.S.; Xie, X.; Xue, Z. Microporous polymer electrolyte based on PVDF/PEO star polymer blends for lithium ion batteries. J. Membr. Sci. 2015, 491, 82–89. [Google Scholar] [CrossRef]
- Xiao, S.Y.; Yang, Y.Q.; Li, M.X.; Wang, F.X.; Chang, Z.; Wu, Y.P.; Liu, X. A composite membrane based on a biocompatible cellulose as a hostof gel polymer electrolyte for lithium ion batteries. J. Power Sources 2014, 270, 53–58. [Google Scholar] [CrossRef]
- Hosseinioun, A.; Nurnberg, P.; Schonho, M.; Diddens, D.; Paillard, E. Improved lithium ion dynamics in crosslinked PMMA gel polymer electrolyte. RSC Adv. 2019, 9, 27574–27582. [Google Scholar] [CrossRef] [Green Version]
- Garaga, M.N.; Jayakody, N.; Fraenza, C.C.; Itin, B.; Greenbaum, S. Molecular-level insights into structure and dynamics in ionic liquids and polymer gel electrolytes. J. Mol. Liq. 2021, 329, 115454. [Google Scholar] [CrossRef]
- Hu, P.; Zhao, J.; Wang, T.; Shang, C.; Zhang, J.; Qin, B.; Liu, Z.; Xiong, J.; Cui, G. A composite gel polymer electrolyte with high voltage cyclability for Ni-rich cathode of lithium-ion battery. Electrochem. Commun. 2015, 61, 32–35. [Google Scholar] [CrossRef]
- Simari, C.; Lufrano, E.; Coppola, L.; Nicotera, I. Composite Gel Polymer Electrolytes Based on Organo-Modified Nanoclays: Investigation on Lithium-Ion Transport and Mechanical Properties. Membranes 2018, 8, 69. [Google Scholar] [CrossRef] [Green Version]
- Rosenwinkel, M.P.; Schönhof, M. Polymer-Induced Inversion of the Li+ Drift Direction in Ionic Liquid-Based Ternary Polymer Electrolytes. Macromol. Chem. Phys. 2021, 2100320. [Google Scholar] [CrossRef]
- Wang, B.-H.; Xia, T.; Chen, Q.; Yao, Y.-F. Probing the Dynamics of Li+ Ions on the Crystal Surface: A Solid-State NMR Study. Polymers 2020, 12, 391. [Google Scholar] [CrossRef] [Green Version]
- Zheng, J.; Liu, X.; Duan, Y.; Chen, L.; Zhang, X.; Feng, X.; Chen, W.; Zhao, Y. Stable cross-linked gel terpolymer electrolyte containing methyl phosphonate for sodium ion batteries. J. Membr. Sci. 2019, 583, 163–170. [Google Scholar] [CrossRef]
- Marinin, A.A.; Khatmullina, K.G.; Volkov, V.I.; Yarmolenko, O.V. Self-Diffusion of Lithium Cations and Ionic Conductivity in Polymer Electrolytes Based on Polyesterdiacrylate. Russ. J. Electrochem. 2011, 47, 717–725. [Google Scholar] [CrossRef]
- Marinin, A.A.; Khatmullina, K.G.; Volkov, V.I.; Yarmolenko, O.V.; Zabrodin, V.A. Structures of Polymer Electrolytes Based on Polyester Diacrylate: An NMR Study. Russ. Chem. Bull. 2011, 60, 1096–1100. [Google Scholar] [CrossRef]
- Yarmolenko, O.V.; Khatmullina, K.G.; Kurmaz, S.V.; Baturina, A.A.; Bubnova, M.L.; Shuvalova, N.I.; Grachev, V.P.; Efimov, O.N. New lithium-conducting gel electrolytes containing superbranched polymers. Russ. J. Electrochem. 2013, 49, 252–258. [Google Scholar] [CrossRef]
- Verdier, N.; Lepage, D.; Zidani, R.; Prébé, A.; Aymé-Perrot, D.; Pellerin, C.; Dollé, M.; Rochefort, D. Crosslinked polyacrylonitrile-based elastomer used as gel polymer electrolyte in Li-ion battery. ACS Appl. Energy Mater. 2020, 3, 1099–1110. [Google Scholar] [CrossRef] [Green Version]
- Porthault, H.; Piana, G.; Duffault, J.M.; Franger, S. Influence of ionic interactions on lithium diffusion properties in ionic liquid-based gel polymer electrolytes. Electrochim. Acta 2020, 354, 136632. [Google Scholar] [CrossRef]
- Chernyak, A.V.; Yudina, A.V.; Yarmolenko, O.V.; Volkov, V.I. NMR Study of the Polyethylene Glycol Diacrylate-LiBF4-1-Butyl-3-Methylimidazolium Tetrafluoroborate-Propylene/Ethylene Carbonate Electrolyte System. Russ. J. Electrochem. 2015, 51, 478–482. [Google Scholar] [CrossRef]
- Yarmolenko, O.V.; Yudina, A.V.; Evshchik, E.Y.; Chernyak, A.V.; Marinin, A.A.; Volkov, V.I.; Kulova, T.L. New Network-Gel-Electrolytes Consisting of Polyethylene Glycol Diacrylate, LiBF4, and 1-Buthyl-3-Methylimidazolium Tetrafluoroborate, Added with Alkylene Carbonates: The Ion Transfer Mechanism and Properties. Russ. J. Electrochem. 2015, 51, 421–428. [Google Scholar] [CrossRef]
- Chernyak, A.V.; Berezin, M.P.; Slesarenko, N.A.; Zabrodin, V.A.; Volkov, V.I.; Yudina, A.V.; Shuvalova, N.I.; Yarmolenko, O.V. Influence of the Reticular Polymeric Gel-Electrolyte Structure on Ionic and Molecular Mobility of an Electrolyte System Salt-Ionic Liquid: LiBF4-1-Ethyl-3-Methylimidazolium Tetrafluoroborate. Russ. Chem. Bull. 2016, 65, 2053–2058. [Google Scholar] [CrossRef]
- Yarmolenko, O.V.; Yudina, A.V.; Ignatova, A.A.; Shuvalova, N.I.; Martynenko, V.M.; Bogdanova, L.M.; Chernyak, A.V.; Zabrodin, V.A.; Volkov, V.I. New Polymer Electrolytes Based on Polyethylene Glycol Diacrylate–LiBF4–1-Ethyl-3-Methylimidazolium Tetrafluoroborate with the Introduction of Alkylene Carbonates. Russ. Chem. Bull. 2015, 64, 2505–2511. [Google Scholar] [CrossRef]
- Yarmolenko, O.V. New Polymer Electrolytes Modified with Crown-Ethers for Lithium Power Sources. Ph.D. Thesis, The Institute of Physical Chemistry and Electrochemistry RAS (IPCE RAS), Moscow, Russia, 17 April 2012. [Google Scholar]
- Zheng, J.; Hu, Y.-Y. New Insights into the Compositional Dependence of Li-Ion Transport in Polymer-Ceramic Composite Electrolytes. ACS Appl. Mater. Interfaces 2018, 10, 4113–4120. [Google Scholar] [CrossRef]
- Yarmolenko, O.V.; Khatmullina, K.G.; Baimuratova, G.R.; Tulibaeva, G.Z.; Bogdanova, L.M.; Shestakov, A.F. On the Nature of the Double Maximum Conductivity of Nanocomposite Polymer Electrolytes for Lithium Power Sources. Mendeleev Comm. 2018, 28, 41–43. [Google Scholar] [CrossRef]
- Baymuratova, G.R.; Chernyak, A.V.; Slesarenko, A.A.; Tulibaeva, G.Z.; Volkov, V.I.; Yarmolenko, O.V. Specific Features of Ion Transport in New Nanocomposite Gel Electrolytes Based on Cross-Linked Polymers and Silica Nanoparicles. Russ. J. Electrochem. 2019, 55, 529–536. [Google Scholar] [CrossRef]
- Liu, X.; Li, X.; Li, H.; Wu, H.B. Recent Progress of Hybrid Solid-State Electrolytes for Lithium Batteries. Chem. Eur. J. 2018, 24, 18293–18306. [Google Scholar] [CrossRef] [PubMed]
- Li, Y.; Xu, B.; Xu, H.; Duan, H.; Lü, X.; Xin, S.; Zhou, W.; Xue, L.; Fu, G.; Manthiram, A.; et al. Hybrid Polymer/Garnet Electrolyte with a Small Interfacial Resistance for Lithium-Ion Batteries. Angew. Chem. Int. Ed. 2017, 56, 753–756. [Google Scholar] [CrossRef]
- Polu, A.R.; Rhee, H.-W. Nanocomposite solid polymer electrolytes based on poly(ethylene oxide)/POSS-PEG (n=13.3) hybrid nanoparticles for lithium ion batteries. J. Ind. Eng. Chem. 2015, 31, 323–329. [Google Scholar] [CrossRef]
- Zhang, J.; Li, X.; Li, Y.; Wang, H.; Ma, C.; Wang, Y.; Hu, S.; Wei, W. Cross-Linked Nanohybrid Polymer Electrolytes with POSS Cross-Linker for Solid-State Lithium Ion Batteries. Front. Chem. 2018, 6, 186–196. [Google Scholar] [CrossRef] [PubMed]
- Zhu, Y.; Xiao, S.; Shi, Y.; Yang, Y.; Hou, Y.; Wu, Y. A composite gel polymer electrolyte with high performance based on poly(vinylidene fluoride) and polyborate for lithium ion batteries. Adv. Energy Mater. 2014, 4, 1300647–1300656. [Google Scholar] [CrossRef]
- Tan, X.; Wu, Y.; Tang, W.; Song, S.; Yao, J.; Wen, Z.; Lu, L.; Savilov, S.V.; Hu, N.; Molenda, J. Preparation of Nanocomposite Polymer Electrolyte via In Situ Synthesis of SiO2 Nanoparticles in PEO. Nanomaterials 2020, 10, 157. [Google Scholar] [CrossRef] [Green Version]
- Menkin, S.; Lifshitz, M.; Haimovich, A.; Goor, M.; Blanga, R.; Greenbaum, S.G.; Goldbourt, A.; Golodnitsky, D. Evaluation of ion-transport in composite polymer-in-ceramic electrolytes. Case study of active and inert ceramics. Electrochim. Acta 2019, 304, 447–455. [Google Scholar] [CrossRef]
- Wu, N.; Chien, P.-H.; Qian, Y.; Li, Y.; Xu, H.; Grundish, N.S.; Xu, B.; Jin, H.; Hu, Y.-Y.; Yu, G.; et al. Enhanced Surface Interactions Enable Fast Li+ Conduction in Oxide/Polymer Composite Electrolyte. Angew. Chem. Int. Ed. 2020, 59, 4131–4137. [Google Scholar] [CrossRef]
- Wang, Z.; Wang, S.; Wang, A.; Liu, X.; Chen, J.; Zeng, Q.; Zhang, L.; Liu, W.; Zhang, L. Covalently linked metal–organic framework (MOF)-polymer all-solid-state electrolyte membranes for room temperature high performance lithium batteries. J. Mater. Chem. A 2018, 6, 17227–17234. [Google Scholar] [CrossRef]
- Hu, J.; Wang, W.; Zhou, B.; Feng, Y.; Xie, X.; Xue, Z. Poly(ethylene oxide)-based composite polymer electrolytes embedding with ionic bond modified nanoparticles for all-solid-state lithium-ion battery. J. Membr. Sci. 2019, 575, 200–208. [Google Scholar] [CrossRef]
- Yang, H.; Bright, J.; Chen, B.; Zheng, P.; Gao, X.; Liu, B.; Kasani, S.; Zhang, X.; Wu, N. Chemical interaction and enhanced interfacial ion transport in a ceramic nanofiber–polymer composite electrolyte for all-solid-state lithium metal batteries. J. Mater. Chem. A 2020, 8, 7261. [Google Scholar] [CrossRef]
- Al-Salih, H.; Huang, A.; Yim, C.-H.; Freytag, A.I.; Goward, G.R.; Baranova, E.; Abu-Lebdeh, Y. A Polymer-Rich Quaternary Composite Solid Electrolyte for Lithium Batteries. J. Electrochem. Soc. 2020, 167, 70557. [Google Scholar] [CrossRef]
- Banitaba, S.N.; Semnani, D.; Heydari-Soureshjani, E.; Rezaei, B.; Ensafi, A.A. Electrospun Core-shell Nanofibers Based on Polyethylene Oxide Reinforced by Multiwalled Carbon Nanotube and Silicon Dioxide Nanofillers: A Novel and Effective Solvent-free Electrolyte for Lithium Ion Batteries. Int. J. Energy Res. 2020, 44, 7000–7014. [Google Scholar] [CrossRef]
- Klongkan, S.; Pumchusak, J. Effects of Nano Alumina and Plasticizers on Morphology, Ionic Conductivity, Thermal and Mechanical Properties of PEO-LiCF3SO3 Solid Polymer Electrolyte. Electrochim. Acta 2015, 161, 171–176. [Google Scholar] [CrossRef]
- Carbone, L.; Gobet, M.; Peng, J.; Devany, M.; Scrosati, B.; Greenbaum, S.; Hassoun, J. Polyethylene glycol dimethyl ether (PEGDME)-based electrolyte for lithium metal battery. J. Power Sources 2015, 299, 460–464. [Google Scholar] [CrossRef] [Green Version]
- Rathod, S.G.; Bhajantri, R.F.; Ravindrachary, V.; Sheela, T.; Pujari, P.K.; Naik, J.; Poojary, B. Pressure Sensitive Dielectric Properties of TiO2 Doped PVA/CN-Li Nanocomposite. J. Polym. Res. 2015, 22, 6. [Google Scholar] [CrossRef]
- Wu, J.; Zuo, X.; Chen, Q.; Deng, X.; Liang, H.; Zhu, T.; Liu, J.; Li, W.; Nan, J. Functional Composite Polymer Electrolytes with Imidazole Modified SiO2 Nanoparticles for High-Voltage Cathode Lithium Ion Batteries. Electrochim. Acta 2019, 320, 134567. [Google Scholar] [CrossRef]
- Bose, P.; Deb, D.; Bhattacharya, S. Lithium-polymer battery with ionic liquid tethered nanoparticles incorporated (PVDF-HFP) nanocomposite gel polymer electrolyte. Electrochim. Acta 2019, 319, 753–765. [Google Scholar] [CrossRef]
- Verma, H.; Mishra, K.; Rai, D.K. Sodium ion conducting nanocomposite polymer electrolyte membrane for sodium ion batteries. J. Solid State Electrochem. 2020, 24, 521–532. [Google Scholar] [CrossRef]
- Kumar, D.; Suleman, M.; Hashmi, S.A. Studies on Poly(Vinylidene Fluoride-Co-Hexafluoropropylene) Based Gel Electrolyte Nanocomposite for Sodium–Sulfur Batteries. Solid State Ionics 2011, 202, 45–53. [Google Scholar] [CrossRef]
- Mishra, K.; Rai, D.K. Studies on Ionic Liquid Based Nanocomposite Gel Polymer Electrolyte and Its Application in Sodium Battery. Mater. Sci. Eng. B 2021, 267, 115098. [Google Scholar] [CrossRef]
- Pradeepa, P.; Edwinraj, S.; Ramesh Prabhu, M. Effects of Ceramic Filler in Poly(Vinyl Chloride)/Poly(Ethyl Methacrylate) Based Polymer Blend Electrolytes. Chin. Chem. Lett. 2015, 26, 1191–1196. [Google Scholar] [CrossRef]
- Tang, S.; Lan, Q.; Xu, L.; Liang, J.; Lou, P.; Liu, C.; Mai, L.; Cao, Y.-C.; Cheng, S. A Novel Cross-Linked Nanocomposite Solid-State Electrolyte with Super Flexibility and Performance for Lithium Metal Battery. Nano Energy 2020, 71, 104600. [Google Scholar] [CrossRef]
- Xie, H.; Liao, Y.; Sun, P.; Chen, T.; Rao, M.; Li, W. Investigation on Polyethylene-Supported and Nano-SiO2 Doped Poly(Methyl Methacrylate-Co-Butyl Acrylate) Based Gel Polymer Electrolyte for High Voltage Lithium Ion Battery. Electrochim. Acta 2014, 127, 327–333. [Google Scholar] [CrossRef]
- Pal, P.; Ghosh, A. Influence of TiO2 nano-particles on charge carrier transport and cell performance of PMMA-LiClO4 based nano-composite electrolytes. Electrochim. Acta. 2017, 260, 157–167. [Google Scholar] [CrossRef]
- Yarmolenko, O.V.; Khatmullina, K.G.; Bogdanova, L.M.; Shuvalova, N.I.; Dzhavadyan, E.A.; Marinin, A.A.; Volkov, V.I. Effect of TiO2 Nanoparticle Additions on the Conductivity of Network Polymer Electrolytes for Lithium Power Sources. Russ. J. Electrochem. 2014, 50, 336–344. [Google Scholar] [CrossRef]
- Yarmolenko, O.V.; Yudina, A.V.; Marinin, A.A.; Chernyak, A.V.; Volkov, V.I.; Shuvalova, N.I.; Shestakov, A.F. Nanocomposite Network Polymer Gel-Electrolytes: TiO2- and Li2TiO3-Nanoparticle Effects on Their Structure and Properties. Russ. J. Electrochem. 2015, 51, 412–420. [Google Scholar] [CrossRef]
- Lee, T.K.; Andersson, R.; Dzulkurnain, N.A.; Hernández, G.; Mindemark, J.; Brandell, D. Polyester-ZrO2 Nanocomposite Electrolytes with High Li Transference Numbers for Ambient Temperature All-Solid-State Lithium Batteries. Batter. Supercaps 2021, 4, 653–662. [Google Scholar] [CrossRef]
- Yudina, A.V.; Berezin, M.P.; Baymuratova, G.R.; Shuvalova, N.I.; Yarmolenko, O.V. Specific features of the synthesis and the physicochemical properties of nanocomposite polymer electrolytes based on poly(ethylene glycol) diacrylate with the introduction of SiO2. Russ. Chem. Bull. 2017, 66, 1278–1283. [Google Scholar] [CrossRef]
- Kumar, V.; Reddy, R.R.; Kumar, B.V.N.P.; Avadhani, C.V.; Ganapathy, S.; Chandrakumar, N.; Sivaram, S. Lithium Speciation in the LiPF6/PC Electrolyte Studied by Two-Dimensional Heteronuclear Overhauser Enhancement and Pulse-Field Gradient Diffusometry NMR. J. Phys. Chem. C 2019, 123, 9661–9672. [Google Scholar] [CrossRef]
- Messinger, R.J.; Vu Huynh, T.; Bouchet, R.; Sarou-Kanian, V.; Deschamps, M. Magic-Angle-Spinning-Induced Local Ordering in Polymer Electrolytes and Its Effects on Solid-State Diffusion and Relaxation NMR Measurements. Magn. Reson. Chem. 2020, 58, 1118–1129. [Google Scholar] [CrossRef] [PubMed]
- Peng, J.; Xiao, Y.; Clarkson, D.A.; Greenbaum, S.G.; Zawodzinski, T.A.; Chen, X.C. A Nuclear Magnetic Resonance Study of Cation and Anion Dynamics in Polymer-Ceramic Composite Solid Electrolytes. ACS Appl. Polym. Mater. 2020, 2, 1180–1189. [Google Scholar] [CrossRef]
- Takekawa, R.; Kawamura, J. Measurement of the Diffusion of Multiple Nuclei in Restricted Spaces by Pulsed Field Gradient NMR. J. Magn. Reson. 2021, 326, 106958. [Google Scholar] [CrossRef]
- Stöffler, H.; Zinkevich, T.; Yavuz, M.; Hansen, A.-L.; Knapp, M.; Bednarčík, J.; Randau, S.; Richter, F.H.; Janek, J.; Ehrenberg, H.; et al. Amorphous versus Crystalline Li3PS4: Local Structural Changes during Synthesis and Li Ion Mobility. J. Phys. Chem. C 2019, 123, 10280–10290. [Google Scholar] [CrossRef]
- Tambio, S.J.; Deschamps, M.; Sarou-Kanian, V.; Etiemble, A.; Douillard, T.; Maire, E.; Lestriez, B. Self-Diffusion of Electrolyte Species in Model Battery Electrodes Using Magic Angle Spinning and Pulsed Field Gradient Nuclear Magnetic Resonance. J. Power Sources 2017, 362, 315–322. [Google Scholar] [CrossRef]
- Tominaga, Y.; Yamazaki, K. Fast Li-Ion Conduction in Poly(Ethylene Carbonate)-Based Electrolytes and Composites Filled with TiO2 Nanoparticles. Chem. Commun. 2014, 50, 4448–4450. [Google Scholar] [CrossRef]
- Wang, Y.; Chen, W.; Zhao, Q.; Jin, G.; Xue, Z.; Wang, Y.; Mu, T. Ionicity of Deep Eutectic Solvents by Walden Plot and Pulsed Field Gradient Nuclear Magnetic Resonance (PFG-NMR). Phys. Chem. Chem. Phys. 2020, 22, 25760–25768. [Google Scholar] [CrossRef]
- Xiang, Y.-X.; Zheng, G.; Zhong, G.; Wang, D.; Fu, R.; Yang, Y. Toward Understanding of Ion Dynamics in Highly Conductive Lithium Ion Conductors: Some Perspectives by Solid State NMR Techniques. Solid State Ionics 2018, 318, 19–26. [Google Scholar] [CrossRef]
- Zettl, R.; Gombotz, M.; Clarkson, D.; Greenbaum, S.G.; Ngene, P.; de Jongh, P.E.; Wilkening, H.M.R. Li-Ion Diffusion in Nanoconfined LiBH4-LiI/Al2O3: From 2D Bulk Transport to 3D Long-Range Interfacial Dynamics. ACS Appl. Mater. Interfaces 2020, 12, 38570–38583. [Google Scholar] [CrossRef] [PubMed]
- Sata, N.; Eberman, K.; Eberl, K.; Maier, J. Mesoscopic Fast Ion Conduction in Nanometre-Scale Planar Heterostructures. Nature 2000, 408, 946–949. [Google Scholar] [CrossRef] [PubMed]
- Maier, J. Nanoionics: Ion Transport and Electrochemical Storage in Confined Systems. Nat. Mater. 2005, 4, 805–815. [Google Scholar] [CrossRef]
- Daigle, J.-C.; Arnold, A.; Vijh, A.; Zaghib, K. Solid-State NMR Study of New Copolymers as Solid Polymer Electrolytes. Magnetochemistry 2018, 4, 13. [Google Scholar] [CrossRef] [Green Version]
- Foran, G.; Verdier, N.; Lepage, D.; Malveau, C.; Dupré, N.; Dollé, M. Use of Solid-State NMR Spectroscopy for the Characterization of Molecular Structure and Dynamics in Solid Polymer and Hybrid Electrolytes. Polymers 2021, 13, 1207. [Google Scholar] [CrossRef] [PubMed]
- Ranque, P.; Zagórski, J.; Devaraj, S.; Aguesse, F.; López del Amo, J.M. Characterization of the Interfacial Li-Ion Exchange Process in a Ceramic-Polymer Composite by Solid State NMR. J. Mater. Chem. A 2021, 9, 17812–17820. [Google Scholar] [CrossRef]
- López, I.; Morey, J.; Ledeuil, J.B.; Madec, L.; Martinez, H. A Critical Discussion on the Analysis of Buried Interfaces in Li Solid-State Batteries. Ex Situ and in Situ/Operando Studies. J. Mater. Chem. A 2021, 9, 25341–25368. [Google Scholar] [CrossRef]
- O’Donnell, L.F.; Greenbaum, S.G. Review of Multivalent Metal Ion Transport in Inorganic and Solid Polymer Electrolytes. Batteries 2020, 7, 3. [Google Scholar] [CrossRef]
- Becher, M.; Becker, S.; Hecht, L.; Voge, M. From Local to Diffusive Dynamics in Polymer Electrolytes: NMR Studies on Coupling of Polymer and Ion Dynamics across Length and Time Scales. Macromolecules 2019, 52, 9128–9139. [Google Scholar] [CrossRef]
- Pipertzis, A.; Papamokos, G.; Sachnik, O.; Allard, S.; Scherf, U.; Floudas, G. Ionic Conductivity in Polyfluorene-Based Diblock Copolymers Comprising Nanodomains of a Polymerized Ionic Liquid and a Solid Polymer Electrolyte Doped with LiTFSI. Macromolecules 2021, 54, 4257–4268. [Google Scholar] [CrossRef]
- Fu, X.-B.; Yang, G.; Wu, J.-Z.; Wang, J.-C.; Chen, Q.; Yao, Y.-F. Fast Lithium-Ion Transportation in Crystalline Polymer Electrolytes. Chem. Phys. Chem. 2018, 19, 45–50. [Google Scholar] [CrossRef] [PubMed]
- Chua, S.; Fang, R.; Sun, Z.; Wu, M.; Gu, Z.; Wang, Y.; Hart, J.N.; Sharma, N.; Li, F.; Wang, D. Hybrid Solid Polymer Electrolytes with Two-Dimensional Inorganic Nanofillers. Chem. Eur. J. 2018, 24, 18180–18203. [Google Scholar] [CrossRef]
- Meabe, L.; Huynh, T.V.; Lago, N.; Sardon, H.; Li, C.; O’Dell, L.A.; Armand, M.; Forsyth, M.; Mecerreyes, D. Poly(Ethylene Oxide Carbonates) Solid Polymer Electrolytes for Lithium Batteries. Electrochim. Acta 2018, 264, 367–375. [Google Scholar] [CrossRef]
- Mukbaniani, O.; Aneli, J.; Tatrishvili, T.; Markarashvili, E. Solid Polymer Electrolyte Membranes on the Basis of Fluorosiloxane Matrix. Chemistry 2021, 15, 198–204. [Google Scholar] [CrossRef]
- Azzahari, A.D.; Selvanathan, V.; Rizwan, M.; Sonsudin, F.; Yahya, R. Conductivity or rheology? Tradeoff for competing properties in the fabrication of a gel polymer electrolyte based on chitosan-barbiturate derivative. Ionics 2018, 24, 3015–3025. [Google Scholar] [CrossRef]
- Volkov, V.I.; Marinin, A.A. NMR Methods for Studying Ion and Molecular Transport in Polymer Electrolytes. Russ. Chem. Rev. 2013, 82, 248–272. [Google Scholar] [CrossRef]
- Lysak, D.A.; Marinin, A.A.; Dzhimak, S.S. Investigating the Nuclear Magnetic Resonance of the Structure of Electrolyte Based on a LiClO4-Ethylene Carbonate Solution. Bull. Russ. Acad. Sci. Phys. 2011, 75, 1668–1670. [Google Scholar] [CrossRef]
- Tulibaeva, G.Z.; Shestakov, A.F.; Volkov, V.I.; Yarmolenko, O.V. Structure of LiBF4 Solvate Complexes in Ethylene Carbonate, Based on High-Resolution NMR and Quantum-Chemical Data. Russ. J. Phys. Chem. 2018, 92, 749–755. [Google Scholar] [CrossRef]
- Saikia, D.; Chen-Yang, Y.W.; Chen, Y.T.; Li, Y.K.; Lin, S.I. 7Li NMR Spectroscopy and Ion Conduction Mechanism of Composite Gel Polymer Electrolyte: A Comparative Study with Variation of Salt and Plasticizer with Filler. Electrochim. Acta 2009, 54, 1218–1227. [Google Scholar] [CrossRef]
- Kao, H.-M.; Chang, P.-C.; Chao, S.-W.; Lee, C.-H. 7Li NMR, Ionic Conductivity and Self-Diffusion Coefficients of Lithium Ion and Solvent of Plasticized Organic–Inorganic Hybrid Electrolyte Based on PPG-PEG-PPG Diamine and Alkoxysilanes. Electrochim. Acta 2006, 52, 1015–1027. [Google Scholar] [CrossRef]
- Mustarelli, P.; Quartarone, E.; Capiglia, C.; Tomasi, C.; Ferloni, P.; Magistris, A. Host–Guest Interactions in Fluorinated Polymer Electrolytes: A 7Li-13C NMR Study. J. Chem. Phys. 1999, 111, 3761–3768. [Google Scholar] [CrossRef]
- Licoccia, S.; Trombetta, M.; Capitani, D.; Proietti, N.; Romagnoli, P.; Di Vona, M.L. ATR–FTIR and NMR Spectroscopic Studies on the Structure of Polymeric Gel Electrolytes for Biomedical Applications. Polymer 2005, 46, 4670–4675. [Google Scholar] [CrossRef]
- Volkov, V.I.; Chernyak, A.V.; Avilova, I.A.; Slesarenko, N.A.; Melnikova, D.L.; Skirda, V.D. Molecular and Ionic Diffusion in Ion Exchange Membranes and Biological Systems (Cells and Proteins) Studied by NMR. Membranes 2021, 11, 385. [Google Scholar] [CrossRef]
- Yarmolenko, O.V.; Khatmullina, K.G.; Tulibaeva, G.Z.; Bogdanova, L.M.; Shestakov, A.F. Polymer Electrolytes Based on Poly(Ester Diacrylate), Ethylene Carbonate, and LiClO4: A Relationship of the Conductivity and Structure of the Polymer According to IR Spectroscopy and Quantum Chemical Modeling Data. Russ. Chem. Bull. 2012, 61, 539–548. [Google Scholar] [CrossRef]
- Tulibaeva, G.Z.; Chernyak, A.V.; Shestakov, A.F.; Volkov, V.I.; Yarmolenko, O.V. Solvation Environment of Lithium Ion in a LiBF4–Propylene Carbonate System in the Presence of 1-Ethyl-3-Methylimidazolium Tetrafluoroborate Ionic Liquid Studied by NMR and Quantum Chemical Modeling. Russ. Chem. Bull. 2016, 65, 1727–1733. [Google Scholar] [CrossRef]
- Nkosi, F.P.; Valvo, M.; Mindemark, J.; Dzulkurnain, N.A.; Hernández, G.; Mahun, A.; Abbrent, S.; Brus, J.; Kobera, L.; Edström, K. Garnet-Poly(ε-Caprolactone-Co-Trimethylene Carbonate) Polymer-in-Ceramic Composite Electrolyte for All-Solid-State Lithium-Ion Batteries. ACS Appl. Energy Mater. 2021, 4, 2531–2542. [Google Scholar] [CrossRef]
- Popovic, J.; Brandell, D.; Ohno, S.; Hatzell, K.B.; Zheng, J.; Hu, Y.-Y. Polymer-Based Hybrid Battery Electrolytes: Theoretical Insights, Recent Advances and Challenges. J. Mater. Chem. A 2021, 9, 6050–6069. [Google Scholar] [CrossRef]
- Mabuchi, T.; Nakajima, K.; Tokumasu, T. Molecular Dynamics Study of Ion Transport in Polymer Electrolytes of All-Solid-State Li-Ion Batteries. Micromachines 2021, 12, 1012. [Google Scholar] [CrossRef]
- Bedrov, D.; Piquemal, J.-P.; Borodin, O.; MacKerell, A.D.; Benoît, R.; Schröder, C. Molecular Dynamics Simulations of Ionic Liquids and Electrolytes Using Polarizable Force Fields. Chem. Rev. 2019, 119, 7940–7995. [Google Scholar] [CrossRef] [Green Version]
- Nilsson, V.; Bernin, D.; Brandell, D.; Edström, K.; Johansson, P. Interactions and Transport in Highly Concentrated LiTFSI-based Electrolytes. Chem. Phys. Chem. 2020, 21, 1166–1176. [Google Scholar] [CrossRef]
- Morales, D.; Ruther, R.E.; Nanda, J.; Greenbaum, S. Ion Transport and Association Study of Glyme-Based Electrolytes with Lithium and Sodium Salts. Electrochim. Acta 2019, 304, 239–245. [Google Scholar] [CrossRef]
- Carbone, L.; Munoz, S.; Gobet, M.; Devany, M.; Greenbaum, S.; Hassoun, J. Characteristics of Glyme Electrolytes for Sodium Battery: Nuclear Magnetic Resonance and Electrochemical Study. Electrochim. Acta 2017, 231, 223–229. [Google Scholar] [CrossRef]
- Konefał, R.; Morávková, Z.; Paruzel, B.; Patsula, V.; Abbrent, S.; Szutkowski, K.; Jurga, S. Effect of PAMAM Dendrimers on Interactions and Transport of LiTFSI and NaTFSI in Propylene Carbonate-Based Electrolytes. Polymers 2020, 12, 1595. [Google Scholar] [CrossRef] [PubMed]




































| № | Polymer | Salt | σ, S/cm(Troom) | Ref. |
|---|---|---|---|---|
| 1 | PEO | LiPF6 | 10−5 | [28] |
| 2 | Poly(ethylene oxide carbonate) | LiTFSI | 7.4 × 10−4 | [29] |
| 3 | Allil-PEO/Allil-Gallic acid | LiTFSI | 4 × 10−4 at 60 °C | [30] |
| 4 | Polypropylene carbonate—PEO | LiTFSI | 2 × 10−5 | [31] |
| 5 | Crosslinked poly(tetrahydrofuran) | LiTFSI | 1.2 × 10−4 | [32] |
| 6 | PEG DA | LiClO4 | 3.5 × 10−6 at 60 °C | [24] |
| 7 | PEG MA | LiTFSI | 2.13 × 10−4 | [25] |
| 8 | Polyglycidyl MA-PEG | LiTFSI | 2.1 × 10−5 | [26] |
| 9 | PEG-DA-co-PEG MA | LiClO4 | 10−5 | [27] |
| 10 | Polystyrene-b-PEO | LiTFSI | 2.4 × 10−4 | [33] |
| 11 | Cyclodextrin/PEO | LiTFSI | 2.44 × 10−6 | [34] |
| № | Polymer | Electrolyte Composition | σ, S/cm (Troom) | E, V | Ref. |
|---|---|---|---|---|---|
| 1 | PVDF-HFP | LiBF4 in EC | 1.7 × 10−3 | - | [35] |
| PVDF-HFP | LiBF4 in GBL | 2.5 × 10−3 | 5.5 | [36] | |
| 2 | PVDF-HFP | LiPF6 in EC/DMC | 3 × 10−3 | - | [37] |
| 3 | c-PPO 1 | 0.8 × 10−3 | |||
| 4 | PBO 2 | 2 × 10−3 | |||
| 5 | PVDF-HFP | NaClO4 in EC/DMC/DEC | 0.6 × 10−3 | 4.6 | [38] |
| 6 | PVDF-HFP | LiPF6 in isobutyronitrile | 17.2 × 10−3 | - | [39] |
| 7 | LiTFSI in isobutyronitrile | 10.8 × 10−3 | |||
| 8 | LiPF6 in PC | 4 × 10−3 | |||
| 9 | LiTFSI in PC | 5 × 10−3 | |||
| 10 | PVDF-HFP | LiPF6 in EC/DMC [Pyr14] 3 PF6 | 1.6 × 10−3 | - | [40] |
| 11 | PE/PP/PVDF | LiPF6 in EC/DMC/EMC | 3 × 10−4 | 4.8 | [41] |
| 12 | PVDF | LiBF4 in PC | 10−4 | - | [42] |
| 13 | PVS 4/PVDF | LiTFSI in EC/PC | 1.74 × 10−3 | 4.1 | [43] |
| 14 | PVDF/PEO | LiClO4 in EC/PC | 3.03 × 10−3 | 5.0 | [44] |
| 15 | PVDF/methylcellulose/PVDF | LiPF6 in EC/DEM/EMC | 1.5 × 10−3 | - | [45] |
| 16 | PMMA | LiTFSI/LiBOB 5 in EC/PC | 1.33 × 10−3 | - | [46] |
| 17 | PMMA | Li[P4441] 6 [TFSI] Li[N4441] 7 [TFSI] | 10−4 | - | [47] |
| 18 | PECA/PET 8 | LiPF6 in EC/DMC | 2.54 × 10−3 | 4.7 | [48] |
| 19 | PAN/PEO | LiTf in EC/PC | 10−3 | - | [49] |
| 20 | PEO | LiTFSI in Pyr14TFSI | 10−4 | - | [50] |
| 21 | PEO | LiTf in pentyl acetate | 10−5 | - | [51] |
| 22 | MATEMP 9 | NaClO4 in EC/PC | 5.13 × 10−3 | 5 | [52] |
| 23 | PEDA | LiClO4 in EC | 7.5 × 10−4 | 7 | [53,54] |
| 24 | HBP 10 | LiClO4 in PC | 9 × 10−4 | - | [55] |
| 25 | PAN elastomer | LiTFSI in PC | 3.5 × 10−3 | - | [56] |
| 26 | PEG-MA/BEMA 11 | LiTFSI in Pyr13TFSI 12 | 2.5 × 10−3 | [57] | |
| 27 | PEG-DA | LiBF4 in EC/PC/BMIBF4 13 | 2.5 × 10−3 | - | [58,59,60,61,62,63,64,65,66,67,68,69,70,71,72,73,74,75,76,77,78,79,80,81,82,83,84,85,86,87,88,89] |
| 30 | PEG-DA | LiBF4 in EC/PC/EMIBF4 14 | 4 × 10−3 | - | [60,61] |
| № | Polymer | Electrolyte Composition | Nanoparticle | Conductivity, S/cm at T298K | Ref. |
|---|---|---|---|---|---|
| 1 | PEO | LiClO4 | SiO2 | 1.1 × 10−4 | [71] |
| 2 | PEO | LiI | LiAlO2 | 0.6 × 10−3 | [72] |
| 3 | PEO | LiTFSI | Gd0.1Ce0.9O1.95 | 1.9 × 10−4 | [73] |
| 4 | PEO | LiTFSI | perovskite La0.8Sr0.2Ga0.8Mg0.2O2.55 | 1.3 × 10−4 | [73] |
| 5 | PEG-DA | LiTFSI | ZrCl4 | 8 × 10−6 | [74] |
| 6 | PEG MA—PEG DA | LiClO4 | SiO2 | 3.8 × 10−5 | [75] |
| 7 | PVDF-HFP | LiTFSI | Li0.33La0.557TiO3/Li3PO4 | 5.1 × 10−4 | [76] |
| 8 | PEO | LiTFSI, succinonitrile | Li0.33La0.557TiO3 | 10−3 | [77] |
| 9 | PEO | LiClO4 in EC | SiO2 | 0.2 × 10−3 | [78] |
| 10 | PEO/PEG | LiCF3SO3, dioxyphthalate | Al2O3 | 7.6 × 10−4 | [79] |
| 11 | PEG500 | LiCF3SO3, DME | LiNO3, TiO2 | 1 × 10−3 | [80] |
| 12 | PVA 1/chitosan | LiClO4 | TiO2 | 2.5 × 10−3 | [81] |
| 13 | PVDF-HFP | LiPF6 in EC/DEC | SiO2 | 0.6 × 10−3 | [82] |
| 14 | PVDF-HFP | LiBF4 in GBL | SiO2 | 3.7 × 10−3 | [36] |
| 15 | PVDF-HFP | LiTFSI in EC/DMC | ZnS | 3.3 × 10−3 | [83] |
| 16 | PVDF-HFP | NaPF6 in EC/PC | TiO2 | 1.3 × 10−3 | [84] |
| 17 | PVDF-HFP | NaTf in EC/PC | SiO2 | 4 × 10−3 | [85] |
| 18 | PVDF-HFP | NaCF3SO3/BMICF3SO3 3 | TiO2 | 0.4 × 10−3 | [86] |
| 19 | PVC/PEMA 2 | LiClO4 in PC | TiO2 | 7.1 × 10−3 | [87] |
| 20 | PPO-PEO-PPO 4 | LiTFSI in EC/DMC | SiO2 | 1.32 × 10−3 | [88] |
| 21 | P(MMA-co-BA)/PE 5 | 1M LiPF6 in EC/DMC | SiO2 | 2.26 × 10−3 | [89] |
| 22 | PMMA | LiClO4 in PC | TiO2 | 3 × 10−4 | [90] |
| 23 | PEDA | LiClO4 in EC | TiO2 | 1.8 × 10−3 | [91,92] |
| 24 | PEDA | LiClO4 in EC | Li2TiO3 | 7 × 10−4 | [92,93] |
| 25 | Polyester-polycarbonate | LiTFSI | ZrO2 | ~10−3 | [93] |
| 26 | PEG-DA | LiBF4 in GBL | SiO2 | 4.3 × 10−3 | [94] |
| PGE Composition No. | PGE Starting Components, wt % | |||
|---|---|---|---|---|
| PEDA | EC | LiClO4 | Benzoyl Peroxide | |
| 1 | 90.5 | - | 8.1 | 1.4 |
| 2 | 86.6 | 4.3 | 7.8 | 1.3 |
| 3 | 82.9 | 8.3 | 7.5 | 1.3 |
| 4 | 79.7 | 12.0 | 7.1 | 1.2 |
| 5 | 73.8 | 18.4 | 6.7 | 1.1 |
| 6 | 68.7 | 24.0 | 6.3 | 1.0 |
| 7 | 54.6 | 36.4 | 7.6 | 1.4 |
| 8 | 45.6 | 45.5 | 7.5 | 1.4 |
| 9 | 36.5 | 54.8 | 7.3 | 1.4 |
| PGE Composition No. | [EC], wt % | [Li+]: [EC] in PGE | DLi, cm2/s (30 °C) | σNMR, S/cm (30 °C) | Ea(σsp), kJ/mol | Ea of Self-Diffusion, kJ/mol | |
|---|---|---|---|---|---|---|---|
| 20–50 °C | 60–90 °C | 50–80 °C | |||||
| 1 | - | 1:0 | 62.3 ± 1.7 | 48.7 ± 3.3 | 63.6 | ||
| 2 | 4.3 | 1.5:1 | 8.3 × 10−9 | 4.42 × 10−5 | 81.8 ± 2.2 | 57.7 ± 4.2 | 55.9 |
| 3 | 8.3 | 1:1.4 | 7.4 × 10−9 | 3.70 × 10−5 | 72.1 ± 0.4 | 50.7 ± 2.6 | 50.7 |
| 5 | 18.4 | 1:3.4 | 1.8 × 10−8 | 7.71 × 10−5 | 47.3 ± 3.0 | 33.0 ± 1.2 | 42.8 |
| 6 | 24.0 | 1:4.7 | 2.5 × 10−8 | 9.75 × 10−5 | 45.9 ± 1.4 | 28.3 ± 1.5 | 40.4 |
| 7 | 36.4 | 1:5.8 | 1.4 × 10−7 | 6.41 × 10−4 | 26.6 ± 2.1 | 12.0 ± 1.8 | 30.0 |
| 9 | 54.8 | 1:9.0 | 2.3 × 10−7 | 9.59 × 10−4 | 20.9 ± 0.9 | 9.9 ± 0.3 | 28.5 |
| No. | Ratio of PE Components, mol | σ/S·cm−1 (20 °C) | D1 m2/s | p1 | D2, m2/s | p2 | ||||
|---|---|---|---|---|---|---|---|---|---|---|
| PEG DA | LiBF4 | BMIBF4 | PC | EC | ||||||
| 1 | 1 | 1 | 1 | – | – | 2.9 × 10−6 | - | - | - | - |
| 2 | 1 | 1 | 2.5 | – | – | 2.4 × 10−5 | 4.5 × 10−12 | 1 | - | - |
| 3 | 1 | 1 | 6.5 | – | – | 1.4 × 10−4 | 4.8 × 10−12 | 1 | - | - |
| 4 | 1 | 1 | 2.5 | 2.2 | 2.4 × 10−4 | 4.5 × 10−13 | 0.76 | 2.2 × 10−11 | 0.24 | |
| 5 | 1 | 1 | 2.5 | 3.5 | 6.9 × 10−4 | 1.7 × 10−12 | 0.89 | 5.7 × 10−11 | 0.11 | |
| 6 | 1 | 1 | 2.5 | 5.6 | 8.5 × 10−4 | 2.1 × 10−13 | 0.93 | 6.1 × 10−11 | 0.07 | |
| 7 | 1 | 1 | 5.6 | – | 3.4 | 8.1 × 10−4 | 2.6 × 10−12 | 0.77 | 2.4 × 10−11 | 0.23 |
| 8 | 1 | 1 | 4.5 | – | 5.6 | 1.2 × 10−3 | 4.2 × 10−12 | 0.78 | 2.6 × 10−11 | 0.22 |
| 9 | 1 | 1 | 6.0 | – | 9.5 | 2.5 × 10−3 | 1.2 × 10−11 | 0.83 | 4.1 × 10−11 | 0.17 |
| No. | D1, m2/s | p1 | D2, m2/s | p2 |
|---|---|---|---|---|
| 1 | 6.07 × 10−13 | 1 | – | – |
| 2 | 7.91 × 10−13 | 0.7 | 1.73 × 10−11 | 0.33 |
| 3 | 2.60 × 10−12 | 0.63 | 1.27 × 10−11 | 0.39 |
| 4 | 6.00 × 10−12 | 1 | – | – |
| 5 | 1.79 × 10−11 | 1 | – | – |
| 6 | 2.2 × 10−11 | 1 | – | – |
| 7 | 8.57 × 10−12 | 1 | – | – |
| 8 | 1.71 × 10−11 | 1 | – | – |
| 9 | 3.24 × 10−11 | 1 | – | – |
| No. | Ratio of PE Components, mol | σ/S·cm−1 (20 °C) | Ds/m2·s−1 | ||||
|---|---|---|---|---|---|---|---|
| EMIBF4 | EC | PC | 1H | 7Li * | 19F | ||
| 1 | 1 | – | – | 1.4 × 10−6 | 5.8 × 10−13 | 2.0 × 10−13 | 3.6 × 10−13 |
| 2 | 2.5 | – | – | 7.4 × 10−5 | 2.5 × 10−12 | 5.5 × 10−13 | 1.5 × 10−12 |
| 3 | 6.5 | – | – | 2.6 × 10−3 | 2.5 × 10−11 | 5.0 × 10−12 | 1.8 × 10−11 |
| 4 | 6 | – | 3 | 2.6 × 10−3 | 3.0 × 10−11 | 5.2 × 10−12 (0.9) 2.5 × 10−10 (0.1) | 2.3 × 10−11 |
| 5 | 6 | – | 6 | 3.6 × 10−3 | 4.0 × 10−11 | 9.6 × 10−12 | 3.6 × 10−11 |
| 6 | 6 | – | 9 | 4.4 × 10−3 | 4.4 × 10−11 | 1.3 × 10−11 | 4.1 × 10−11 |
| 7 | 6 | 3 | – | 2.1 × 10−3 | 3.0 × 10−11 | 6.1 × 10−12 (0.9), 4.0 × 10−10 (0.1) | 2.5 × 10−11 |
| 8 | 6 | 6 | – | 3.9 × 10−3 | 3.2 × 10−11 | 1.3 × 10−11 | 4.2 × 10−11 |
| 9 | 6 | 9 | – | 4.2 × 10−3 | 5.1 × 10−11 | 1.3 × 10−11 | 4.8 × 10−11 |
| No. of Polymer Electrolyte | Polymer Electrolyte Initial Components, wt % | |||
|---|---|---|---|---|
| PEDA:EC (1:1) | LiClO4 | Nanodisperse Filler | Benzoyl Peroxide | |
| 1 | 91.1 | 7.5 | – | 1.4 |
| 2 | 81.1 | 7.5 | TiO2—10.0 | 1.4 |
| 3 | 81.1 | 7.5 | Li2TiO3—10.0 | 1.4 |
| No. | Starting Components of NPE, wt % | t+ | Ds, 10−10 m2/s (24 °C) | σ, mS/cm (20 °C) | |||
|---|---|---|---|---|---|---|---|
| PEG-DA575 | 1 M LiBF4 in GBL | SiO2 | BP | ||||
| 1 | 15 | 84 | 0 | 1 | 0.44 | 1.10 | 3.24 |
| 2 | 15 | 82 | 2 | 1 | 0.49 | 1.20 | 3.76 |
| 3 | 15 | 80 | 4 | 1 | 0.34 | 0.83 | 3.35 |
| 4 | 15 | 78 | 6 | 1 | 0.32 | 0.76 | 4.52 |
| 5 | 15 | 76 | 8 | 1 | 0.29 | 0.73 | 2.61 |
| 6 | 15 | 74 | 10 | 1 | – | 0.61 | 2.34 |
Publisher’s Note: MDPI stays neutral with regard to jurisdictional claims in published maps and institutional affiliations. |
© 2022 by the authors. Licensee MDPI, Basel, Switzerland. This article is an open access article distributed under the terms and conditions of the Creative Commons Attribution (CC BY) license (https://creativecommons.org/licenses/by/4.0/).
Share and Cite
Volkov, V.I.; Yarmolenko, O.V.; Chernyak, A.V.; Slesarenko, N.A.; Avilova, I.A.; Baymuratova, G.R.; Yudina, A.V. Polymer Electrolytes for Lithium-Ion Batteries Studied by NMR Techniques. Membranes 2022, 12, 416. https://doi.org/10.3390/membranes12040416
Volkov VI, Yarmolenko OV, Chernyak AV, Slesarenko NA, Avilova IA, Baymuratova GR, Yudina AV. Polymer Electrolytes for Lithium-Ion Batteries Studied by NMR Techniques. Membranes. 2022; 12(4):416. https://doi.org/10.3390/membranes12040416
Chicago/Turabian StyleVolkov, Vitaly I., Olga V. Yarmolenko, Alexander V. Chernyak, Nikita A. Slesarenko, Irina A. Avilova, Guzaliya R. Baymuratova, and Alena V. Yudina. 2022. "Polymer Electrolytes for Lithium-Ion Batteries Studied by NMR Techniques" Membranes 12, no. 4: 416. https://doi.org/10.3390/membranes12040416
APA StyleVolkov, V. I., Yarmolenko, O. V., Chernyak, A. V., Slesarenko, N. A., Avilova, I. A., Baymuratova, G. R., & Yudina, A. V. (2022). Polymer Electrolytes for Lithium-Ion Batteries Studied by NMR Techniques. Membranes, 12(4), 416. https://doi.org/10.3390/membranes12040416

