Using Reverse Osmosis Membrane at High Temperature for Water Recovery and Regeneration from Thermo-Responsive Ionic Liquid-Based Draw Solution for Efficient Forward Osmosis
Abstract
:1. Introduction
2. Experimental
2.1. Materials and Reagents
2.2. Evaluation of Osmotic Pressure of the LCST-Type Solution
2.3. Evaluation of RO Flux for the [N4444][TMBS] Aqueous Solution
3. Results and Discussion
3.1. Temperature Dependence of Osmotic Pressure of IL-Based DSs
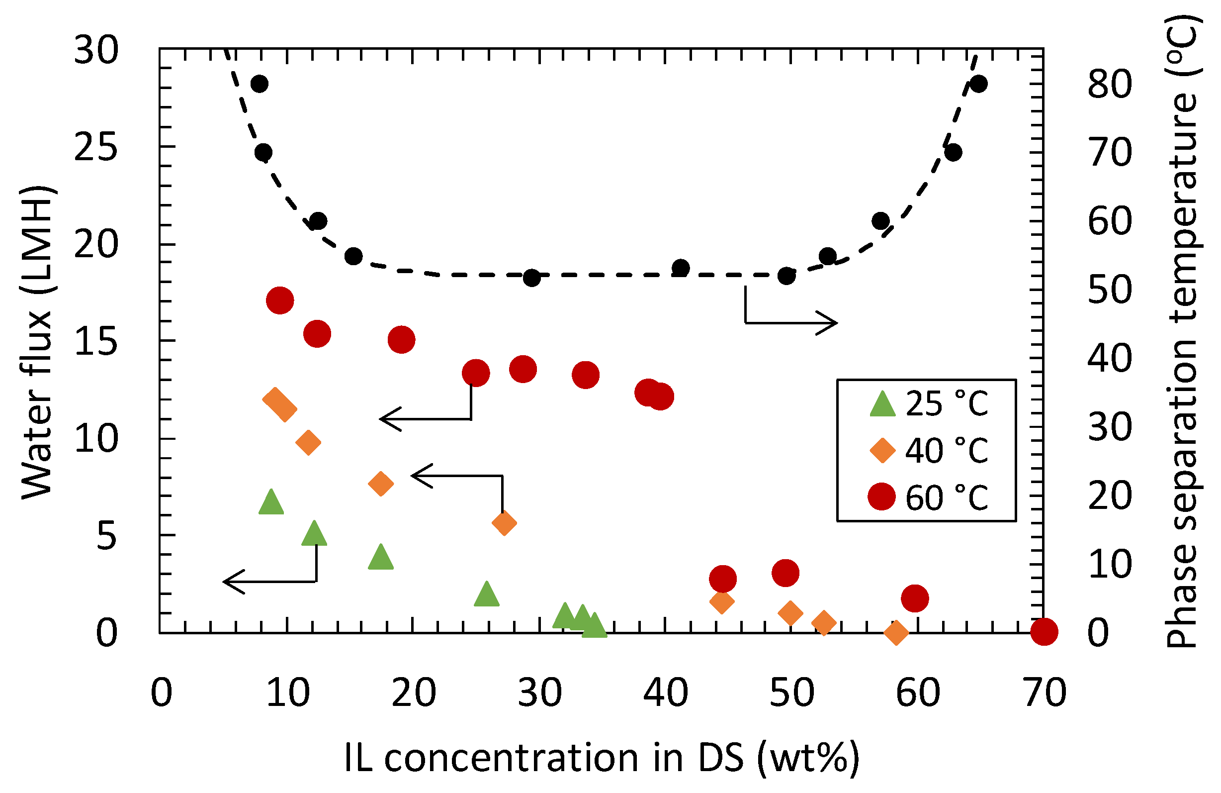
3.2. Effect of High-Temperature RO Treatment for DS Regeneration
3.3. Water Recovery from Diluted [N4444][TMBS] Aqueous Solution at High Temperature
4. Conclusions
Supplementary Materials
Author Contributions
Funding
Acknowledgments
Conflicts of Interest
References
- Cath, T.Y.; Childress, A.E.; Elimelech, M. Forward Osmosis: Principles, Applications, and Recent Developments. J. Membr. Sci. 2006, 281, 70–87. [Google Scholar] [CrossRef]
- Mi, B.; Elimelech, M. Organic Fouling of Forward Osmosis Membranes: Fouling Reversibility and Cleaning without Chemical Reagents. J. Membr. Sci. 2010, 348, 337–345. [Google Scholar] [CrossRef]
- Kravath, R.E.; Davis, J.A. Desalination of Sea Water by Direct Osmosis. Desalination 1975, 16, 151–155. [Google Scholar] [CrossRef]
- Martinetti, C.R.; Childress, A.E.; Cath, T.Y. High Recovery of Concentrated RO Brines using Forward Osmosis and Membrane Distillation. J. Membr. Sci. 2009, 331, 31–39. [Google Scholar] [CrossRef]
- Shaffer, D.L.; Yip, N.Y.; Gilron, J.; Elimelech, M. Seawater Desalination for Agriculture by Integrated Forward and Reverse Osmosis: Improved Product Water Quality for Potentially Less Energy. J. Membr. Sci. 2012, 415, 1–8. [Google Scholar] [CrossRef]
- Cath, T.Y.; Gormly, S.; Beaudry, E.G.; Flynn, M.T.; Adams, V.D.; Childress, A.E. Membrane Contactor Processes for Wastewater Reclamation in Space. J. Membr. Sci. 2005, 257, 85–98. [Google Scholar] [CrossRef]
- Cath, T.Y.; Adams, D.; Childress, A.E. Membrane Contactor Processes for Wastewater Reclamation in Space II. Combined Direct Osmosis, Osmotic Distillation, and Membrane Distillation for Treatment of Metabolic Wastewater. J. Membr. Sci. 2005, 257, 111–119. [Google Scholar] [CrossRef]
- Holloway, R.W.; Childress, A.E.; Dennett, K.E.; Cath, T.Y. Forward Osmosis for Concentration of Anaerobic Digester Centrate. Water Res. 2007, 41, 4005–4014. [Google Scholar] [CrossRef]
- Petrotos, K.B.; Quantick, P.; Petropakis, H. A Study of the Direct Osmotic Concentration of Tomato Juice in Tubular Membrane—Module Configuration. I. The Effect of Certain Basic Process Parameters on the Process Performance. J. Membr. Sci. 1998, 150, 99–110. [Google Scholar] [CrossRef]
- Garcia-Castello, E.M.; McCutcheon, J.R. Dewatering Press Liquor Derived from Orange Production by Forward Osmosis. J. Membr. Sci. 2011, 372, 97–101. [Google Scholar] [CrossRef]
- Ge, Q.; Ling, M.; Chung, T.-S. Draw Solutions for Forward Osmosis Processes: Developments, Challenges, and Prospects for the Future. J. Membr. Sci. 2013, 442, 225–237. [Google Scholar] [CrossRef]
- Long, Q.; Jia, Y.; Li, J.; Yang, J.; Liu, F.; Zheng, J.; Yu, B. Recent Advance on Draw Solutes Development in Forward Osmosis. Processes 2018, 6, 165. [Google Scholar] [CrossRef] [Green Version]
- Achilli, A.; Cath, T.Y.; Childress, A.E. Selection of Inorganic-Based Draw Solutions for Forward Osmosis Applications. J. Membr. Sci. 2010, 364, 233–241. [Google Scholar] [CrossRef]
- Altaee, A.; Zaragoza, G.; van Tonningen, H.R. Comparison between Forward Osmosis-Reverse Osmosis and Reverse Osmosis Processes for Seawater Desalination. Desalination 2014, 336, 50–57. [Google Scholar] [CrossRef]
- Tan, C.H.; Ng, H.Y. A Novel Hybrid Forward Osmosis-Nanofiltration (FO-NF) Process for Seawater Desalination: Draw Solution Selection and System Configuration. Desalin. Water Treat. 2010, 13, 356–361. [Google Scholar] [CrossRef]
- Zhao, S.; Zou, L.; Mulcahy, D. Brackish Water Desalination by a Hybrid Forward Osmosis-Nanofiltration System using Divalent Draw Solute. Desalination 2012, 284, 175–181. [Google Scholar] [CrossRef]
- Su, J.; Chung, T.-S.; Helmer, B.J.; de Wit, J.S. Enhanced Double-Skinned FO Membranes with Inner Dense Layer for Wastewater Treatment and Macromolecule Recycle using Sucrose as Draw Solute. J. Membr. Sci. 2012, 396, 92–100. [Google Scholar] [CrossRef]
- Chekli, L.; Kim, Y.; Phuntsho, S.; Li, S.; Ghaffour, N.; Leiknes, T.; Shon, H.K. Evaluation of Fertilizer-Drawn Forward Osmosis for Sustainable Agriculture and Water Reuse in Arid Regions. J. Environ. Manag. 2017, 187, 137–145. [Google Scholar] [CrossRef] [PubMed] [Green Version]
- Nasr, P.; Sewilam, H. Investigating the Performance of Ammonium Sulphate Draw Solution in Fertilizer Drawn Forward Osmosis Process. Clean Technol. Environ. Policy 2016, 18, 717–727. [Google Scholar] [CrossRef]
- Zou, S.; He, Z. Enhancing Wastewater Reuse by Forward Osmosis with Self-Diluted Commercial Fertilizers as Draw Solutes. Water Res. 2016, 99, 235–243. [Google Scholar] [CrossRef] [PubMed] [Green Version]
- Ge, Q.; Su, J.; Amy, G.L.; Chung, T.-S. Exploration of Polyelectrolytes as Draw Solutes in Forward Osmosis Processes. Water Res. 2012, 46, 1318–1326. [Google Scholar] [CrossRef] [PubMed]
- Khazaie, F.; Shokrollahzadeh, S.; Bide, Y.; Sheshmani, S.; Shahvelayati, A.S. High-Flux Sodium Alginate Sulfate Draw Solution for Water Recovery from Saline Waters and Wastewaters via Forward Osmosis. Chem. Eng. J. 2021, 417, 129250. [Google Scholar] [CrossRef]
- Chen, Y.; Ge, Q. A Bifunctional Zwitterion That Serves as Both a Membrane Modifier and a Draw Solute for Forward Osmosis Wastewater Treatment. ACS Appl. Mater. Interfaces 2019, 11, 36118–36129. [Google Scholar] [CrossRef]
- Luo, H.; Wu, K.; Wang, Q.; Zhang, T.C.; Lu, H.; Rong, H.; Fang, Q. Forward Osmosis with Electro-Responsive P(AMPS-co-AM) Hydrogels as Draw Agents for Desalination. J. Membr. Sci. 2020, 593, 117406. [Google Scholar] [CrossRef]
- Doshi, K.; Mungray, A.A. Bio-Route Synthesis of Carbon Quantum Dots from Tulsi Leaves and Its Application as a Draw Solution in Forward Osmosis. J. Environ. Chem. Eng. 2020, 8, 104174. [Google Scholar] [CrossRef]
- Noh, M.; Mok, Y.; Lee, S.; Kim, H.; Lee, S.H.; Jin, G.-w.; Seo, J.-H.; Koo, H.; Park, T.H.; Lee, Y. Novel Lower Critical Solution Temperature Phase Transition Materials Effectively Control Osmosis by Mild Temperature Changes. Chem. Commun. 2012, 48, 3845–3847. [Google Scholar] [CrossRef] [PubMed]
- Nakayama, D.; Mok, Y.; Noh, M.; Park, J.; Kang, S.; Lee, Y. Lower Critical Solution Temperature (LCST) Phase Separation of Glycol Ethers for Forward Osmotic Control. Phys. Chem. Chem. Phys. 2014, 16, 5319–5325. [Google Scholar] [CrossRef] [PubMed]
- Inada, A.; Takahashi, T.; Kumagai, K.; Matsuyama, H. Morpholine Derivatives as Thermoresponsive Draw Solutes for Forward Osmosis Desalination. Ind. Eng. Chem. Res. 2019, 58, 12253–12260. [Google Scholar] [CrossRef]
- Kohno, Y.; Ohno, H. Temperature-Responsive Ionic Liquid/Water Interfaces: Relation between Hydrophilicity of Ions and Dynamic Phase Change. Phys. Chem. Chem. Phys. 2012, 14, 5063–5070. [Google Scholar] [CrossRef]
- Kamio, E.; Takenaka, A.; Takahashi, T.; Matsuyama, H. Fundamental Investigation of Osmolality, Thermo-Responsive Phase Diagram, and Water-Drawing Ability of Ionic-Liquid-Based Draw Solution for Forward Osmosis Membrane Process. J. Membr. Sci. 2019, 570, 93–102. [Google Scholar] [CrossRef]
- Cai, Y.; Shen, W.; Wei, J.; Chong, T.H.; Wang, R.; Krantz, W.B.; Fane, A.G.; Hu, X. Energy-Efficient Desalination by Forward Osmosis using Responsive Ionic Liquid Draw Solutes. Environ. Sci. Water Res. Technol. 2015, 1, 341–347. [Google Scholar] [CrossRef] [Green Version]
- Kamio, E.; Kurisu, H.; Takahashi, T.; Matsuoka, A.; Yoshioka, T.; Nakagawa, K.; Sun, Y.; Matsuyama, H. Effect of Temperature on the Osmotic Behavior of LCST Type Ionic Liquid Solutions as Draw Solutions in the Forward Osmosis Process. Sep. Purif. Technol. 2021, 275, 119164. [Google Scholar] [CrossRef]
- Ju, C.; Park, C.; Kim, T.; Kang, S.; Kang, H. Thermo-Responsive Draw Solute for Forward Osmosis Process; Poly(Ionic Liquid) Having Lower Critical Solution Temperature Characteristics. RSC Adv. 2019, 9, 29493–29501. [Google Scholar] [CrossRef] [Green Version]
- Zeweldi, H.G.; Bendoy, A.P.; Park, M.J.; Shon, H.K.; Kim, H.-S.; Johnson, E.M.; Kim, H.; Chung, W.-J.; Nisola, G.M. Supramolecular Host-Guest Complex of Methylated β-Cyclodextrin with Polymerized Ionic Liquid ([vbim]TFSI)n as Highly Effective and Energy-Efficient Thermo-Regenerable Draw Solutes in Forward Osmosis. Chem. Eng. J. 2021, 411, 128520. [Google Scholar] [CrossRef]
- McCutcheon, J.R.; McGinnis, R.L.; Elimelech, M. A Novel Ammonia-Carbon Dioxide Forward (Direct) Osmosis Desalination Process. Desalination 2005, 174, 1–11. [Google Scholar] [CrossRef]
- McGinnis, R.L.; Hancock, N.T.; Nowosielski-Slepowron, M.S.; McGurgan, G.D. Pilot Demonstration of the NH3/CO2 Forward Osmosis Desalination Process on High Salinity Brines. Desalination 2013, 312, 67–74. [Google Scholar] [CrossRef]
- Tayel, A.; Nasr, P.; Sewilam, H. Enhanced Water Flux Using Uncoated Magnetic Nanoparticles as a Draw Solution in Forward Osmosis Desalination. Desalin. Water Treat. 2020, 193, 169–176. [Google Scholar] [CrossRef]
- Wu, Y.; Liu, Y.; Chen, R.; Zhang, W.-H.; Ge, Q. A pH-Responsive Supramolecular Draw Solute that Achieves High-Performance in Arsenic Removal via Forward Osmosis. Water Res. 2019, 165, 114993. [Google Scholar] [CrossRef] [PubMed]
- Stone, M.L.; Rae, C.; Stewart, F.F.; Wilson, A.D. Switchable Polarity Solvents as Draw Solutes for Forward Osmosis. Desalination 2013, 312, 124–129. [Google Scholar] [CrossRef]
- Cruz-Tato, P.; Richardson, T.-M.J.; Romero-Mangado, J.; Flynn, M.; Nicolau, E. Performance Evaluation of 1-Cyclohexylpiperidine as a Draw Solute for Forward Osmosis Water Separation and CO2 Recovery. ACS Omega 2020, 5, 25919–25926. [Google Scholar] [CrossRef] [PubMed]
- Wendt, D.S.; Orme, C.J.; Mines, G.L.; Wilson, A.D. Energy Requirements of the Switchable Polarity Solvent Forward Osmosis (SPS-FO) Water Purification Process. Desalination 2015, 374, 81–91. [Google Scholar] [CrossRef] [Green Version]
- Spicer, W.M.; Metcalf, J.S. Relative Weights of Phases Present in a Heterogeneous System at Equilibrium. J. Chem. Educ. 1943, 20, 199. [Google Scholar] [CrossRef]
- Hakala, R.W. A Brief Derivation of the Lever Law. J. Chem. Educ. 1952, 29, 453. [Google Scholar] [CrossRef]





Publisher’s Note: MDPI stays neutral with regard to jurisdictional claims in published maps and institutional affiliations. |
© 2021 by the authors. Licensee MDPI, Basel, Switzerland. This article is an open access article distributed under the terms and conditions of the Creative Commons Attribution (CC BY) license (https://creativecommons.org/licenses/by/4.0/).
Share and Cite
Kamio, E.; Kurisu, H.; Takahashi, T.; Matsuoka, A.; Yoshioka, T.; Nakagawa, K.; Matsuyama, H. Using Reverse Osmosis Membrane at High Temperature for Water Recovery and Regeneration from Thermo-Responsive Ionic Liquid-Based Draw Solution for Efficient Forward Osmosis. Membranes 2021, 11, 588. https://doi.org/10.3390/membranes11080588
Kamio E, Kurisu H, Takahashi T, Matsuoka A, Yoshioka T, Nakagawa K, Matsuyama H. Using Reverse Osmosis Membrane at High Temperature for Water Recovery and Regeneration from Thermo-Responsive Ionic Liquid-Based Draw Solution for Efficient Forward Osmosis. Membranes. 2021; 11(8):588. https://doi.org/10.3390/membranes11080588
Chicago/Turabian StyleKamio, Eiji, Hiroki Kurisu, Tomoki Takahashi, Atsushi Matsuoka, Tomohisa Yoshioka, Keizo Nakagawa, and Hideto Matsuyama. 2021. "Using Reverse Osmosis Membrane at High Temperature for Water Recovery and Regeneration from Thermo-Responsive Ionic Liquid-Based Draw Solution for Efficient Forward Osmosis" Membranes 11, no. 8: 588. https://doi.org/10.3390/membranes11080588
APA StyleKamio, E., Kurisu, H., Takahashi, T., Matsuoka, A., Yoshioka, T., Nakagawa, K., & Matsuyama, H. (2021). Using Reverse Osmosis Membrane at High Temperature for Water Recovery and Regeneration from Thermo-Responsive Ionic Liquid-Based Draw Solution for Efficient Forward Osmosis. Membranes, 11(8), 588. https://doi.org/10.3390/membranes11080588

