Influences of Technological Parameters on Cross-Flow Nanofiltration of Cranberry Juice
Abstract
1. Introduction
2. Materials and Methods
2.1. Materials
2.2. Membrane Apparatus
2.3. Ultrafiltration Pretreatment
2.4. Analysis Methods
2.5. Performance Parameters
3. Results
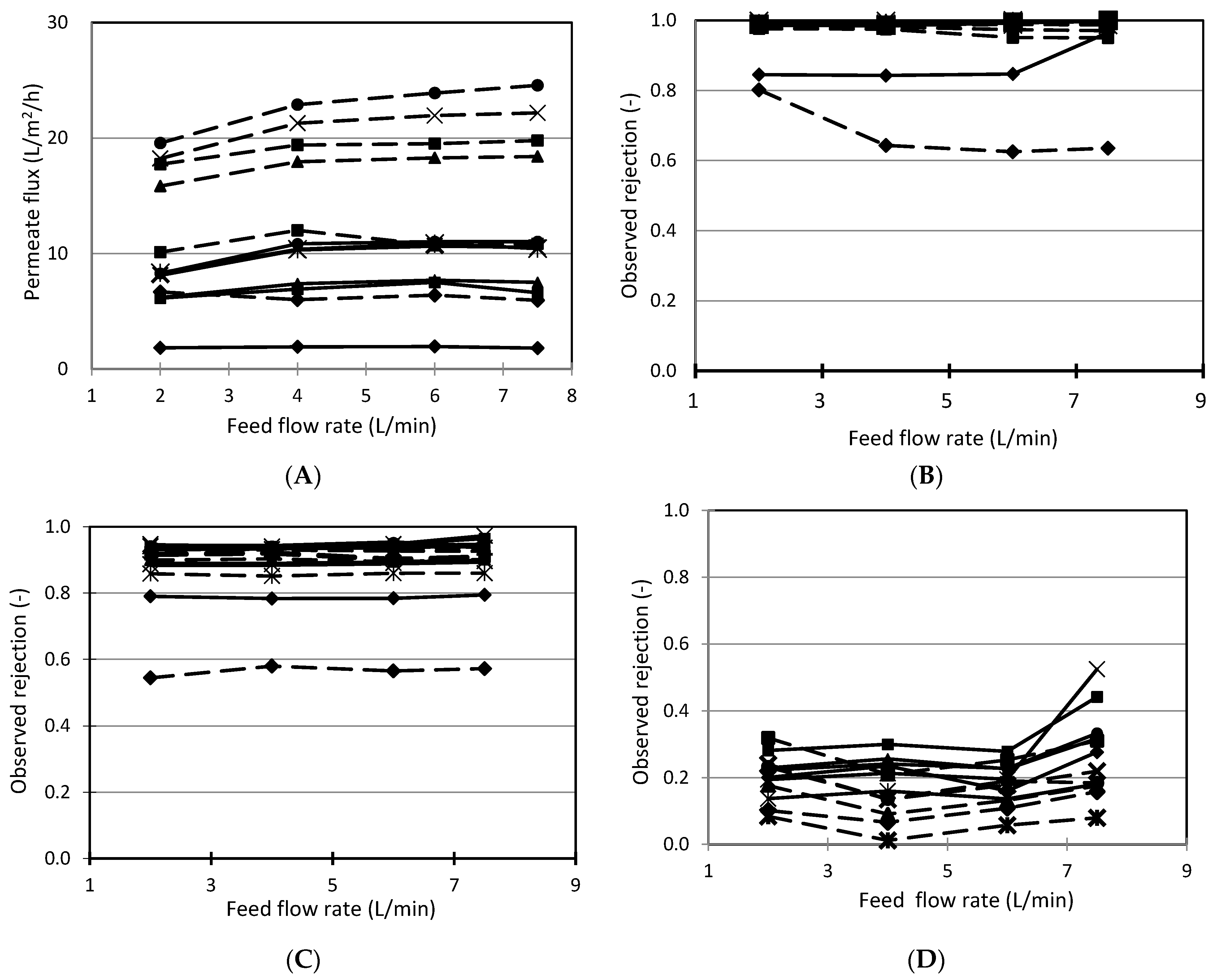
3.1. Influence of Feed Flow Rate
3.2. Influence of Temperature
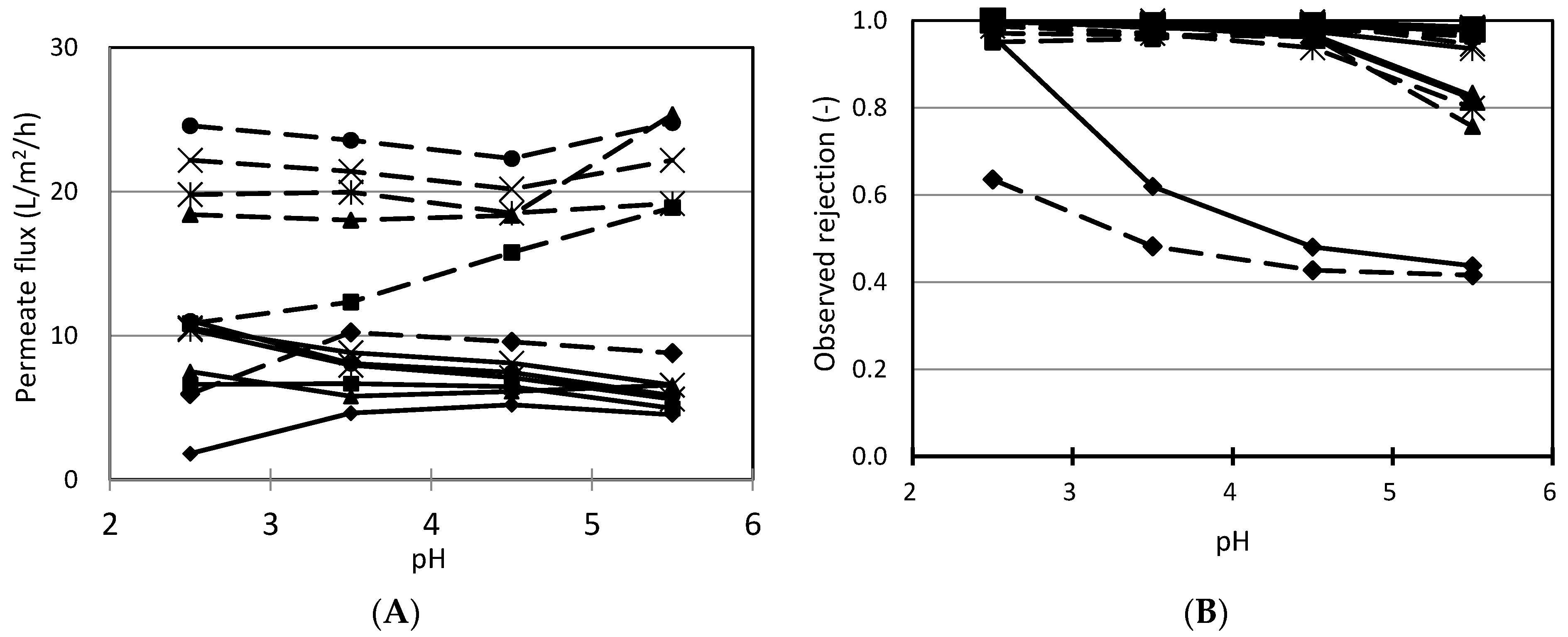
3.3. Influence of pH
3.4. Influence of Permeate Flux
4. Conclusions
Author Contributions
Funding
Institutional Review Board Statement
Informed Consent Statement
Data Availability Statement
Conflicts of Interest
References
- Öztürk, B.; Ayaz Seyhan, S.; Bilğiç Alkaya, D. Determination of Benzoic Acid in Cranberry (Vaccinium Macrocarpon Ait) by Hplc with Using Different Extraction Methods. Extraction 2019, 1, 2. [Google Scholar]
- Zuo, Y.; Wang, C.; Zhan, J. Separation, characterization, and quantitation of benzoic and phenolic antioxidants in American cranberry fruit by GC−MS. J. Agric. Food Chem. 2002, 50, 3789–3794. [Google Scholar] [CrossRef]
- Pappas, E.; Schaich, K.M. Phytochemicals of cranberries and cranberry products: Characterization, potential health effects, and processing stability. Crit. Rev. Food Sci. Nutr. 2009, 49, 741–781. [Google Scholar] [CrossRef]
- Abdel-Fatah, M.A. Nanofiltration systems and applications in wastewater treatment. Ain Shams Eng. J. 2018, 9, 3077–3092. [Google Scholar] [CrossRef]
- Marchetti, P.; Jimenez Solomon, M.F.; Szekely, G.; Livingston, A.G. Molecular separation with organic solvent nanofiltration: A critical review. Chem. Rev. 2014, 114, 10735–10806. [Google Scholar] [CrossRef] [PubMed]
- Tonova, K.; Lazarova, M.; Dencheva-Zarkova, M.; Paniovska, S.; Tsibranska, I.; Stanoev, V.; Dzhonova, D.; Genova, J. Separation of glucose, other reducing sugars and phenolics from natural extract by nanofiltration: Effect of pressure and cross-flow velocity. Chem. Eng. Res. Des. 2020, 162, 107–116. [Google Scholar] [CrossRef]
- Esteves, T.; Mota, A.T.; Barbeitos, C.; Andrade, K.; Afonso, C.A.M.; Ferreira, F.C. A study on lupin beans process wastewater nanofiltration treatment and lupanine recovery. J. Clean. Prod. 2020, 277, 123349. [Google Scholar] [CrossRef]
- Zaman, N.K.; Law, J.Y.; Chai, P.V.; Rohani, R.; Mohammad, A.W. Recovery of Organic Acids from Fermentation Broth Using Nanofiltration Technologies: A Review. J. Phys. Sci. 2017, 28, 85–109. [Google Scholar] [CrossRef]
- Laurio, M.V.O.; Slater, C.S. Process scale-up, economic, environmental assessment of vibratory nanofiltration of coffee extracts for soluble coffee production process intensification. Clean Technol. Environ. Policy 2020, 22, 1891–1908. [Google Scholar] [CrossRef]
- Cassano, A.; Conidi, C.; Castro-Muñoz, R. Current and Future Applications of Nanofiltration in Food Processing. In Separation of Functional Molecules in Food by Membrane Technology; Elsevier: Amsterdam, The Netherlands, 2019; pp. 305–348. [Google Scholar]
- Saini, R.; Chauhan, A.K.; Kumar, P. Nanofiltration in dairy processing. In Nanotechnology Applications in Dairy Science; Apple Academic Press: Palm Bay, FL, USA, 2019; pp. 69–83. [Google Scholar]
- Oatley-Radcliffe, D.L.; Walters, M.; Ainscough, T.J.; Williams, P.M.; Mohammad, A.W.; Hilal, N. Nanofiltration membranes and processes: A review of research trends over the past decade. J. Water Process Eng. 2017, 19, 164–171. [Google Scholar] [CrossRef]
- Abdelkader, B.A.; Antar, M.A.; Khan, Z. Nanofiltration as a pretreatment step in seawater desalination: A review. Arab. J. Sci. Eng. 2018, 43, 4413–4432. [Google Scholar] [CrossRef]
- Nilsson, M.; Trägårdh, G.; Östergren, K. The influence of pH, salt and temperature on nanofiltration performance. J. Memb. Sci. 2008, 312, 97–106. [Google Scholar] [CrossRef]
- Lai, D.Q.; Tagashira, N.; Hagiwara, S.; Nakajima, M.; Kimura, T.; Nabetani, H. Application of nanofiltration to recover benzoic acid from cranberry juice. Food Sci. Technol. Res. 2012, 18, 7–15. [Google Scholar] [CrossRef]
- Meschke, K.; Hansen, N.; Hofmann, R.; Haseneder, R.; Repke, J.U. Characterization and performance evaluation of polymeric nanofiltration membranes for the separation of strategic elements from aqueous solutions. J. Memb. Sci. 2018, 546, 246–257. [Google Scholar] [CrossRef]
- Simonič, M. Compost leachate treatment using polyaluminium chloride and nanofiltration. Open Chem. 2017, 15, 123–128. [Google Scholar] [CrossRef]
- Giacobbo, A.; Moura Bernardes, A.; Filipe Rosa, M.J.; De Pinho, M.N. Concentration polarization in ultrafiltration/nanofiltration for the recovery of polyphenols from winery wastewaters. Membranes 2018, 8, 46. [Google Scholar] [CrossRef] [PubMed]
- Semenova, S.I.; Ohya, H.; Soontarapa, K. Hydrophilic membranes for pervaporation: An analytical review. Desalination 1997, 110, 251–286. [Google Scholar] [CrossRef]
- Cheryan, M. Ultrafiltration and Microfiltration Handbook; CRC Press: Boca Raton, FL, USA, 1998; ISBN 1566765986. [Google Scholar]
- Cai, M.; Xie, C.; Zhong, H.; Tian, B.; Yang, K. Identification of Anthocyanins and Their Fouling Mechanisms during Non-Thermal Nanofiltration of Blueberry Aqueous Extracts. Membranes 2021, 11, 200. [Google Scholar] [CrossRef] [PubMed]
- Xu, R.; Zhou, M.; Wang, H.; Wang, X.; Wen, X. Influences of temperature on the retention of PPCPs by nanofiltration membranes: Experiments and modeling assessment. J. Memb. Sci. 2020, 599, 117817. [Google Scholar] [CrossRef]
- Bandini, S.; Morelli, V. Effect of temperature, pH and composition on nanofiltration of mono/disaccharides: Experiments and modeling assessment. J. Memb. Sci. 2017, 533, 57–74. [Google Scholar] [CrossRef]
- Noghabi, M.S.; Razavi, S.M.A.; Mousavi, S.M.; Elahi, M.; Niazmand, R. Effect of operating parameters on performance of nanofiltration of sugar beet press water. Procedia Food Sci. 2011, 1, 160–164. [Google Scholar] [CrossRef][Green Version]
- Luo, J.; Guo, S.; Wu, Y.; Wan, Y. Separation of sucrose and reducing sugar in cane molasses by nanofiltration. Food Bioprocess Technol. 2018, 11, 913–925. [Google Scholar] [CrossRef]
- Liu, J.; Xu, Q.; Jiang, J. A molecular simulation protocol for swelling and organic solvent nanofiltration of polymer membranes. J. Memb. Sci. 2019, 573, 639–646. [Google Scholar] [CrossRef]
- Santiago, M.; Pagay, V.; Stroock, A.D. Impact of electroviscosity on the hydraulic conductance of the bordered pit membrane: A theoretical investigation. Plant Physiol. 2013, 163, 999–1011. [Google Scholar] [CrossRef] [PubMed]
- Bargeman, G.; Vollenbroek, J.M.; Straatsma, J.; Schroën, C.; Boom, R.M. Nanofiltration of multi-component feeds. Interactions between neutral and charged components and their effect on retention. J. Memb. Sci. 2005, 247, 11–20. [Google Scholar] [CrossRef]
- Bouchoux, A.; Roux-de Balmann, H.; Lutin, F. Nanofiltration of glucose and sodium lactate solutions: Variations of retention between single-and mixed-solute solutions. J. Memb. Sci. 2005, 258, 123–132. [Google Scholar] [CrossRef]
- Luo, J.; Wan, Y. Effects of pH and salt on nanofiltration—a critical review. J. Memb. Sci. 2013, 438, 18–28. [Google Scholar] [CrossRef]
- Chuntanalerg, P.; Bureekaew, S.; Klaysom, C.; Lau, W.-J.; Faungnawakij, K. Nanomaterial-incorporated nanofiltration membranes for organic solvent recovery. In Advanced Nanomaterials for Membrane Synthesis and Its Applications; Elsevier: Amsterdam, The Netherlands, 2019; pp. 159–181. [Google Scholar]
- Donnan, F.G. Theory of membrane equilibria and membrane potentials in the presence of non-dialysing electrolytes. A contribution to physical-chemical physiology. J. Memb. Sci. 1995, 100, 45–55. [Google Scholar] [CrossRef]
- Mouhoumed, E.I.; Szymczyk, A.; Schäfer, A.; Paugam, L.; La, Y.-H. Physico-chemical characterization of polyamide NF/RO membranes: Insight from streaming current measurements. J. Memb. Sci. 2014, 461, 130–138. [Google Scholar] [CrossRef]
- Desalination, H.S.; Zhou, Z.; Li, X.; Shinde, D.B.; Sheng, G.; Lu, D.; Li, P. Tuning the Surface Structure of Polyamide Membranes Using Porous Carbon Nitride Nanoparticles for High-Performance Seawater Desalination. Membranes 2020, 10, 163. [Google Scholar]
- Dalwani, M.; Benes, N.E.; Bargeman, G.; Stamatialis, D.; Wessling, M. Effect of pH on the performance of polyamide/polyacrylonitrile based thin film composite membranes. J. Memb. Sci. 2011, 372, 228–238. [Google Scholar] [CrossRef]
- Xu, X.; Spencer, H.G. Transport of electrolytes through a weak acid nanofiltration membrane: Effects of flux and-velocity interpreted using a fine-porous membrane model. Desalination 1997, 113, 85–93. [Google Scholar] [CrossRef]
- Szymczyk, A.; Labbez, C.; Fievet, P.; Vidonne, A.; Foissy, A.; Pagetti, J. Contribution of convection, diffusion and migration to electrolyte transport through nanofiltration membranes. Adv. Colloid Interface Sci. 2003, 103, 77–94. [Google Scholar] [CrossRef]

: Desal DK.
: Desal DK.


: Desal DK.
: Desal DK.





| Type | Manufacturer | NaCl Rejection (%) | pH Rank | IEP | Temperature Rank | Permeability (L/m2/h/bar) | Material |
|---|---|---|---|---|---|---|---|
| G5 (GE) | GE | 1000 * | 2–11 | - | <50 °C | 0.91 | Composite-Polyamide |
| UTC 60 | Toray | 55 | - | 3.2 [16] | - | 3.9 | Polyamide |
| NTR 7250 | Nitto Denko | 60 | 2–8 | - | <60 °C | - | Polyvinyl alcohol |
| NF99 | Alfa-Laval | 55 | 2–10 | 4.1–4.4 [16] | - | 7.00 | Composite-Polyamide |
| Desal-DK | GE | 50 | 2–11 | 4.7 [17] | <50 °C | 2.67 | Polyamide |
| DRA 4510 | Daicen | 45 | 2–11 | - | - | 3.39 | Composite-Polyamide |
Publisher’s Note: MDPI stays neutral with regard to jurisdictional claims in published maps and institutional affiliations. |
© 2021 by the authors. Licensee MDPI, Basel, Switzerland. This article is an open access article distributed under the terms and conditions of the Creative Commons Attribution (CC BY) license (https://creativecommons.org/licenses/by/4.0/).
Share and Cite
Lai, D.Q.; Tagashira, N.; Hagiwara, S.; Nakajima, M.; Kimura, T.; Nabetani, H. Influences of Technological Parameters on Cross-Flow Nanofiltration of Cranberry Juice. Membranes 2021, 11, 329. https://doi.org/10.3390/membranes11050329
Lai DQ, Tagashira N, Hagiwara S, Nakajima M, Kimura T, Nabetani H. Influences of Technological Parameters on Cross-Flow Nanofiltration of Cranberry Juice. Membranes. 2021; 11(5):329. https://doi.org/10.3390/membranes11050329
Chicago/Turabian StyleLai, Dat Quoc, Nobuhiro Tagashira, Shoji Hagiwara, Mitsutoshi Nakajima, Toshinori Kimura, and Hiroshi Nabetani. 2021. "Influences of Technological Parameters on Cross-Flow Nanofiltration of Cranberry Juice" Membranes 11, no. 5: 329. https://doi.org/10.3390/membranes11050329
APA StyleLai, D. Q., Tagashira, N., Hagiwara, S., Nakajima, M., Kimura, T., & Nabetani, H. (2021). Influences of Technological Parameters on Cross-Flow Nanofiltration of Cranberry Juice. Membranes, 11(5), 329. https://doi.org/10.3390/membranes11050329

