Factors Associated with Influenza Vaccination Among Urban Community-Dwelling Chinese Elderly: Results from a Multicity Cross-Sectional Study
Abstract
1. Introduction
2. Materials and Methods
2.1. Study Design and Participants
2.2. Measures
2.3. Statistically Analysis
3. Results
3.1. Subject Characteristics
3.2. Vaccination Uptake
3.3. Determinants of Vaccination
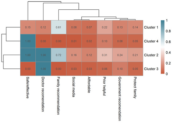
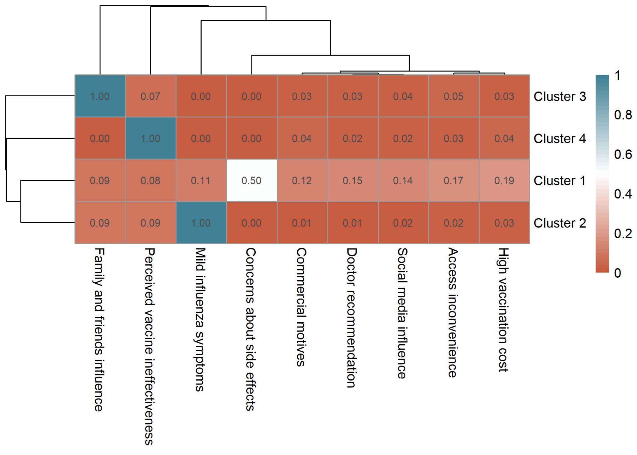
3.4. Vaccination Motivations and Reasons
4. Discussion
5. Conclusions
Supplementary Materials
Author Contributions
Funding
Institutional Review Board Statement
Informed Consent Statement
Data Availability Statement
Acknowledgments
Conflicts of Interest
References
- Iuliano, A.D.; Roguski, K.M.; Chang, H.H.; Muscatello, D.J.; Palekar, R.; Tempia, S.; Cohen, C.; Gran, J.M.; Schanzer, D.; Cowling, B.J.; et al. Estimates of global seasonal influenza-associated respiratory mortality: A modelling study. Lancet 2018, 391, 1285–1300. [Google Scholar] [CrossRef]
- Bartoszko, J.; Loeb, M. The burden of influenza in older adults: Meeting the challenge. Aging Clin. Exp. Res. 2021, 33, 711–717. [Google Scholar] [CrossRef] [PubMed]
- Cheng, P.Y.; Palekar, R.; Azziz-Baumgartner, E.; Iuliano, D.; Alencar, A.P.; Bresee, J.; Oliva, O.; de Souza Mde, F.; Widdowson, M.A. Burden of influenza-associated deaths in the Americas, 2002–2008. Influenza Other Respir. Viruses 2015, 9 (Suppl. 1), 13–21. [Google Scholar] [CrossRef]
- Li, L.; Liu, Y.; Wu, P.; Peng, Z.; Wang, X.; Chen, T.; Wong, J.Y.T.; Yang, J.; Bond, H.S.; Wang, L.; et al. Influenza-associated excess respiratory mortality in China, 2010–2015: A population-based study. Lancet Public Health 2019, 4, e473–e481. [Google Scholar] [CrossRef]
- Rondy, M.; El Omeiri, N.; Thompson, M.G.; Levêque, A.; Moren, A.; Sullivan, S.G. Effectiveness of influenza vaccines in preventing severe influenza illness among adults: A systematic review and meta-analysis of test-negative design case-control studies. J. Infect. 2017, 75, 381–394. [Google Scholar] [CrossRef]
- Vaccines against influenza WHO position paper—November 2012. Wkly. Epidemiol. Rec. 2012, 87, 461–476.
- Dilokthornsakul, P.; Lan, L.M.; Thakkinstian, A.; Hutubessy, R.; Lambach, P.; Chaiyakunapruk, N. Economic evaluation of seasonal influenza vaccination in elderly and health workers: A systematic review and meta-analysis. EClinicalMedicine 2022, 47, 101410. [Google Scholar] [CrossRef]
- Ting, E.E.K.; Sander, B.; Ungar, W.J. Systematic review of the cost-effectiveness of influenza immunization programs. Vaccine 2017, 35, 1828–1843. [Google Scholar] [CrossRef] [PubMed]
- Zheng, J.; Zhou, Y.; Wang, H.; Liang, X. The role of the China Experts Advisory Committee on Immunization Program. Vaccine 2010, 28 (Suppl. 1), A84–A87. [Google Scholar] [CrossRef] [PubMed]
- Yang, J.; Atkins, K.E.; Feng, L.; Pang, M.; Zheng, Y.; Liu, X.; Cowling, B.J.; Yu, H. Seasonal influenza vaccination in China: Landscape of diverse regional reimbursement policy, and budget impact analysis. Vaccine 2016, 34, 5724–5735. [Google Scholar] [CrossRef]
- Global burden and strength of evidence for 88 risk factors in 204 countries and 811 subnational locations, 1990-2021: A systematic analysis for the Global Burden of Disease Study 2021. Lancet 2024, 403, 2162–2203. [CrossRef]
- European Centre for Disease Prevention and Control. Seasonal Influenza Vaccination and Antiviral Use in Europe; Overview of vaccination recommendations and coverage rates in the EU Member States for the 2013–14 and 2014–15 influenza seasons; European Centre for Disease Prevention and Control: Solna, Sweden, 2016.
- Li, Q.; Zhang, M.; Chen, H.; Wu, F.; Xian, J.; Zheng, L.; Liang, M.; Cao, H.; Zhou, X.; Gu, Z.; et al. Influenza Vaccination Coverage among Older Adults with Hypertension in Shenzhen, China: A Cross-Sectional Survey during the COVID-19 Pandemic. Vaccines 2021, 9, 1105. [Google Scholar] [CrossRef]
- Ye, C.; Zhu, W.; Yu, J.; Li, Z.; Hu, W.; Hao, L.; Wang, Y.; Xu, H.; Sun, Q.; Zhao, G. Low coverage rate and awareness of influenza vaccine among older people in Shanghai, China: A cross-sectional study. Hum. Vaccin. Immunother. 2018, 14, 2715–2721. [Google Scholar] [CrossRef]
- Wu, S.; Su, J.; Yang, P.; Zhang, H.; Li, H.; Chu, Y.; Hua, W.; Li, C.; Tang, Y.; Wang, Q. Factors associated with the uptake of seasonal influenza vaccination in older and younger adults: A large, population-based survey in Beijing, China. BMJ Open 2017, 7, e017459. [Google Scholar] [CrossRef]
- Zhou, L.; Su, Q.; Xu, Z.; Feng, A.; Jin, H.; Wang, S.; Feng, Z. Seasonal influenza vaccination coverage rate of target groups in selected cities and provinces in China by season (2009/10 to 2011/12). PLoS ONE 2013, 8, e73724. [Google Scholar] [CrossRef] [PubMed]
- Zimmerman, R.K.; Raymund, M.; Janosky, J.E.; Nowalk, M.P.; Fine, M.J. Sensitivity and specificity of patient self-report of influenza and pneumococcal polysaccharide vaccinations among elderly outpatients in diverse patient care strata. Vaccine 2003, 21, 1486–1491. [Google Scholar] [CrossRef]
- Statista. Influenza Vaccination Coverage Rate Among Older Adults in Selected Developed Countries 2022. Available online: https://www.statista.com/statistics/283283/vaccination-coverage-against-influenza/ (accessed on 23 July 2025).
- Karki, S.; Dyda, A.; Newall, A.; Heywood, A.; MacIntyre, C.R.; McIntyre, P.; Banks, E.; Liu, B. Comparison of influenza vaccination coverage between immigrant and Australian-born adults. Vaccine 2016, 34, 6388–6395. [Google Scholar] [CrossRef]
- Chen, C.; Liu, X.; Yan, D.; Zhou, Y.; Ding, C.; Chen, L.; Lan, L.; Huang, C.; Jiang, D.; Zhang, X.; et al. Global influenza vaccination rates and factors associated with influenza vaccination. Int. J. Infect. Dis. 2022, 125, 153–163. [Google Scholar] [CrossRef]
- Roller-Wirnsberger, R.; Lindner, S.; Kolosovski, L.; Platzer, E.; Dovjak, P.; Flick, H.; Tziraki, C.; Illario, M. The role of health determinants in the influenza vaccination uptake among older adults (65+): A scope review. Aging Clin. Exp. Res. 2021, 33, 2123–2132. [Google Scholar] [CrossRef] [PubMed]
- Wang, X.; Jiang, W.; Yu, Z.; Jiang, W.; Zhu, X.; Wang, Z.; Sun, J.; Zhang, H. Government livelihood project—Free influenza vaccination for the older population in China: The example of Zhejiang Province. Front. Public. Health 2025, 13, 1571499. [Google Scholar] [CrossRef]
- Zhou, Y.; Tang, J.; Zhang, J.; Wu, Q. Impact of the coronavirus disease 2019 epidemic and a free influenza vaccine strategy on the willingness of residents to receive influenza vaccines in Shanghai, China. Hum. Vaccin. Immunother. 2021, 17, 2289–2292. [Google Scholar] [CrossRef] [PubMed]
- Takayama, M.; Wetmore, C.M.; Mokdad, A.H. Characteristics associated with the uptake of influenza vaccination among adults in the United States. Prev. Med. 2012, 54, 358–362. [Google Scholar] [CrossRef]
- Khan, S.R.; Hall, A.G.; Tanner, R.J.; Marlow, N.M. Association between race/ethnicity and disability status and receipt of vaccines among older adults in Florida. Disabil. Health J. 2018, 11, 339–344. [Google Scholar] [CrossRef]
- Gazibara, T.; Kovacevic, N.; Kisic-Tepavcevic, D.; Nurkovic, S.; Kurtagic, I.; Gazibara, T.; Pekmezovic, T. Flu vaccination among older persons: Study of knowledge and practices. J. Health Popul. Nutr. 2019, 38, 2. [Google Scholar] [CrossRef] [PubMed]
- Cho, H.M.; Kim, J.Y.; Hwang, S.E.; Kim, J.C.; Kim, M.Y.; Lee, S.H. Association between Living Arrangements and Influenza Vaccination Rates among Elderly South Korean People: The Fifth Korea National Health and Nutrition Examination Survey (KNHANES V-2). Korean J. Fam. Med. 2015, 36, 186–190. [Google Scholar] [CrossRef] [PubMed]
- Lau, J.T.; Yang, X.; Tsui, H.Y.; Kim, J.H. Prevalence of influenza vaccination and associated factors among community-dwelling Hong Kong residents of age 65 or above. Vaccine 2006, 24, 5526–5534. [Google Scholar] [CrossRef]
- Roy, M.; Sherrard, L.; Dubé, È.; Gilbert, N.L. Determinants of non-vaccination against seasonal influenza. Health Rep. 2018, 29, 12–22. [Google Scholar]
- Seo, J.; Lim, J. Trends in influenza vaccination coverage rates in South Korea from 2005 to 2014: Effect of public health policies on vaccination behavior. Vaccine 2018, 36, 3666–3673. [Google Scholar] [CrossRef] [PubMed]
- Kwon, D.S.; Kim, K.; Park, S.M. Factors associated with influenza vaccination coverage among the elderly in South Korea: The Fourth Korean National Health and Nutrition Examination Survey (KNHANES IV). BMJ Open 2016, 6, e012618. [Google Scholar] [CrossRef]
- Nagata, J.M.; Hernández-Ramos, I.; Kurup, A.S.; Albrecht, D.; Vivas-Torrealba, C.; Franco-Paredes, C. Social determinants of health and seasonal influenza vaccination in adults ≥65 years: A systematic review of qualitative and quantitative data. BMC Public. Health 2013, 13, 388. [Google Scholar] [CrossRef]
- Endrich, M.M.; Blank, P.R.; Szucs, T.D. Influenza vaccination uptake and socioeconomic determinants in 11 European countries. Vaccine 2009, 27, 4018–4024. [Google Scholar] [CrossRef]
- Francisco, P.M.; Borim, F.S.; Neri, A.L. Vaccination against influenza in the elderly: Data from FIBRA, Campinas, São Paulo, Brazil. Cien Saude Colet. 2015, 20, 3775–3786. [Google Scholar] [CrossRef]
- Martínez-Baz, I.; Aguilar, I.; Morán, J.; Albéniz, E.; Aldaz, P.; Castilla, J. Factors associated with continued adherence to influenza vaccination in the elderly. Prev. Med. 2012, 55, 246–250. [Google Scholar] [CrossRef]
- Wershof Schwartz, A.; Clarfield, A.M.; Doucette, J.T.; Valinsky, L.; Karpati, T.; Landrigan, P.J.; Sternberg, S.A. Disparities in pneumococcal and influenza immunization among older adults in Israel: A cross-sectional analysis of socio-demographic barriers to vaccination. Prev. Med. 2013, 56, 337–340. [Google Scholar] [CrossRef] [PubMed]
- Mo, P.K.; Lau, J.T. Influenza vaccination uptake and associated factors among elderly population in Hong Kong: The application of the Health Belief Model. Health Educ. Res. 2015, 30, 706–718. [Google Scholar] [CrossRef] [PubMed]
- Oh, M.G.; Han, M.A.; Yun, N.R.; Park, J.; Ryu, S.Y.; Kim, D.M.; Choi, S.W. A Population-Based, Nationwide Cross-Sectional Study on Influenza Vaccination Status among Cancer Survivors in Korea. Int. J. Environ. Res. Public. Health 2015, 12, 10133–10149. [Google Scholar] [CrossRef]
- Dyda, A.; MacIntyre, C.R.; McIntyre, P.; Newall, A.T.; Banks, E.; Kaldor, J.; Liu, B. Factors associated with influenza vaccination in middle and older aged Australian adults according to eligibility for the national vaccination program. Vaccine 2015, 33, 3299–3305. [Google Scholar] [CrossRef]
- Okoli, G.N.; Lam, O.L.T.; Racovitan, F.; Reddy, V.K.; Righolt, C.H.; Neilson, C.; Chit, A.; Thommes, E.; Abou-Setta, A.M.; Mahmud, S.M. Seasonal influenza vaccination in older people: A systematic review and meta-analysis of the determining factors. PLoS ONE 2020, 15, e0234702. [Google Scholar] [CrossRef]
- Zürcher, K.; Zwahlen, M.; Berlin, C.; Egger, M.; Fenner, L. Trends in influenza vaccination uptake in Switzerland: Swiss Health Survey 2007 and 2012. Swiss. Med. Wkly 2019, 149, w14705. [Google Scholar] [CrossRef]
- Ho, H.J.; Tan, Y.R.; Cook, A.R.; Koh, G.; Tham, T.Y.; Anwar, E.; Hui Chiang, G.S.; Lwin, M.O.; Chen, M.I. Increasing Influenza and Pneumococcal Vaccination Uptake in Seniors Using Point-of-Care Informational Interventions in Primary Care in Singapore: A Pragmatic, Cluster-Randomized Crossover Trial. Am. J. Public. Health 2019, 109, 1776–1783. [Google Scholar] [CrossRef]
- Aguilar, I.; Reyes, M.; Martinez-Baz, I.; Guevara, M.; Albeniz, E.; Belza, M.; Castilla, J. Use of the vaccination register to evaluate influenza vaccine coverage in seniors in the 2010/11 influenza season, Navarre, Spain. Euro Surveill. 2012, 17, 20154. [Google Scholar] [CrossRef]
- Banach, D.B.; Ornstein, K.; Factor, S.H.; Soriano, T.A. Seasonal influenza vaccination among homebound elderly receiving home-based primary care in New York City. J. Community Health 2012, 37, 10–14. [Google Scholar] [CrossRef]
- Barbadoro, P.; Recanatini, C.; Ponzio, E.; Illuminati, D.; D’Errico, M.M.; Prospero, E. Barriers to influenza vaccine uptake in obese people in Italy: Changes 2005-2013. Eur. J. Intern. Med. 2016, 34, 34–38. [Google Scholar] [CrossRef] [PubMed]
- Byeon, K.H.; Kim, J.; Choi, B.; Choi, B.Y. The coverage rates for influenza vaccination and related factors in Korean adults aged 50 and older with chronic disease: Based on 2016 Community Health Survey data. Epidemiol. Health 2018, 40, e2018034. [Google Scholar] [CrossRef]
- Hellfritzsch, M.; Thomsen, R.W.; Baggesen, L.M.; Larsen, F.B.; Sørensen, H.T.; Christiansen, C.F. Lifestyle, socioeconomic characteristics, and medical history of elderly persons who receive seasonal influenza vaccination in a tax-supported healthcare system. Vaccine 2017, 35, 2396–2403. [Google Scholar] [CrossRef] [PubMed]
- Chi, R.C.; Neuzil, K.M. The association of sociodemographic factors and patient attitudes on influenza vaccination rates in older persons. Am. J. Med. Sci. 2004, 327, 113–117. [Google Scholar] [CrossRef]
- Kwong, E.W.; Lam, I.O.; Chan, T.M. What factors affect influenza vaccine uptake among community-dwelling older Chinese people in Hong Kong general outpatient clinics? J. Clin. Nurs. 2009, 18, 960–971. [Google Scholar] [CrossRef]
- Vukovic, V.; Lillini, R.; Asta, F.; Chini, F.; C, D.E.W. Analysis of influenza vaccination coverage among the elderly living in Rome, based on a deprivation index, 2009-2013. J. Prev. Med. Hyg. 2018, 59, E31–E37. [Google Scholar] [CrossRef]
- Sherman, S.M.; Sim, J.; Amlôt, R.; Cutts, M.; Dasch, H.; Rubin, G.J.; Sevdalis, N.; Smith, L.E. Intention to have the seasonal influenza vaccination during the COVID-19 pandemic among eligible adults in the UK: A cross-sectional survey. BMJ Open 2021, 11, e049369. [Google Scholar] [CrossRef]
- Burns, V.M.; Castillo, F.M.; Coldren, R.L.; Prosser, T.; Howell, R.L.; Kabbur, M.B. Perceptions of Seasonal Influenza Vaccine Among U.S. Army Civilians and Dependents in the Kaiserslautern Military Community: A Mixed-Methods Survey. Mil. Med. 2022, 187, e394–e403. [Google Scholar] [CrossRef]
- Cartter, M.L.; Renzullo, P.O.; Helgerson, S.D.; Martin, S.M.; Jekel, J.F. Influenza outbreaks in nursing homes: How effective is influenza vaccine in the institutionalized elderly? Infect. Control Hosp. Epidemiol. 1990, 11, 473–478. [Google Scholar] [CrossRef]
- Chernesky, M.; O’Neill, D.; Pickard, L.; Castriciano, S.; Kraftcheck, D.; Sellors, J.; McLean, D.; Flett, N.; Mahony, J. Immunogenicity and adverse reactions of influenza vaccination in elderly patients given acetaminophen or placebo. Clin. Diagn. Virol. 1993, 1, 129–136. [Google Scholar] [CrossRef]
- Thomas, R.E.; Russell, M.; Lorenzetti, D. Interventions to increase influenza vaccination rates of those 60 years and older in the community. Cochrane Database Syst. Rev. 2010, Cd005188. [Google Scholar] [CrossRef]
- Rusli, K.D.B.; Bryar, R. Maximising influenza vaccination awareness and uptake among older adults in Singapore. Br. J. Community Nurs. 2018, 23, 296–301. [Google Scholar] [CrossRef]
- McIntyre, A.; Zecevic, A.; Diachun, L. Influenza vaccinations: Older adults’ decision-making process. Can. J. Aging 2014, 33, 92–98. [Google Scholar] [CrossRef]
- Leung, K.C.; Mui, C.; Chiu, W.Y.; Ng, Y.Y.; Chen, M.H.Y.; Ho, P.H.; Kwok, C.P.; Lam, S.S.M.; Wong, C.Y.; Wong, K.Y.; et al. Impact of patient education on influenza vaccine uptake among community-dwelling elderly: A randomized controlled trial. Health Educ. Res. 2017, 32, 455–464. [Google Scholar] [CrossRef] [PubMed]
- Regan, A.K.; Bloomfield, L.; Peters, I.; Effler, P.V. Randomized Controlled Trial of Text Message Reminders for Increasing Influenza Vaccination. Ann. Fam. Med. 2017, 15, 507–514. [Google Scholar] [CrossRef]
- Yokum, D.; Lauffenburger, J.C.; Ghazinouri, R.; Choudhry, N.K. Letters designed with behavioural science increase influenza vaccination in Medicare beneficiaries. Nat. Hum. Behav. 2018, 2, 743–749. [Google Scholar] [CrossRef]
- Doherty, M.; Schmidt-Ott, R.; Santos, J.I.; Stanberry, L.R.; Hofstetter, A.M.; Rosenthal, S.L.; Cunningham, A.L. Vaccination of special populations: Protecting the vulnerable. Vaccine 2016, 34, 6681–6690. [Google Scholar] [CrossRef]
- Godoy, P.; Castilla, J.; Mayoral, J.M.; Martín, V.; Astray, J.; Torner, N.; Toledo, D.; Soldevila, N.; González-Candelas, F.; García, S.; et al. Influenza vaccination of primary healthcare physicians may be associated with vaccination in their patients: A vaccination coverage study. BMC Fam. Pract. 2015, 16, 44. [Google Scholar] [CrossRef]





| Variable | N (%) | Aware (%) | p-Value * | |
|---|---|---|---|---|
| Socio-demographic characteristic | Region | 0.015 | ||
| Beijing | 2180 (16.3) | 2027 (93.0) | ||
| Chengdu | 2059 (15.4) | 1527 (74.2) | ||
| Chongqing | 2523 (18.9) | 1665 (66.0) | ||
| Hangzhou | 2208 (16.5) | 1959 (88.7) | ||
| Qingdao | 2140 (16.0) | 1567 (73.2) | ||
| Shenzhen | 2253 (16.9) | 1756 (77.9) | ||
| Gender | 1.000 | |||
| Male | 6048 (45.3) | 4712 (77.9) | ||
| Female | 7315 (54.7) | 5789 (79.1) | ||
| Age (year) | 0.015 | |||
| 60–65 | 3825 (28.7) | 3063 (80.1) | ||
| 65–70 | 3843 (28.8) | 3052 (79.4) | ||
| 70–75 | 2755 (20.6) | 2141 (77.7) | ||
| 75–80 | 1547 (11.6) | 1206 (78.0) | ||
| 80–85 | 785 (5.9) | 582 (74.1) | ||
| ≥85 | 598 (4.5) | 457 (76.4) | ||
| Education | 0.015 | |||
| Low | 3720 (27.8) | 2429 (65.3) | ||
| Medium-low | 3992 (29.8) | 3125 (78.3) | ||
| Medium-high | 3461 (25.9) | 2959 (85.5) | ||
| High | 2190 (16.4) | 1978 (90.3) | ||
| Monthly Personal Income | 0.015 | |||
| ≤2500 CNY | 3850 (28.8) | 2440 (63.4) | ||
| 2501–5000 CNY | 5829 (43.6) | 4836 (83.0) | ||
| 5001–7500 CNY | 2457 (18.4) | 2145 (87.3) | ||
| ≥7500 CNY | 1227 (9.2) | 1080 (88.0) | ||
| Marital Status | 0.015 | |||
| Married/Cohabiting | 11,658 (87.2) | 9284 (79.6) | ||
| Single/widowed | 1705 (12.8) | 1217 (71.4) | ||
| Urban Employee Basic Medical Insurance | 0.015 | |||
| Yes | 7919 (59.2) | 6779 (85.6) | ||
| No | 5444 (40.8) | 3722 (68.4) | ||
| Urban-Rural Resident Basic Medical Insurance | 0.015 | |||
| Yes | 4840 (36.2) | 3391 (70.1) | ||
| No | 8523 (63.8) | 7110 (83.4) | ||
| Health-related characteristic | Self-care ability | 0.015 | ||
| Yes | 11,319 (84.7) | 9061 (80.0) | ||
| No | 2044 (15.3) | 1440 (70.5) | ||
| Self-assessed health status | 0.015 | |||
| Poor | 1403 (10.5) | 968 (69.0) | ||
| Fair | 5367 (40.2) | 4192 (78.1) | ||
| Good | 6593 (49.3) | 5341 (81.0) | ||
| Hypertension | 0.015 | |||
| Yes | 6234 (46.7) | 4993 (80.1) | ||
| No | 7129 (53.3) | 5508 (77.3) | ||
| Diabetes | 1.000 | |||
| Yes | 3186 (23.8) | 2518 (79.0) | ||
| No | 10,177 (76.2) | 7983 (78.4) | ||
| Hyperlipidemia | 0.015 | |||
| Yes | 2183 (16.3) | 1840 (84.3) | ||
| No | 11,180 (83.7) | 8661 (77.5) | ||
| Stroke/Cerebrovascular Disease | 0.885 | |||
| Yes | 517 (3.9) | 389 (75.2) | ||
| No | 12,846 (96.1) | 10,112 (78.7) | ||
| COPD/Respiratory diseases | 1.000 | |||
| Yes | 676 (9.1) | 526 (77.8) | ||
| No | 12,687 (94.9) | 9975 (78.6) | ||
| Variable | Vaccinated N (%) | p-Value * |
|---|---|---|
| Awareness | 0.018 | |
| Yes | 4233 (40.3) | |
| No | 317 (11.1) | |
| Region | 0.018 | |
| Beijing | 708 (32.5) | |
| Chengdu | 645 (31.3) | |
| Chongqing | 801 (31.7) | |
| Hangzhou | 1013 (45.9) | |
| Qingdao | 600 (28.0) | |
| Shenzhen | 783 (34.8) | |
| Gender | 1.000 | |
| Male | 2110 (34.9) | |
| Female | 2440 (33.4) | |
| Age (year) | 1.000 | |
| 60–65 | 1313 (34.2) | |
| 65–70 | 1327 (34.5) | |
| 70–75 | 911 (33.1) | |
| 75–80 | 545 (35.2) | |
| 80–85 | 251 (32.0) | |
| ≥85 | 44 (42.3) | |
| Education | 0.018 | |
| Low | 1043 (28.0) | |
| Medium-low | 1383 (34.6) | |
| Medium-high | 1256 (36.3) | |
| High | 868 (39.6) | |
| Monthly Personal Income | 0.018 | |
| ≤2500 CNY | 1001 (26.0) | |
| 2501–5000 CNY | 2153 (36.9) | |
| 5001–7500 CNY | 937 (38.1) | |
| ≥7500 CNY | 459 (37.4) | |
| Marital Status | 0.018 | |
| Married/Cohabiting | 4040 (34.7) | |
| Single/widowed | 510 (29.9) | |
| Urban Employee Basic Medical Insurance | 0.018 | |
| Yes | 2850 (36.0) | |
| No | 1700 (31.2) | |
| Urban-Rural Resident Basic Medical Insurance | 0.018 | |
| Yes | 1560 (35.1) | |
| No | 2990 (32.2) | |
| Self-care ability | 0.594 | |
| Yes | 3812 (33.7) | |
| No | 738 (36.1) | |
| Self-assessed health status | 0.558 | |
| Poor | 465 (33.1) | |
| Fair | 1768 (32.9) | |
| Good | 2317 (35.1) | |
| Number of comorbidities | 0.126 | |
| zero | 1470 (33.0) | |
| One | 1721 (33.7) | |
| Two | 833 (34.7) | |
| Three or more | 526 (37.9) | |
| Hypertension | 1.000 | |
| Yes | 2169 (33.8) | |
| No | 2381 (33.4) | |
| Diabetes | 1.000 | |
| Yes | 1128 (35.4) | |
| No | 3422 (33.6) | |
| Hyperlipidemia | 0.198 | |
| Yes | 795 (36.4) | |
| No | 3755 (33.6) | |
| Stroke/Cerebrovascular Disease | 1.000 | |
| Yes | 517 (31.1) | |
| No | 12846 (34.2) | |
| COPD/Respiratory diseases | 0.126 | |
| Yes | 263 (38.9) | |
| No | 4287 (33.8) | |
| Self-reported Indicative of flu immunization | 0.018 | |
| Eligible | 3377 (74.2) | |
| Ineligible | 1173 (25.8) |
| Variables | Count | Univariate Logistic Regression | Multivariate Logistic Regression | ||||
|---|---|---|---|---|---|---|---|
| OR | 95% CI | p-Value | OR | 95% CI | p-Value | ||
| Gender | |||||||
| Female | 7315 | 1 | 1 | 1 | 1 | ||
| Male | 6048 | 1.071 | 0.996–1.150 | 0.063 | 1.029 | 0.956–1.107 | 0.445 |
| Age | |||||||
| 60–<65 | 3835 | 1 | 1 | 1 | 1 | ||
| 65–<70 | 3843 | 1.013 | 0.922–1.113 | 0.787 | 1.107 | 0.925–1.118 | 0.729 |
| 60–<75 | 2755 | 0.949 | 0.855–1.053 | 0.322 | 0.982 | 0.884–1.091 | 0.737 |
| 75–<80 | 1547 | 1.045 | 0.923–1.182 | 0.388 | 1.123 | 0.990–1.275 | 0.071 |
| 80–<85 | 785 | 0.903 | 0.766–1.064 | 0.222 | 0.990 | 0.837–1.171 | 0.908 |
| ≥85 | 104 | 1.409 | 0.949–2.090 | 0.09 | 1.114 | 0.920–1.348 | 0.269 |
| Education | |||||||
| Low | 3720 | 1 | 1 | 1 | 1 | ||
| Medium-low | 3992 | 1.361 | 1.235–1.499 | <0.001 | 1.181 | 1.062–1.313 | 0.002 |
| Medium-high | 3461 | 1.462 | 1.321–1.615 | <0.001 | 1.193 | 1.060–1.344 | 0.004 |
| High | 2190 | 1.462 | 1.507–1.884 | <0.001 | 1.382 | 1.196–1.597 | <0.001 |
| Monthly Personal Income | |||||||
| ≤2500 CNY | 3850 | 1 | 1 | 1 | 1 | ||
| 2501–5000 CNY | 5825 | 1.667 | 1.524–1.823 | <0.001 | 1.589 | 1.432–1.764 | <0.001 |
| 5001–7500 CNY | 2457 | 1.755 | 1.574–1.956 | <0.001 | 1.583 | 1.383–1.813 | <0.001 |
| 7500 CNY | 1227 | 1.701 | 1.484–1.949 | <0.001 | 1.468 | 1.236–1.743 | <0.001 |
| Marital Status | |||||||
| Single/widowed | 1705 | 1 | 1 | 1 | 1 | ||
| Married/Cohabiting | 11,658 | 1.243 | 1.113–1.388 | <0.001 | 1.153 | 1.026–1.296 | 0.016 |
| Urban Employee Basic Medical Insurance | |||||||
| No | 5446 | 1 | 1 | 1 | 1 | ||
| Yes | 7917 | 1.239 | 1.152–1.334 | <0.001 | 1.124 | 0.983–1.287 | 0.088 |
| Urban-Rural Resident Basic Medical Insurance | |||||||
| No | 8523 | 1 | 1 | 1 | 1 | ||
| Yes | 4840 | 1.136 | 1.054–1.225 | <0.001 | 1.270 | 1.111–1.452 | <0.001 |
| Risk Factor | Count | Univariate Logistic Regression | Multivariate Logistic Regression | ||||
|---|---|---|---|---|---|---|---|
| OR | 95% CI | p-Value | OR | 95% CI | p-Value | ||
| Self-care ability | |||||||
| Yes | 11,319 | 1 | 1 | 1 | 1 | ||
| No | 2044 | 1.113 | 1.009–1.228 | 0.033 | 1.154 | 1.041–1.280 | 0.006 |
| Self-assessed health status | |||||||
| Poor | 1403 | 1 | 1 | 1 | 1 | ||
| Average | 5367 | 0.991 | 0.875–1.123 | 0.887 | 1.044 | 0.917–1.187 | 0.517 |
| Good | 6593 | 1.093 | 0.967–1.235 | 0.153 | 1.218 | 0.067–1.391 | 0.003 |
| Hypertension | |||||||
| No | 7129 | 1 | 1 | 0.090 | 1 | 1 | |
| Yes | 6234 | 1.064 | 0.990–1.143 | 1.068 | 0.991–1.152 | 0.084 | |
| Diabetes | |||||||
| No | 10,177 | 1 | 1 | 1 | 1 | ||
| Yes | 3186 | 1.082 | 0.995–1.176 | 0.064 | 1.083 | 0.993–1.182 | 0.073 |
| Hyperlipidemia | |||||||
| No | 11,180 | 1 | 1 | 1 | 1 | ||
| Yes | 2183 | 1.133 | 1.029–1.246 | 0.010 | 1.133 | 1.026–1.251 | 0.014 |
| Stroke/Cerebrovascular Disease | |||||||
| No | 12,846 | 1 | 1 | 1 | 1 | ||
| Yes | 517 | 0.871 | 0.721–1.053 | 0.155 | 0.848 | 0.697–1.031 | 0.098 |
| COPD/Respiratory diseases | |||||||
| No | 12,687 | 1 | 1 | 1 | 1 | ||
| Yes | 676 | 1.248 | 1.064- 1.463 | 0.006 | 1.294 | 1.101–1.521 | 0.002 |
| Reason | Degree | Betweenness | Closeness | Eigenvector |
|---|---|---|---|---|
| Safe/effective | 7 | 0 | 8.278 | 0.954 |
| Family recommendation | 7 | 0 | 7.610 | 1.000 |
| Doctor recommendation | 7 | 0 | 8.756 | 0.820 |
| Social media | 7 | 14 | 0.002 | 0.283 |
| Prior helpful | 7 | 0 | 0.001 | 0.687 |
| Government recommendation | 7 | 0 | 9.930 | 0.530 |
| Protect family | 7 | 0 | 0.001 | 0.572 |
| Affordable | 7 | 0 | 0.001 | 0.330 |
| Reason | Degree | Betweenness | Closeness | Eigenvector |
|---|---|---|---|---|
| Mild influenza symptoms | 8 | 0 | 0.001 | 0.999 |
| Perceived vaccine ineffectiveness | 8 | 0 | 0.001 | 0.877 |
| Family and friends influence | 8 | 0 | 0.001 | 0.883 |
| Doctor recommendation | 8 | 26 | 0.003 | 0.215 |
| Social media influence | 8 | 0 | 0.002 | 0.551 |
| Concerns about side effects | 8 | 0 | 0.001 | 0.941 |
| Commercial motives | 8 | 0 | 0.002 | 0.458 |
| Access inconvenience | 8 | 0 | 0.002 | 0.473 |
Disclaimer/Publisher’s Note: The statements, opinions and data contained in all publications are solely those of the individual author(s) and contributor(s) and not of MDPI and/or the editor(s). MDPI and/or the editor(s) disclaim responsibility for any injury to people or property resulting from any ideas, methods, instructions or products referred to in the content. |
© 2025 by the authors. Licensee MDPI, Basel, Switzerland. This article is an open access article distributed under the terms and conditions of the Creative Commons Attribution (CC BY) license (https://creativecommons.org/licenses/by/4.0/).
Share and Cite
Guo, J.; Jiao, X.; Yuan, S.; You, L. Factors Associated with Influenza Vaccination Among Urban Community-Dwelling Chinese Elderly: Results from a Multicity Cross-Sectional Study. Vaccines 2025, 13, 1171. https://doi.org/10.3390/vaccines13111171
Guo J, Jiao X, Yuan S, You L. Factors Associated with Influenza Vaccination Among Urban Community-Dwelling Chinese Elderly: Results from a Multicity Cross-Sectional Study. Vaccines. 2025; 13(11):1171. https://doi.org/10.3390/vaccines13111171
Chicago/Turabian StyleGuo, Jiayue, Xitong Jiao, Shuai Yuan, and Lili You. 2025. "Factors Associated with Influenza Vaccination Among Urban Community-Dwelling Chinese Elderly: Results from a Multicity Cross-Sectional Study" Vaccines 13, no. 11: 1171. https://doi.org/10.3390/vaccines13111171
APA StyleGuo, J., Jiao, X., Yuan, S., & You, L. (2025). Factors Associated with Influenza Vaccination Among Urban Community-Dwelling Chinese Elderly: Results from a Multicity Cross-Sectional Study. Vaccines, 13(11), 1171. https://doi.org/10.3390/vaccines13111171
