Declining Levels of Neutralizing Antibodies to SARS-CoV-2 Omicron Variants Are Enhanced by Hybrid Immunity and Original/Omicron Bivalent Vaccination
Abstract
1. Introduction
2. Materials and Methods
2.1. Study Design
2.2. Recruitment to the Sub-Study
2.3. Participant Consent
2.4. Sample Collection
2.5. Laboratory Analysis
2.5.1. Spike-Pseudotyped Lentivirus Neutralization Assays
2.5.2. Half Maximal Inhibitory Dilution/Concentration (ID50 or IC50) Calculation
2.6. Statistical Analysis
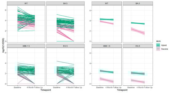
3. Results
Baseline to 4-Month Follow-Up Analysis
4. Discussion
Study Strengths and Limitations
5. Conclusions
Supplementary Materials
Author Contributions
Funding
Institutional Review Board Statement
Informed Consent Statement
Data Availability Statement
Acknowledgments
Conflicts of Interest
References
- Polack, F.P.; Thomas, S.J.; Kitchin, N.; Absalon, J.; Gurtman, A.; Lockhart, S.; Perez, J.L.; Perez Marc, G.; Moreira, E.D.; Zerbini, C.; et al. Safety and Efficacy of the BNT162b2 mRNA COVID-19 Vaccine. N. Engl. J. Med. 2020, 383, 2603–2615. [Google Scholar] [CrossRef] [PubMed]
- Baden, L.R.; El Sahly, H.M.; Essink, B.; Kotloff, K.; Frey, S.; Novak, R.; Diemert, D.; Spector, S.A.; Rouphael, N.; Creech, C.B.; et al. Efficacy and Safety of the mRNA-1273 SARS-CoV-2 Vaccine. N. Engl. J. Med. 2021, 384, 403–416. [Google Scholar] [CrossRef] [PubMed]
- Dean, N.E.; Hogan, J.W.; Schnitzer, M.E. COVID-19 Vaccine Effectiveness and the Test-Negative Design. N. Engl. J. Med. 2021, 385, 1431–1433. [Google Scholar] [CrossRef] [PubMed]
- Keehner, J.; Horton, L.E.; Binkin, N.J.; Laurent, L.C.; Pride, D.; Longhurst, C.A.; Abeles, S.R.; Torriani, F.J. Resurgence of SARS-CoV-2 Infection in a Highly Vaccinated Health System Workforce. N. Engl. J. Med. 2021, 385, 1330–1332. [Google Scholar] [CrossRef] [PubMed]
- Kelly, J.D.; Leonard, S.; Hoggatt, K.J.; Boscardin, W.J.; Lum, E.N.; Moss-Vazquez, T.A.; Andino, R.; Wong, J.K.; Byers, A.; Bravata, D.M.; et al. Incidence of Severe COVID-19 Illness Following Vaccination and Booster with BNT162b2, mRNA-1273, and Ad26.COV2.S Vaccines. JAMA 2022, 328, 1427–1437. [Google Scholar] [CrossRef]
- Skowronski, D.M.; Kaweski, S.E.; Irvine, M.A.; Kim, S.; Chuang, E.S.Y.; Sabaiduc, S.; Fraser, M.; Reyes, R.C.; Henry, B.; Levett, P.N.; et al. Serial cross-sectional estimation of vaccine-and infection-induced SARS-CoV-2 seroprevalence in British Columbia, Canada. Can. Med. Assoc. J. 2022, 194, E1599. [Google Scholar] [CrossRef] [PubMed]
- Murphy, T.J.; Swail, H.; Jain, J.; Anderson, M.; Awadalla, P.; Behl, L.; Brown, P.E.; Charlton, C.L.; Colwill, K.; Drews, S.J.; et al. The evolution of SARS-CoV-2 seroprevalence in Canada: A time-series study, 2020–2023. CMAJ 2023, 195, E1030–E1037. [Google Scholar] [CrossRef] [PubMed]
- Chi, W.Y.; Li, Y.D.; Huang, H.C.; Chan, T.E.H.; Chow, S.Y.; Su, J.H.; Ferrall, L.; Hung, C.F.; Wu, T.C. COVID-19 vaccine update: Vaccine effectiveness, SARS-CoV-2 variants, boosters, adverse effects, and immune correlates of protection. J. Biomed. Sci. 2022, 29, 82. [Google Scholar] [CrossRef]
- Gilboa, M.; Gonen, T.; Barda, N.; Cohn, S.; Indenbaum, V.; Weiss-Ottolenghi, Y.; Amit, S.; Asraf, K.; Joseph, G.; Levin, T.; et al. Factors Associated with Protection from SARS-CoV-2 Omicron Variant Infection and Disease among Vaccinated Health Care Workers in Israel. JAMA Netw. Open 2023, 6, e2314757. [Google Scholar] [CrossRef]
- Wang, Q.; Iketani, S.; Li, Z.; Liu, L.; Guo, Y.; Huang, Y.; Bowen, A.D.; Liu, M.; Wang, M.; Yu, J.; et al. Alarming antibody evasion properties of rising SARS-CoV-2 BQ and XBB subvariants. Cell 2023, 186, 279–286.e278. [Google Scholar] [CrossRef]
- Kirsebom, F.C.M.; Andrews, N.; Stowe, J.; Ramsay, M.; Lopez Bernal, J. Duration of protection of ancestral-strain monovalent vaccines and effectiveness of bivalent BA.1 boosters against COVID-19 hospitalisation in England: A test-negative case-control study. Lancet Infect. Dis. 2023, 23, 1235–1243. [Google Scholar] [CrossRef] [PubMed]
- Kurhade, C.; Zou, J.; Xia, H.; Liu, M.; Chang, H.C.; Ren, P.; Xie, X.; Shi, P.Y. Low neutralization of SARS-CoV-2 Omicron BA.2.75.2, BQ.1.1 and XBB.1 by parental mRNA vaccine or a BA.5 bivalent booster. Nat. Med. 2023, 29, 344–347. [Google Scholar] [CrossRef] [PubMed]
- Tseng, H.F.; Ackerson, B.K.; Bruxvoort, K.J.; Sy, L.S.; Tubert, J.E.; Lee, G.S.; Ku, J.H.; Florea, A.; Luo, Y.; Qiu, S.; et al. Effectiveness of mRNA-1273 vaccination against SARS-CoV-2 omicron subvariants BA.1, BA.2, BA.2.12.1, BA.4, and BA.5. Nat. Commun. 2023, 14, 189. [Google Scholar] [CrossRef] [PubMed]
- Vasin, A.V.; Stukova, M.A. Bivalent omicron (BA.1) booster vaccination against SARS-CoV-2. Lancet Infect. Dis. 2023, 23, 880–881. [Google Scholar] [CrossRef] [PubMed]
- Shrestha, N.K.; Burke, P.C.; Nowacki, A.S.; Simon, J.F.; Hagen, A.; Gordon, S.M. Effectiveness of the Coronavirus Disease 2019 Bivalent Vaccine. Open Forum Infect. Dis. 2023, 10, ofad209. [Google Scholar] [CrossRef] [PubMed]
- Goldblatt, D.; Fiore-Gartland, A.; Johnson, M.; Hunt, A.; Bengt, C.; Zavadska, D.; Snipe, H.D.; Brown, J.S.; Workman, L.; Zar, H.J.; et al. Towards a population-based threshold of protection for COVID-19 vaccines. Vaccine 2022, 40, 306–315. [Google Scholar] [CrossRef] [PubMed]
- Hall, V.J.; Foulkes, S.; Charlett, A.; Atti, A.; Monk, E.J.M.; Simmons, R.; Wellington, E.; Cole, M.J.; Saei, A.; Oguti, B.; et al. SARS-CoV-2 infection rates of antibody-positive compared with antibody-negative health-care workers in England: A large, multicentre, prospective cohort study (SIREN). Lancet 2021, 397, 1459–1469. [Google Scholar] [CrossRef]
- Khoury, D.S.; Schlub, T.E.; Cromer, D.; Steain, M.; Fong, Y.; Gilbert, P.B.; Subbarao, K.; Triccas, J.A.; Kent, S.J.; Davenport, M.P. Correlates of Protection, Thresholds of Protection, and Immunobridging among Persons with SARS-CoV-2 Infection. Emerg. Infect. Dis. 2023, 29, 381–388. [Google Scholar] [CrossRef] [PubMed]
- Walmsley, S.; Nabipoor, M.; Lovblom, L.E.; Ravindran, R.; Colwill, K.; McGeer, A.; Dayam, R.M.; Manase, D.; Gingras, A.C.; on behalf of The STOPCoV Team. Predictors of Breakthrough SARS-CoV-2 Infection after Vaccination. Vaccines 2023, 12, 36. [Google Scholar] [CrossRef]
- Alonso, R.; Gil-Manso, S.; Catalan, P.; Sanchez-Arcilla, I.; Marzola, M.; Correa-Rocha, R.; Munoz, P.; Pion, M.; Gregorio Maranon Microbiology, I.D.C.-S.G. Neutralizing antibody levels detected early after mRNA-based vaccination do not predict by themselves subsequent breakthrough infections of SARS-CoV-2. Front. Immunol. 2024, 15, 1341313. [Google Scholar] [CrossRef]
- Goldblatt, D.; Alter, G.; Crotty, S.; Plotkin, S.A. Correlates of protection against SARS-CoV-2 infection and COVID-19 disease. Immunol. Rev. 2022, 310, 6–26. [Google Scholar] [CrossRef] [PubMed]
- Pons, S.; Uhel, F.; Frapy, E.; Sereme, Y.; Zafrani, L.; Aschard, H.; Skurnik, D. How Protective are Antibodies to SARS-CoV-2, the Main Weapon of the B-Cell Response? Stem Cell Rev. Rep. 2023, 19, 585–600. [Google Scholar] [CrossRef] [PubMed]
- Ibarrondo, F.J.; Hofmann, C.; Ali, A.; Ayoub, P.; Kohn, D.B.; Yang, O.O. Previous Infection Combined with Vaccination Produces Neutralizing Antibodies with Potency against SARS-CoV-2 Variants. mBio 2021, 12, e0265621. [Google Scholar] [CrossRef] [PubMed]
- Garcia-Beltran, W.F.; Lam, E.C.; Astudillo, M.G.; Yang, D.; Miller, T.E.; Feldman, J.; Hauser, B.M.; Caradonna, T.M.; Clayton, K.L.; Nitido, A.D.; et al. COVID-19-neutralizing antibodies predict disease severity and survival. Cell 2021, 184, 476–488.e411. [Google Scholar] [CrossRef]
- Altarawneh, H.N.; Chemaitelly, H.; Ayoub, H.H.; Tang, P.; Hasan, M.R.; Yassine, H.M.; Al-Khatib, H.A.; Smatti, M.K.; Coyle, P.; Al-Kanaani, Z. Effect of prior infection, vaccination, and hybrid immunity against symptomatic BA.1 and BA.2 Omicron infections and severe COVID-19 in Qatar. medRxiv 2022. [Google Scholar] [CrossRef]
- Altarawneh, H.N.; Chemaitelly, H.; Ayoub, H.H.; Tang, P.; Hasan, M.R.; Yassine, H.M.; Al-Khatib, H.A.; Smatti, M.K.; Coyle, P.; Al-Kanaani, Z.; et al. Effects of Previous Infection and Vaccination on Symptomatic Omicron Infections. N. Engl. J. Med. 2022, 387, 21–34. [Google Scholar] [CrossRef]
- Cerqueira-Silva, T.; de Araujo Oliveira, V.; Paixao, E.S.; Florentino, P.T.V.; Penna, G.O.; Pearce, N.; Werneck, G.L.; Barreto, M.L.; Boaventura, V.S.; Barral-Netto, M. Vaccination plus previous infection: Protection during the omicron wave in Brazil. Lancet Infect. Dis. 2022, 22, 945–946. [Google Scholar] [CrossRef] [PubMed]
- Edara, V.V.; Pinsky, B.A.; Suthar, M.S.; Lai, L.; Davis-Gardner, M.E.; Floyd, K.; Flowers, M.W.; Wrammert, J.; Hussaini, L.; Ciric, C.R.; et al. Infection and Vaccine-Induced Neutralizing-Antibody Responses to the SARS-CoV-2 B.1.617 Variants. N. Engl. J. Med. 2021, 385, 664–666. [Google Scholar] [CrossRef] [PubMed]
- Suarez Castillo, M.; Khaoua, H.; Courtejoie, N. Vaccine-induced and naturally-acquired protection against Omicron and Delta symptomatic infection and severe COVID-19 outcomes, France, December 2021 to January 2022. Eurosurveillance 2022, 27, 2200250. [Google Scholar] [CrossRef]
- Wratil, P.R.; Stern, M.; Priller, A.; Willmann, A.; Almanzar, G.; Vogel, E.; Feuerherd, M.; Cheng, C.C.; Yazici, S.; Christa, C.; et al. Three exposures to the spike protein of SARS-CoV-2 by either infection or vaccination elicit superior neutralizing immunity to all variants of concern. Nat. Med. 2022, 28, 496–503. [Google Scholar] [CrossRef]
- Yang, J.; Hong, W.; Lei, H.; He, C.; Lei, W.; Zhou, Y.; Zhao, T.; Alu, A.; Ma, X.; Li, J.; et al. Low levels of neutralizing antibodies against XBB Omicron subvariants after BA.5 infection. Signal Transduct. Target Ther. 2023, 8, 252. [Google Scholar] [CrossRef]
- Lind, M.L.; Robertson, A.J.; Silva, J.; Warner, F.; Coppi, A.C.; Price, N.; Duckwall, C.; Sosensky, P.; Di Giuseppe, E.C.; Borg, R.; et al. Effectiveness of Primary and Booster COVID-19 mRNA Vaccination against Omicron Variant SARS-CoV-2 Infection in People with a Prior SARS-CoV-2 Infection. medRxiv 2022. [Google Scholar] [CrossRef]
- Andrews, N.; Stowe, J.; Kirsebom, F.; Toffa, S.; Rickeard, T.; Gallagher, E.; Gower, C.; Kall, M.; Groves, N.; O’Connell, A.M.; et al. COVID-19 Vaccine Effectiveness against the Omicron (B.1.1.529) Variant. N. Engl. J. Med. 2022, 386, 1532–1546. [Google Scholar] [CrossRef] [PubMed]
- Davis-Gardner, M.E.; Lai, L.; Wali, B.; Samaha, H.; Solis, D.; Lee, M.; Porter-Morrison, A.; Hentenaar, I.T.; Yamamoto, F.; Godbole, S.; et al. Neutralization against BA.2.75.2, BQ.1.1, and XBB from mRNA Bivalent Booster. N. Engl. J. Med. 2023, 388, 183–185. [Google Scholar] [CrossRef]
- Newman, J.; Thakur, N.; Peacock, T.P.; Bialy, D.; Elrefaey, A.M.E.; Bogaardt, C.; Horton, D.L.; Ho, S.; Kankeyan, T.; Carr, C.; et al. Neutralizing antibody activity against 21 SARS-CoV-2 variants in older adults vaccinated with BNT162b2. Nat. Microbiol. 2022, 7, 1180–1188. [Google Scholar] [CrossRef]
- Walmsley, S.L.; Szadkowski, L.; Wouters, B.; Clarke, R.; Colwill, K.; Rochon, P.; Brudno, M.; Ravindran, R.; Raboud, J.; McGeer, A.; et al. COVID-19 vaccine antibody responses in community-dwelling adults to 48 weeks post primary vaccine series. iScience 2023, 26, 106506. [Google Scholar] [CrossRef] [PubMed]
- Colwill, K.; Galipeau, Y.; Stuible, M.; Gervais, C.; Arnold, C.; Rathod, B.; Abe, K.T.; Wang, J.H.; Pasculescu, A.; Maltseva, M.; et al. A scalable serology solution for profiling humoral immune responses to SARS-CoV-2 infection and vaccination. Clin. Transl. Immunol. 2022, 11, e1380. [Google Scholar] [CrossRef]
- Wajnberg, A.; Amanat, F.; Firpo, A.; Altman, D.R.; Bailey, M.J.; Mansour, M.; McMahon, M.; Meade, P.; Mendu, D.R.; Muellers, K.; et al. Robust neutralizing antibodies to SARS-CoV-2 infection persist for months. Science 2020, 370, 1227–1230. [Google Scholar] [CrossRef] [PubMed]
- Mattiuzzo, G.; Bentley, E.M.; Hassall, M.; Routley, S.; Richardson, S.; Bernasconi, V.; Kristiansen, P.; Harvala, H.; Roberts, D.; Semple, M.G.; et al. Establishment of the WHO International Standard and Reference Panel for Anti-SARS-CoV-2 Antibody; WHO/BS/2020.2403; WHO: Geneva, Switzerland, 2020. [Google Scholar]
- Elzhov, T.V.; Mullen, K.M.; Spiess, A.-N.; Bolker, B. Package ‘minpack.lm’: R Interface to the Levenberg-Marquardt Nonlinear Least-Squares Algorithm Found in MINPACK, Plus Support for Bounds; R Package Version 1.2-4; R Foundation for Statistical Computing: Vienna, Austria, 2023. [Google Scholar]
- Team, R.C. R: A Language and Environment for Statistical Computing; R Foundation for Statistical Computing: Vienna, Austria, 2023. [Google Scholar]
- Reinholm, A.; Maljanen, S.; Jalkanen, P.; Altan, E.; Tauriainen, S.; Belik, M.; Skon, M.; Haveri, A.; Osterlund, P.; Iakubovskaia, A.; et al. Neutralizing antibodies after the third COVID-19 vaccination in healthcare workers with or without breakthrough infection. Commun. Med. 2024, 4, 28. [Google Scholar] [CrossRef]
- Perez-Then, E.; Lucas, C.; Monteiro, V.S.; Miric, M.; Brache, V.; Cochon, L.; Vogels, C.B.F.; Malik, A.A.; De la Cruz, E.; Jorge, A.; et al. Neutralizing antibodies against the SARS-CoV-2 Delta and Omicron variants following heterologous CoronaVac plus BNT162b2 booster vaccination. Nat. Med. 2022, 28, 481–485. [Google Scholar] [CrossRef] [PubMed]
- Sheikh-Mohamed, S.; Isho, B.; Chao, G.Y.C.; Zuo, M.; Cohen, C.; Lustig, Y.; Nahass, G.R.; Salomon-Shulman, R.E.; Blacker, G.; Fazel-Zarandi, M.; et al. Systemic and mucosal IgA responses are variably induced in response to SARS-CoV-2 mRNA vaccination and are associated with protection against subsequent infection. Mucosal. Immunol. 2022, 15, 799–808. [Google Scholar] [CrossRef] [PubMed]
- Miller, J.; Hachmann, N.P.; Collier, A.Y.; Lasrado, N.; Mazurek, C.R.; Patio, R.C.; Powers, O.; Surve, N.; Theiler, J.; Korber, B.; et al. Substantial Neutralization Escape by SARS-CoV-2 Omicron Variants BQ.1.1 and XBB.1. N. Engl. J. Med. 2023, 388, 662–664. [Google Scholar] [CrossRef] [PubMed]
- Nantel, S.; Sheikh-Mohamed, S.; Chao, G.Y.C.; Kurtesi, A.; Hu, Q.; Wood, H.; Colwill, K.; Li, Z.; Liu, Y.; Seifried, L.; et al. Comparison of Omicron breakthrough infection versus monovalent SARS-CoV-2 intramuscular booster reveals differences in mucosal and systemic humoral immunity. Mucosal. Immunol. 2024, 17, 201–210. [Google Scholar] [CrossRef] [PubMed]
- National Advisory Committee on Immunization (NACI). Recommendations on the Use of COVID-19 Vaccines; Public Health Agency of Canada: Ottawa, ON, Canada, 2021; pp. 1–63. [Google Scholar]
- Saad-Roy, C.M.; Morris, S.E.; Metcalf, C.J.E.; Mina, M.J.; Baker, R.E.; Farrar, J.; Holmes, E.C.; Pybus, O.G.; Graham, A.L.; Levin, S.A.; et al. Epidemiological and evolutionary considerations of SARS-CoV-2 vaccine dosing regimes. medRxiv 2021. [Google Scholar] [CrossRef] [PubMed]
- Bag Soytas, R.; Cengiz, M.; Islamoglu, M.S.; Borku Uysal, B.; Yavuzer, S.; Yavuzer, H. Antibody responses to COVID-19 vaccines in older adults. J. Med. Virol. 2022, 94, 1650–1654. [Google Scholar] [CrossRef] [PubMed]
- Bates, T.A.; Leier, H.C.; Lyski, Z.L.; Goodman, J.R.; Curlin, M.E.; Messer, W.B.; Tafesse, F.G. Age-Dependent Neutralization of SARS-CoV-2 and P.1 Variant by Vaccine Immune Serum Samples. JAMA 2021, 326, 868–869. [Google Scholar] [CrossRef] [PubMed]
- Collier, D.A.; Ferreira, I.; Kotagiri, P.; Datir, R.P.; Lim, E.Y.; Touizer, E.; Meng, B.; Abdullahi, A.; Elmer, A.; Kingston, N.; et al. Age-related immune response heterogeneity to SARS-CoV-2 vaccine BNT162b2. Nature 2021, 596, 417–422. [Google Scholar] [CrossRef] [PubMed]
- Sanchez-Sendra, B.; Albert, E.; Zulaica, J.; Torres, I.; Gimenez, E.; Botija, P.; Beltran, M.J.; Rodado, C.; Geller, R.; Navarro, D. Neutralizing antibodies against SARS-CoV-2 variants of concern elicited by the comirnaty COVID-19 vaccine in nursing home residents. Sci. Rep. 2022, 12, 3788. [Google Scholar] [CrossRef]
- Follmann, D.; Janes, H.E.; Buhule, O.D.; Zhou, H.; Girard, B.; Marks, K.; Kotloff, K.; Desjardins, M.; Corey, L.; Neuzil, K.M.; et al. Antinucleocapsid Antibodies After SARS-CoV-2 Infection in the Blinded Phase of the Randomized, Placebo-Controlled mRNA-1273 COVID-19 Vaccine Efficacy Clinical Trial. Ann. Intern. Med. 2022, 175, 1258–1265. [Google Scholar] [CrossRef]







| Characteristics | Hybrid Immunity | Vaccine-Only Immunity | Total | p-Value | 
|---|---|---|---|---|
| Total (N) | 92 | 86 | 178 (100%) | - | 
| Age, n (%) | ||||
| 30–50 years | 27 (29.3%) | 25 (29.1%) | 52 (29.2%) | 0.9675 | 
| 70+ years | 65 (70.7%) | 61 (70.9%) | 126 (70.8%) | |
| Mean (SD) | 66.28 (15.67) | 66.29 (15.03) | 66.28 (15.32) | 0.9956 | 
| Median (IQR) | 73.6 (49.1, 76.8) | 73.1 (50.7, 75.7) | 73.3 (50.3, 76.3) | 0.6321 | 
| Gender, n (%) | ||||
| Female | 69 (75.0%) | 61 (70.9%) | 130 (73.0%) | 0.5409 | 
| Male | 23 (25.0%) | 25 (29.1%) | 48 (27.0%) | |
| BMI, n (%) | ||||
| Obesity (BMI ≥ 30) | ||||
| No | 70 (76.1%) | 63 (73.3%) | 133 (74.7%) | 0.6641 | 
| Yes | 22 (23.9%) | 23 (26.7%) | 45 (25.3%) | |
| Mean (SD) | 27.5 (6.4) | 27.4 (5.6) | 27.4 (6.0) | 0.9681 | 
| Median (IQR) | 25.5 (23.5, 29.8) | 26.0 (23.4, 30.7) | 25.8 (23.5, 30.0) | 0.781 | 
| Racial background, n (%) | ||||
| Caucasian | 81 (88.0%) | 79 (91.9%) | 160 (89.9%) | 0.3986 | 
| Other | 11 (12.0%) | 7 (8.1%) | 18 (10.1%) | |
| Smoking status, n (%) | ||||
| Never | 56 (60.9%) | 47 (54.7%) | 103 (57.9%) | 0.6023 | 
| Previous | 33 (35.9%) | 37 (43.0%) | 70 (39.3%) | |
| Current | 3 (3.3%) | 2 (2.3%) | 5 (2.8%) | |
| Comorbidities, diabetes or cardiovascular or respiratory or cancer n (%) | ||||
| No | 47 (51.1%) | 36 (41.9%) | 83 (46.6%) | 0.2175 | 
| Yes | 45 (48.9%) | 50 (58.1%) | 95 (53.4%) | |
| Vaccine doses prior to baseline, n (%) | ||||
| 2 | 2 (2.2%) | 0 (0.0%) | 2 (1.1%) | 0.0038 | 
| 3 | 13 (14.1%) | 10 (11.6%) | 23 (12.9%) | |
| 4 | 42 (45.7%) | 20 (23.3%) | 62 (34.8%) | |
| 5 | 35 (38.0%) | 55 (64.0%) | 90 (50.6%) | |
| 6 | 0 (0.0%) | 1 (1.2%) | 1 (0.6%) | |
| Mean (SD) | 4.20 (0.76) | 4.55 (0.71) | 4.37 (0.76) | 0.0018 | 
| Median (IQR) | 4.00 (4.00, 5.00) | 5.00 (4.00, 5.00) | 5.00 (4.00, 5.00) | 0.0009 | 
| Vaccination within 4 month follow up, n (%) | ||||
| No | 68 (73.9%) | 60 (69.8%) | 128 (71.9%) | 0.5386 | 
| Yes | 24 (26.1%) | 26 (30.2%) | 50 (28.1%) | |
| Breakthrough COVID-19 infection | ||||
| Number of breakthrough infections before baseline | ||||
| Mean (SD) | 1.04 (0.21) | - | 0.54 (0.54) | - | 
| Median (IQR) | 1.00 (1.00, 1.00) | - | 1.00 (0.00, 1.00) | - | 
| Time from last breakthrough or last vaccine to substudy baseline | ||||
| Mean (SD) | 156.7 (98.1) | 105.8 (97.4) | 132.1 (100.8) | 0.0007 | 
| Median (IQR) | 145 (70.5, 236.5) | 76.5 (40, 133) | 93 (53, 197) | 0.0002 | 
| Breakthroughs between baseline and 4 month follow up, n (%) | ||||
| No | 84 (91.3%) | 62 (72.1%) | 146 (82.0%) | 0.0009 | 
| Yes | 8 (8.7%) | 24 (27.9%) | 32 (18.0%) | |
| Hybrid Immunity | Vaccine Only Immunity | Total | p-Value | |
|---|---|---|---|---|
| Cohort, N | 92 | 86 | 178 | - | 
| Wuhan: Antibody, n (%) | ||||
| Non-detectable | - | - | - | - | 
| Detectable | 92 (100%) | 86 (100%) | 178 (100%) | - | 
| Log 10 (1/ID50) for detectables | ||||
| Mean (SD) | 4.28 (0.95) | 3.79 (0.71) | 4.05 (0.87) | 0.0001 | 
| Median (IQR) | 4.45 (3.90, 4.78) | 3.79 (3.37, 4.23) | 4.02 (3.58, 4.54) | <0.0001 | 
| Omicron BA.5: Antibody, n (%) | ||||
| Non-detectable | 2 (2.2%) | 12 (14.0%) | 14 (7.9%) | 0.0035 | 
| Detectable | 90 (97.8%) | 74 (86.0%) | 164 (92.1%) | |
| Log 10 (1/ID50) for detectables | ||||
| Mean (SD) | 3.64 (0.54) | 2.62 (0.58) | 3.18 (0.76) | <0.0001 | 
| Median (IQR) | 3.70 (3.29, 4.00) | 2.59 (2.18, 2.96) | 3.19 (2.61, 3.78) | <0.0001 | 
| Omicron XBB.1.5: Antibody, n (%) | ||||
| Non-detectable | 10 (10.9%) | 52 (60.5%) | 62 (34.8%) | <0.0001 | 
| Detectable | 82 (89.1%) | 34 (39.5%) | 116 (65.2%) | |
| Log 10 (1/ID50) for detectables | ||||
| Mean (SD) | 2.80 (0.47) | 2.10 (0.50) | 2.59 (0.57) | <0.0001 | 
| Median (IQR) | 2.80 (2.51, 3.15) | 1.91 (1.78, 2.41) | 2.63 (2.09, 3.03) | <0.0001 | 
| Omicron EG.5: Antibody, n (%) | ||||
| Non-detectable | 16 (17.4%) | 61 (70.9%) | 77 (43.3%) | <0.0001 | 
| Detectable | 76 (82.6%) | 25 (29.1%) | 101 (56.7%) | |
| Log 10 (1/ID50) for detectables | ||||
| Mean (SD) | 2.62 (0.49) | 2.04 (0.41) | 2.48 (0.53) | <0.0001 | 
| Median (IQR) | 2.62 (2.25, 2.98) | 1.91 (1.79, 2.20) | 2.50 (2.05, 2.92) | <0.0001 | 
| COVID-19 Strain | Wuhan | Omicron BA.5 | Omicron XBB.1.5 | Omicron EG.5 | 
|---|---|---|---|---|
| Age: 70+ years | ||||
| Univariable (OR) | 0.55 (0.29, 1.06) | 0.71 (0.39, 1.32) | 0.71 (0.39, 1.32) | 1.04 (0.58, 1.89) | 
| Multivariable (adOR) | 0.42 (0.18, 0.99) | 0.61 (0.28, 1.29) | 1.24 (0.6, 2.58) | 1.01 (0.49, 2.11) | 
| Gender: Male | ||||
| Univariable (OR) | 1.27 (0.65, 2.47) | 0.9 (0.47, 1.73) | 0.9 (0.47, 1.73) | 0.77 (0.42, 1.42) | 
| Multivariable (adOR) | 1.22 (0.56, 2.65) | 0.91 (0.45, 1.85) | 0.55 (0.27, 1.09) | 0.59 (0.29, 1.17) | 
| BMI: Obese | ||||
| Univariable (OR) | 0.36 (0.17, 0.77) | 0.88 (0.46, 1.66) | 0.88 (0.46, 1.66) | 0.92 (0.5, 1.69) | 
| Multivariable (adOR) | 0.27 (0.11, 0.65) | 0.89 (0.45, 1.77) | 0.94 (0.48, 1.81) | 0.91 (0.46, 1.75) | 
| Comorbidity: Yes | ||||
| Univariable (OR) | 0.66 (0.36, 1.2) | 0.85 (0.48, 1.49) | 0.85 (0.48, 1.49) | 1.1 (0.65, 1.88) | 
| Multivariable (adOR) | 1 (0.46, 2.17) | 1.1 (0.55, 2.19) | 1.02 (0.53, 1.98) | 1.43 (0.74, 2.8) | 
| Arm: Hybrid immunity | ||||
| Univariable (OR) | 1.35 (0.74, 2.46) | 0.75 (0.42, 1.33) | 0.75 (0.42, 1.33) | 1.44 (0.83, 2.54) | 
| Multivariable (adOR) | 1.14 (0.57, 2.28) | 1.5 (0.79, 2.9) | 3.39 (1.78, 6.64) | 3.73 (1.95, 7.34) | 
| 4M FU period vaccination | ||||
| Univariable (OR) | 4.12 (2.06, 8.24) | 3.81 (1.98, 7.49) | 3.81 (1.98, 7.49) | 2.12 (1.16, 3.88) | 
| Multivariable (adOR) | 5.79 (2.64, 12.72) | 7.08 (3.39, 15.28) | 5.58 (2.78, 11.58) | 4.43 (2.26, 8.91) | 
| 4M FU period breakthrough COVID-19 infection | ||||
| Univariable (OR) | 2.07 (0.95, 4.48) | 10.01 (4.4, 24.68) | 10.01 (4.4, 24.68) | 22.94 (9.86, 57.48) | 
| Multivariable (adOR) | 2.85 (1.16, 7) | 20.11 (7.94, 55.33) | 77.94 (28.04, 236.54) | 73.96 (26.66, 224.96) | 
| COVID-19 Strain | Hybrid-Immunity Decay Slope of Neutralizing Antibody Levels (p Value) | Vaccine-only Immunity Decay Slope of Neutralizing Antibodies (p Value) | 
|---|---|---|
| Wuhan | −0.0928 (0.53) | −0.5006 (0.001) | 
| Omicron BA.5 | −0.2033 (0.10) | −0.8799 (0.001) | 
| Omicron XBB.1.5 | −0.3143 (0.06) | −0.6021 (0.011) | 
| Omicron EG.5 | −0.2023 (0.29) | −0.4050 (0.044) | 
| Predictors of Breakthrough COVID-19 Infection | Univariable (HR) | Multivariable (adHR) | |
|---|---|---|---|
| Including Hybrid Status | Including BA.5 Neutralizing Antibody Level | ||
| Short term (4 months) | |||
| Age: 70+ | 1.14 (0.53, 2.47) | 1.11 (0.46, 2.69) | 1.22 (0.5, 2.97) | 
| Gender: Male | 1.1 (0.51, 2.38) | 1.16 (0.52, 2.63) | 1.09 (0.48, 2.44) | 
| BMI: Obese | 0.69 (0.28, 1.67) | 0.66 (0.27, 1.62) | 0.85 (0.34, 2.1) | 
| Comorbidity: Yes | 1 (0.5, 2) | 0.72 (0.32, 1.58) | 0.78 (0.35, 1.74) | 
| Arm: Hybrid | 0.27 (0.12, 0.61) | 0.24 (0.11, 0.54) | - | 
| BA.5 antibody level at baseline | 0.76 (0.59, 0.99) | - | 0.72 (0.55, 0.94) | 
| 4M FU period vaccination | 0.41 (0.16, 1.08) | 0.36 (0.14, 0.94) | 0.35 (0.13, 0.93) | 
| Long term (10 months, up to 22 September 2023) | |||
| Age: 70+ | 1.07 (0.63, 1.83) | 1.13 (0.6, 2.11) | 1.14 (0.61, 2.15) | 
| Gender: Male | 0.9 (0.52, 1.57) | 0.96 (0.54, 1.72) | 0.95 (0.53, 1.69) | 
| BMI: Obese | 0.98 (0.56, 1.7) | 1.08 (0.62, 1.89) | 1.12 (0.63, 1.97) | 
| Comorbidity: Yes | 1.3 (0.8, 2.11) | 1.24 (0.71, 2.18) | 1.31 (0.75, 2.29) | 
| Arm: Hybrid | 0.64 (0.4, 1.04) | 0.59 (0.36, 0.96) | - | 
| BA.5 antibody level at baseline | 0.97 (0.78, 1.19) | - | 0.92 (0.74, 1.14) | 
| Vaccination dose to 22 September 2023 | 0.43 (0.25, 0.74) | 0.38 (0.22, 0.67) | 0.4 (0.23, 0.7) | 
| Disclaimer/Publisher’s Note: The statements, opinions and data contained in all publications are solely those of the individual author(s) and contributor(s) and not of MDPI and/or the editor(s). MDPI and/or the editor(s) disclaim responsibility for any injury to people or property resulting from any ideas, methods, instructions or products referred to in the content. | 
© 2024 by the authors. Licensee MDPI, Basel, Switzerland. This article is an open access article distributed under the terms and conditions of the Creative Commons Attribution (CC BY) license (https://creativecommons.org/licenses/by/4.0/).
Share and Cite
Walmsley, S.; Nabipoor, M.; Qi, F.; Lovblom, L.E.; Ravindran, R.; Colwill, K.; Dayam, R.M.; Tursun, T.R.; Silva, A.; Gingras, A.-C.; et al. Declining Levels of Neutralizing Antibodies to SARS-CoV-2 Omicron Variants Are Enhanced by Hybrid Immunity and Original/Omicron Bivalent Vaccination. Vaccines 2024, 12, 564. https://doi.org/10.3390/vaccines12060564
Walmsley S, Nabipoor M, Qi F, Lovblom LE, Ravindran R, Colwill K, Dayam RM, Tursun TR, Silva A, Gingras A-C, et al. Declining Levels of Neutralizing Antibodies to SARS-CoV-2 Omicron Variants Are Enhanced by Hybrid Immunity and Original/Omicron Bivalent Vaccination. Vaccines. 2024; 12(6):564. https://doi.org/10.3390/vaccines12060564
Chicago/Turabian StyleWalmsley, Sharon, Majid Nabipoor, Freda Qi, Leif Erik Lovblom, Rizani Ravindran, Karen Colwill, Roya Monica Dayam, Tulunay R. Tursun, Amanda Silva, Anne-Claude Gingras, and et al. 2024. "Declining Levels of Neutralizing Antibodies to SARS-CoV-2 Omicron Variants Are Enhanced by Hybrid Immunity and Original/Omicron Bivalent Vaccination" Vaccines 12, no. 6: 564. https://doi.org/10.3390/vaccines12060564
APA StyleWalmsley, S., Nabipoor, M., Qi, F., Lovblom, L. E., Ravindran, R., Colwill, K., Dayam, R. M., Tursun, T. R., Silva, A., Gingras, A.-C., & on behalf of the STOPCoV Team. (2024). Declining Levels of Neutralizing Antibodies to SARS-CoV-2 Omicron Variants Are Enhanced by Hybrid Immunity and Original/Omicron Bivalent Vaccination. Vaccines, 12(6), 564. https://doi.org/10.3390/vaccines12060564
 
        


 
       