Mixed Matrix Membranes Containing a Biphenyl-Based Knitting Aryl Polymer and Gas Separation Performance
Abstract
1. Introduction
2. Materials and Methods
2.1. Materials
2.2. Biphenyl-Based Knitting Aryl Polymer Filler (K2Ph)
2.3. Mixed Matrix Membrane Preparation
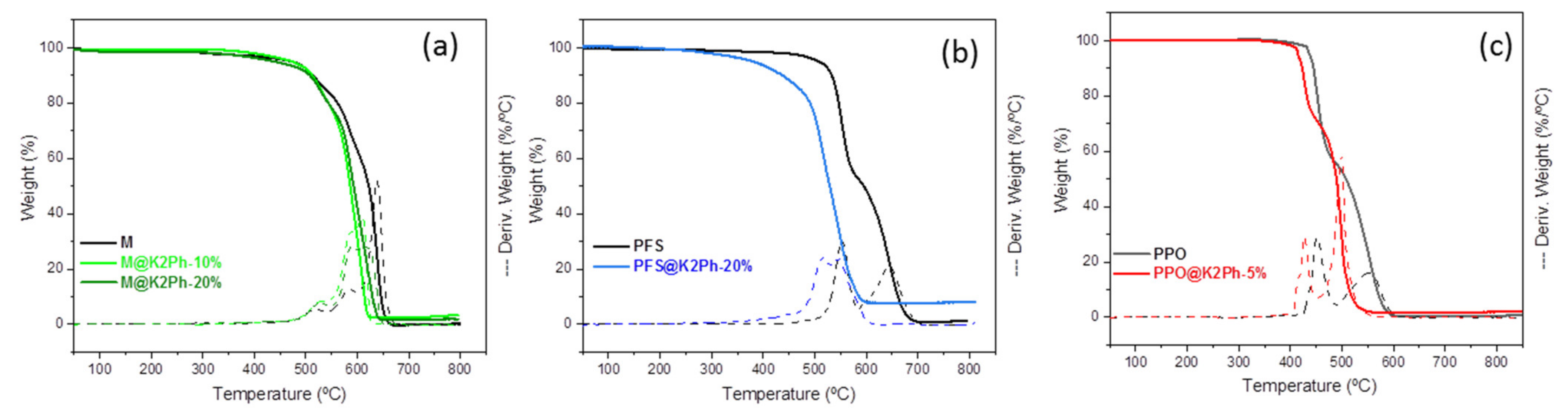
2.4. Characterization Techniques
2.5. Gas Transport and Separation Properties
3. Results and Discussion
3.1. Biphenyl-Based Knitting Aryl Polymer Filler (K2Ph)
3.2. Membrane Preparation and Characterization
3.3. Gas Separation Performance
4. Conclusions
Author Contributions
Funding
Institutional Review Board Statement
Informed Consent Statement
Data Availability Statement
Acknowledgments
Conflicts of Interest
References
- Rangel, E.R.; Maya, E.M.; Sánchez, F.; de Abajo, J.; de la Campa, J.G. Gas separation properties of mixed-matrix membranes containing porous polyimides fillers. J. Membr. Sci. 2013, 447, 403–412. [Google Scholar] [CrossRef]
- Sekizkardes, A.K.; Kusuma, V.A.; Dahe, G.; Roth, E.A.; Hill, L.J.; Marti, A.; Macala, M.; Venna, S.R.; Hopkinson, D. Separation of Carbon Dioxide from Flue Gas by Mixed Matrix Membranes Using Dual Phase Microporous Polymeric Constituents. Chem. Commun. 2016, 52, 11768–11771. [Google Scholar] [CrossRef] [PubMed]
- Mitra, T.; Bhavsar, R.S.; Adams, D.J.; Budd, P.M.; Cooper, A.I. PIM-1 mixed matrix membranes for gas separations using cost-effective hypercrosslinked nanoparticle fillers. Chem. Commun. 2016, 52, 5581–5584. [Google Scholar] [CrossRef]
- Lau, C.H.; Konstas, K.; Doherty, C.M.; Kanehashi, S.; Ozcelik, B.; Kentish, S.E.; Hill, A.J.; Hill, M.R. Tailoring Physical Aging in Super Glassy Polymers with Functionalized Porous Aromatic Frameworks for CO2 Capture. Chem. Mater. 2015, 27, 4756–4762. [Google Scholar] [CrossRef]
- Volkov, A.; Bakhtin, D.; Kulikov, L.; Terenina, M.; Golubev, G.; Bondarenko, G.; Legkov, S.; Shandryuk, G.; Khotimskiy, V.; Belogorlov, A.; et al. Stabilization of gas transport properties of PTMSP with porous aromatic framework: Effect of annealing. J. Membr. Sci. 2016, 517, 80–90. [Google Scholar] [CrossRef]
- Jeon, Y.W.; Lee, D.H. Gas Membranes for CO2/CH4 (Biogas) Separation: A Review. Environ. Eng. Sci. 2015, 32, 71–85. [Google Scholar] [CrossRef]
- Tul Muntha, S.; Kausar, A.; Siddiq, M. A Review on Zeolite-Reinforced Polymeric Membranes: Salient Features and Applica-tions. Polym. Plast. Technol. Eng. 2016, 55, 1971–1987. [Google Scholar] [CrossRef]
- Fernández-Castro, P.; Ortiz, A.; Gorri, D. Exploring the Potential Application of Matrimid® and ZIFs-Based Membranes for Hydrogen Recovery: A Review. Polymers 2021, 13, 1292. [Google Scholar] [CrossRef] [PubMed]
- Kamble, A.R.; Patel, C.M.; Murthy, Z. A review on the recent advances in mixed matrix membranes for gas separation processes. Renew. Sustain. Energy Rev. 2021, 145, 111062. [Google Scholar] [CrossRef]
- Shan, M.; Seoane, B.; Pustovarenko, A.; Wang, X.; Liu, X.; Yarulina, I.; Abou-Hamad, E.; Kapteijn, F.; Gascon, J. Benzimidazole Linked Polymers (BILPs) in Mixed-Matrix Membranes: Influence of Filler Porosity on the CO2/N2 Separation Performance. J. Memb. Sci. 2018, 566, 213–222. [Google Scholar] [CrossRef]
- Cheng, Y.; Zhai, L.; Tong, M.; Kundu, T.; Liu, G.; Ying, Y.; Dong, J.; Wang, Y.; Zhao, D. Selective Gas Permeation in Mixed Matrix Membranes Accelerated by Hollow Ionic Covalent Organic Polymers. ACS Sustain. Chem. Eng. 2019, 7, 1564–1573. [Google Scholar] [CrossRef]
- Saqib, S.; Rafiq, S.; Muhammad, N.; Khan, A.L.; Mukhtar, A.; Mellon, N.B.; Man, Z.; Nawaz, M.H.; Jamil, F.; Ahmad, N.M. Perylene based novel mixed matrix membranes with enhanced selective pure and mixed gases (CO2, CH4, and N2) separation. J. Nat. Gas Sci. Eng. 2020, 73, 103072. [Google Scholar] [CrossRef]
- Bügel, S.; Spieß, A.; Janiak, C. Covalent Triazine Framework CTF-Fluorene as Porous Filler Material in Mixed Matrix Mem-branes for CO2/CH4 Separation. Microporous Mesoporous Mater. 2021, 316, 110941. [Google Scholar] [CrossRef]
- Michaels, A.S.; Bixler, H.J. Flow of gases through polyethylene. J. Polym. Sci. 1961, 50, 413–439. [Google Scholar] [CrossRef]
- Lin, H.; Freeman, B. Gas solubility, diffusivity and permeability in poly(ethylene oxide). J. Membr. Sci. 2004, 239, 105–117. [Google Scholar] [CrossRef]
- Weng, T.H.; Tseng, H.H.; Wey, M.Y. Effect of SBA-15 Texture on the Gas Separation Characteristics of SBA-15/Polymer Multilayer Mixed Matrix Membrane. J. Memb. Sci. 2011, 369, 550–559. [Google Scholar] [CrossRef]
- Li, B.; Gong, R.; Wang, W.; Huang, X.; Zhang, W.; Li, H.; Hu, C.; Tan, B. A New Strategy to Microporous Polymers: Knitting Rigid Aromatic Building Blocks by External Cross-Linker. Macromolecules 2011, 44, 2410–2414. [Google Scholar] [CrossRef]
- Das, S.; Heasman, P.; Ben, T.; Qiu, S. Porous Organic Materials: Strategic Design and Structure–Function Correlation. Chem. Rev. 2017, 117, 1515–1563. [Google Scholar] [CrossRef] [PubMed]
- Wang, C.; Guo, F.; Li, H.; Xu, J.; Hu, J.; Liu, H. Porous organic polymer as fillers for fabrication of defect-free PIM-1 based mixed matrix membranes with facilitating CO2-transfer chain. J. Membr. Sci. 2018, 564, 115–122. [Google Scholar] [CrossRef]
- Yang, Y.; Chuah, C.Y.; Nie, L.; Bae, T.H. Enhancing the Mechanical Strength and CO2/CH4 Separation Performance of Polymeric Membranes by Incorporating Amine-Appended Porous Polymers. J. Memb. Sci. 2019, 569, 149–156. [Google Scholar] [CrossRef]
- Rodríguez-Jardón, L.; López-González, M.; Iglesias, M.; Maya, E.M. Effect of porous organic polymers in gas separation properties of polycarbonate based mixed matrix membranes. J. Membr. Sci. 2021, 619, 118795. [Google Scholar] [CrossRef]
- Tlenkopatchev, M.A.; Vargas, J.; López-González, M.; Riande, E. Gas Transport in Polymers Prepared via Metathesis Co-polymerization of exo-N-Phenyl-7-oxanorbornene-5,6-dicarboximide and Norbornene. Macromolecules 2003, 36, 8483–8488. [Google Scholar] [CrossRef]
- Crank, J.; Park, G.S. Methods of measurement. In Diffusion in Polymers; Crank, J., Park, G.S., Eds.; Academic Press: New York, NY, USA, 1968. [Google Scholar]
- Barrer, R.M.; Rideal, E.K. Permeation, diffusion and solution of gases in organic polymers. Trans. Faraday Soc. 1939, 35, 628–643. [Google Scholar] [CrossRef]
- Msayib, K.J.; McKeown, N.B. Inexpensive polyphenylene network polymers with enhanced microporosity. J. Mater. Chem. A 2016, 4, 10110–10113. [Google Scholar] [CrossRef]
- Maya, E.M.; Rangel-Rangel, E.; Díaz, U.; Iglesias, M. Efficient cycloaddition of CO2 to epoxides using novel heterogeneous organocatalysts based on tetramethylguanidine-functionalized porous polyphenylenes. J. CO2 Util. 2018, 25, 170–179. [Google Scholar] [CrossRef]
- Weber, J.; Su, Q.; Antonietti, M.; Thomas, A. Exploring Polymers of Intrinsic Microporosity—Microporous, Soluble Polyamide and Polyimide. Macromol. Rapid Commun. 2007, 28, 1871–1876. [Google Scholar] [CrossRef]
- Bunz, U.H.F.; Enkelmann, V.; Kloppenburg, L.; Jones, D.; Shimizu, K.D.; Claridge, J.B.; Loye, H.-C.; Lieser, G. Solid-State structures of phenyleneethylnylenes: Comparison of monomers and polymers. Chem. Matter. 1999, 11, 1416–1424. [Google Scholar] [CrossRef]
- Yong, H.H.; Park, H.C.; Kang, Y.S.; Won, J.; Kim, W.N. Zeolite-filled polyimide membrane containing 2,4,6-triaminopyrimidine. J. Membr. Sci. 2001, 188, 151–163. [Google Scholar] [CrossRef]
- Nik, O.G.; Chen, X.Y.; Kaliaguine, S. Functionalized Metal Organic Framework-Polyimide Mixed Matrix Membranes for CO 2/CH 4 Separation. J. Memb. Sci. 2012, 413, 48–61. [Google Scholar] [CrossRef]
- Basu, S.; Cano-Odena, A.; Vankelecom, I.F.J. MOF-Containing Mixed-Matrix Membranes for CO2/CH4 and CO2/N2 Binary Gas Mixture Separations. Sep. Purif. Technol. 2011, 81, 31–40. [Google Scholar] [CrossRef]
- Khulbe, K.; Matsuura, T.; Lamarche, G.; Kim, H. The morphology characterisation and performance of dense PPO membranes for gas separation. J. Membr. Sci. 1997, 135, 211–223. [Google Scholar] [CrossRef]
- Khulbe, K.C.; Matsuura, T.; Lamarche, G.; Lamarche, A.-M. X-ray diffraction analysis of dense PPO membranes. J. Membr. Sci. 2000, 170, 81–89. [Google Scholar] [CrossRef]
- Aguilar-Vega, M.; Paul, D.R. Gas transport properties of polyphenylene ethers. J. Polym. Sci. Part B Polym. Phys. 1993, 31, 1577–1589. [Google Scholar] [CrossRef]
- Compañ, V.; Del Castillo, L.F.; Hernández, S.I.; López-González, M.M.; Riande, E. Crystallinity effect on the gas transport in semicrystalline coextruded films based on linear low density polyethylene. J. Polym. Sci. Part B Polym. Phys. 2010, 48, 634–642. [Google Scholar] [CrossRef]
- Aitken, C.L.; McHattie, J.S.; Paul, D.R. Dynamic mechanical behavior of polysulfones. Macromolecules 1992, 25, 2910–2922. [Google Scholar] [CrossRef]
- Cha, Y.-J.; Kim, E.-T.; Ahn, T.-K.; Choe, S. Mechanical and Morphological Phase Behavior in Miscible Polyethersulfone and Polyimide Blends. Polym. J. 1994, 26, 1227–1235. [Google Scholar] [CrossRef][Green Version]
- Zhuang, G.L.; Wey, M.Y.; Tseng, H.H. The Density and Crystallinity Properties of PPO-Silica Mixed-Matrix Membranes Produced via the in Situ Sol-Gel Method for H2/CO2 Separation. II: Effect of Thermal Annealing Treatment. Chem. Eng. Res. Des. 2015, 104, 319–332. [Google Scholar] [CrossRef]
- Díaz, K.; Garrido, L.; González, M.M.C.L.; del Castillo, L.F.; Riande, E. CO2 Transport in Polysulfone Membranes Containing Zeolitic Imidazolate Frameworks As Determined by Permeation and PFG NMR Techniques. Macromolecules 2010, 43, 316–325. [Google Scholar] [CrossRef]
- Van Emmerik, P.T.; Smolders, C.A. Differential scanning calorimetry of poly(2,6 Dimethyl-1,4 Phenylene-Oxide)-Toluene. Eur. Polym. J. 1973, 9, 293–300. [Google Scholar]
- Van Krevelen, D.W. Properties of Polymers: Their Estimation and Correlation with Chemical Structure; Elsevier Scientific Pub. Co.: Amsterdam, The Netherlands, 1976. [Google Scholar]
- Petropoulos, J.H. Advances in Membrane Phenomena and Processes; Mika, A.M., Winnicki, T.Z., Eds.; Wroclaw Technical University Press: Wroclaw, Poland, 1989; pp. 45–65. [Google Scholar]
- Costello, L.M.; Koros, W.J. Thermally stable polyimide isomers for membrane-based gas separations at elevated temperatures. J. Polym. Sci. Part B Polym. Phys. 1995, 33, 135–146. [Google Scholar] [CrossRef]
- Contreras, A.P.; Tlenkopatchev, M.A.; López-González, M.D.M.; Riande, E. Synthesis and Gas Transport Properties of New High Glass Transition Temperature Ring-Opened Polynorbornenes. Macromolecules 2002, 35, 4677–4684. [Google Scholar] [CrossRef]
- Maya, E.M.; García-Yoldi, I.; Lozano, A.E.; de la Campa, J.G.; de Abajo, J. Synthesis, Characterization, and Gas Separation Properties of Novel Copolyimides Containing Adamantyl Ester Pendant Groups. Macromolecules 2011, 44, 2780–2790. [Google Scholar] [CrossRef]
- Kesting, R.E.; Fritzche, A.K. Polymeric Gas Separation Membranes; Chapter 1; Wiley-Interscience: New York, NY, USA, 1993. [Google Scholar]
- Vargas, J.; Santiago, A.A.; Tlenkopatchev, M.A.; López-González, M.; Riande, E. Gas transport in membranes based on poly-norbornenes with fluorinated dicarboximide side moieties. J. Membr. Sci. 2010, 361, 78–88. [Google Scholar] [CrossRef]
- Yang, L.; Tian, Z.; Zhang, X.; Wu, X.; Wu, Y.; Wang, Y.; Peng, D.; Wang, S.; Wu, H.; Jiang, Z. Enhanced CO2 selectivities by incorporating CO2-philic PEG-POSS into polymers of intrinsic microporosity membrane. J. Membr. Sci. 2017, 543, 69–78. [Google Scholar] [CrossRef]












| Filler | SBET (m2 g−1) | Pore Vtotal (cm3 g−1) a | ΔPore Size (nm) | Skeletal Density (g cm−3) | Bulk Density (g cm−3) | Vop(%) b |
|---|---|---|---|---|---|---|
| K2Ph-S | 1481 | 0.904 | 2.44 | 1.246 c | 0.586 c | 53 c |
| K2Ph-FC | 1034 | 0.867 | 3.35 | 1.312 | 0.614 | 53 |
| Membrane | Td (°C) | Tg | Skeletal Density a | Bulk Density a | |
|---|---|---|---|---|---|
| Experimental | Calculated | ||||
| M | 640,584 | 326 | - | 1.194 | 1.20 c |
| M@K2Ph-10% | 615,588 | 330 | 1.100 | 1.214 | 1.095 |
| M@K2Ph-20% | 615,588 | 327 | 1.036 | 1.251 | 1.008 |
| PSF | 530 | 190 | - | 1.231 | 1.24 b |
| PSF@K2Ph-20% | 517,546 | 193 | 1.013 | 1.242 | 0.98 |
| PPO | 452,555 | 216 | - | 1.070 | 1.06 d |
| PPO@K2Ph-5% | 427,500 | 218 | 0.925 | 1.124 | 1.023 |
| Membrane (Thickness, µm) | Gas | P, Barrer a | D × 108 b | S × 103 c |
|---|---|---|---|---|
| M (99 ± 1) | O2 | 1.5 | 1.6 | 9.3 |
| N2 | 0.2 | 0.3 | 6.8 | |
| CO2 | 7.8 | 0.4 | 202.8 | |
| H2 | 19.7 | 116.6 | 1.7 | |
| CH4 | 0.2 | 0.05 | 34.3 | |
| C2H4 | 0.3 | 0.02 | 160.9 | |
| M@K2Ph-10% (80 ± 1) | O2 | 2.4 | 1.6 | 15.3 |
| N2 | 0.4 | 0.3 | 12.2 | |
| CO2 | 12.1 | 0.4 | 292.0 | |
| H2 | 30.1 | 107.5 | 2.8 | |
| CH4 | 0.3 | 0.05 | 63.5 | |
| C2H4 | 0.5 | 0.02 | 251.3 | |
| M@K2Ph-20% (124 ± 7) | O2 | 3.4 | 2.0 | 17.1 |
| N2 | 0.6 | 0.4 | 15.8 | |
| CO2 | 17.7 | 0.6 | 322.5 | |
| H2 | 40.0 | 149.5 | 2.7 | |
| CH4 | 0.5 | 0.07 | 63.0 | |
| C2H4 | 0.8 | 0.02 | 339.9 | |
| PSF (64 ± 2) | O2 | 1.0 | 3.7 | 2.8 |
| N2 | 0.2 | 1.3 | 1.5 | |
| CO2 | 5.7 | 1.1 | 52.9 | |
| H2 | 7.9 | 158.1 | 0.5 | |
| CH4 | 0.25 | 0.3 | 8.4 | |
| C2H4 | 0.4 | 0.07 | 51.9 | |
| PSF@K2Ph-20% (70 ± 2) | O2 | 1.5 | 1.6 | 9.0 |
| N2 | 0.3 | 0.4 | 7.2 | |
| CO2 | 8.3 | 0.6 | 147.3 | |
| H2 | 14.4 | 62.9 | 2.3 | |
| CH4 | 0.3 | 0.09 | 33.9 | |
| C2H4 | 0.4 | 0.03 | 152.3 | |
| PPO (128 ± 2) | O2 | 11.5 | 13.1 | 8.8 |
| N2 | 2.3 | 4.1 | 5.6 | |
| CO2 | 53.0 | 5.9 | 90.5 | |
| H2 | 91.9 | 449.9 | 2.0 | |
| CH4 | 2.8 | 0.9 | 30.3 | |
| C2H4 | 3.6 | 0.3 | 146.1 | |
| PPO@K2Ph-5% (129 ± 2) | O2 | 10.6 | 11.9 | 8.9 |
| N2 | 2.3 | 3.9 | 6.0 | |
| CO2 | 51.6 | 4.9 | 105.9 | |
| H2 | 84.0 | 495.5 | 1.7 | |
| CH4 | 2.5 | 0.9 | 28.4 | |
| C2H4 | 4.09 | 0.2 | 242.6 |
| Membrane | O2/N2 | CO2/N2 | CO2/CH4 | CO2/C2H4 | H2/CO2 | H2/CH4 | H2/C2H4 | C2H4/CH4 |
|---|---|---|---|---|---|---|---|---|
| M | 7.5 | 39.0 | 39.0 | 26.0 | 2.5 | 98.5 | 65.7 | 1.5 |
| M@K2Ph-10% | 6.0 | 30.2 | 40.3 | 24.2 | 2.5 | 100.3 | 60.2 | 1.7 |
| M@K2Ph-20% | 5.7 | 29.5 | 35.4 | 22.1 | 2.3 | 80.0 | 50.0 | 1.6 |
| PSF | 5.0 | 28.5 | 22.8 | 14.3 | 1.4 | 31.6 | 19.8 | 1.6 |
| PSF@K2Ph-20% | 5.0 | 27.7 | 27.7 | 20.8 | 1.7 | 48.0 | 36.0 | 1.3 |
| PPO | 5.0 | 23.0 | 18.9 | 14.7 | 1.7 | 32.8 | 25.5 | 1.3 |
| PPO@K2Ph-5% | 4.6 | 22.4 | 20.6 | 12.6 | 1.6 | 33.6 | 20.5 | 1.6 |
Publisher’s Note: MDPI stays neutral with regard to jurisdictional claims in published maps and institutional affiliations. |
© 2021 by the authors. Licensee MDPI, Basel, Switzerland. This article is an open access article distributed under the terms and conditions of the Creative Commons Attribution (CC BY) license (https://creativecommons.org/licenses/by/4.0/).
Share and Cite
Martinez-Tirado, R.; Yuriychuk, N.; Iglesias, M.; López-González, M.; Maya, E.M. Mixed Matrix Membranes Containing a Biphenyl-Based Knitting Aryl Polymer and Gas Separation Performance. Membranes 2021, 11, 914. https://doi.org/10.3390/membranes11120914
Martinez-Tirado R, Yuriychuk N, Iglesias M, López-González M, Maya EM. Mixed Matrix Membranes Containing a Biphenyl-Based Knitting Aryl Polymer and Gas Separation Performance. Membranes. 2021; 11(12):914. https://doi.org/10.3390/membranes11120914
Chicago/Turabian StyleMartinez-Tirado, Raquel, Nastasia Yuriychuk, Marta Iglesias, Mar López-González, and Eva M. Maya. 2021. "Mixed Matrix Membranes Containing a Biphenyl-Based Knitting Aryl Polymer and Gas Separation Performance" Membranes 11, no. 12: 914. https://doi.org/10.3390/membranes11120914
APA StyleMartinez-Tirado, R., Yuriychuk, N., Iglesias, M., López-González, M., & Maya, E. M. (2021). Mixed Matrix Membranes Containing a Biphenyl-Based Knitting Aryl Polymer and Gas Separation Performance. Membranes, 11(12), 914. https://doi.org/10.3390/membranes11120914

