Determinants of COVID-19 Vaccine Uptake in The Netherlands: A Nationwide Registry-Based Study
Abstract
:1. Introduction
2. Materials and Methods
2.1. Study Design and Population
2.2. Vaccine Uptake
2.3. Determinants of Vaccination
2.3.1. Sociodemographic Determinants
2.3.2. Medical Risk Groups
2.3.3. Voting Proportions for Political Movements
2.4. Statistical Analyses
3. Results
3.1. Ranking of Determinants of Vaccination
3.1.1. Age
3.1.2. Personal Income and Socioeconomic Position
3.1.3. Population by Origin
3.1.4. Personal Income versus Country of Origin
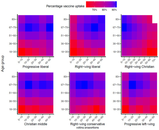
3.1.5. Voting Proportions for Political Movements in National Elections
3.2. Population of 60 Years and Older
4. Discussion
5. Conclusions
Supplementary Materials
Author Contributions
Funding
Institutional Review Board Statement
Informed Consent Statement
Data Availability Statement
Acknowledgments
Conflicts of Interest
References
- WHO. WHO Coronavirus (COVID-19) Dashboard: World Health Organization. 2022. Available online: https://covid19.who.int/ (accessed on 1 May 2022).
- Overledenen; Belangrijke Doosoorzaken (Korte Lijst), Leeftijd, Geslacht. CBS. 2023. Available online: https://opendata.cbs.nl/statline/#/CBS/nl/dataset/7052_95/table?ts=1640705218537 (accessed on 23 August 2023).
- van Iersel, S.; McDonald, S.A.; de Gier, B.; Knol, M.J.; de Melker, H.E.; van Werkhoven, C.H.; Hahné, S.J. Number of COVID-19 hospitalisations averted by vaccination: Estimates for the Netherlands, January 6, 2021 through August 30, 2022. Vaccine 2023, 41, 3847–3854. [Google Scholar] [CrossRef] [PubMed]
- Watson, O.J.; Barnsley, G.; Toor, J.; Hogan, A.B.; Winskill, P.; Ghani, A.C. Global impact of the first year of COVID-19 vaccination: A mathematical modelling study. Lancet Infect. Dis. 2022, 22, 1293–1302. [Google Scholar] [CrossRef] [PubMed]
- Meslé, M.M.; Brown, J.; Mook, P.; Hagan, J.; Pastore, R.; Bundle, N.; Spiteri, G.; Ravasi, G.; Nicolay, N.; Andrews, N.; et al. Estimated number of deaths directly averted in people 60 years and older as a result of COVID-19 vaccination in the WHO European Region, December 2020 to November 2021. Eurosurveillance 2021, 26, 2101021. [Google Scholar] [CrossRef] [PubMed]
- Health Council. Alle Adviezen over COVID-19 Vaccinaties. 2021. Available online: https://www.gezondheidsraad.nl/onderwerpen/vaccinaties/alle-adviezen-over-covid-19-vaccinaties (accessed on 15 May 2022).
- RIVM. Archief Wekelijkse Update Vaccinatiecijfers. 2022. Available online: https://www.rivm.nl/covid-19-vaccinatie/archief-wekelijkse-update-vaccinatiecijfers-2022 (accessed on 1 May 2022).
- ECDC. Guidance on the Provision of Support for Medically and Socially Vulnerable Populations in EU/EEA Countries and the United Kingdom during the COVID-19 Pandemic; European Centre for Disease Prevention and Control: Stockholm, Sweden, 2020. [Google Scholar]
- RIVM. COVID-19-Vaccinatie Uitvoeringsrichtlijn: RIVM. 2022. Available online: https://lci.rivm.nl/richtlijnen/covid-19-vaccinatie (accessed on 15 May 2022).
- Khanijahani, A.; Iezadi, S.; Gholipour, K.; Azami-Aghdash, S.; Naghibi, D. A systematic review of racial/ethnic and socioeconomic disparities in COVID-19. Int. J. Equity Health 2021, 20, 248. [Google Scholar] [CrossRef] [PubMed]
- Labuschagne, L.J.; Smorenburg, N.; van de Kassteele, J.; Bom, B.; de Weerdt, A.; de Melker, H.E.; Hahne, S. Determinants of COVID-19 vaccine uptake in the Netherlands: An ecological analysis. medRxiv 2023. [Google Scholar] [CrossRef]
- Wang, H.; Varol, T.; Gultzow, T.; Zimmermann, H.M.; Ruiter, R.A.; Jonas, K.J. Spatio-temporal distributions of COVID-19 vaccine doses uptake in the Netherlands: A Bayesian ecological modelling analysis. medRxiv 2023. [Google Scholar] [CrossRef]
- de Gier, B.; van Asten, L.; Boere, T.M.; van Roon, A.; van Roekel, C.; Pijpers, J.; van Werkhoven, C.H.; Ende, C.v.D.; Hahné, S.J.; de Melker, H.E.; et al. Effect of COVID-19 vaccination on mortality by COVID-19 and on mortality by other causes, the Netherlands, January 2021–January 2022. Vaccine 2023, 41, 4488–4496. [Google Scholar] [CrossRef]
- Breiman, L. Random Forests. Mach. Learn. 2001, 45, 5–32. [Google Scholar] [CrossRef]
- Wright, M.N.; Ziegler, A. Ranger: A fast implementation of random forests for high dimensional data in C++ and R. J. Stat. Softw. 2017, 77, 1–17. [Google Scholar] [CrossRef]
- Kraft, K.B.; Godoy, A.A.; Vinjerui, K.H.; Kour, P.; Kjollesdal, M.K.R.; Indseth, T. COVID-19 vaccination coverage by immigrant background. Tidsskr. Den Nor. Legeforening 2022, 141. [Google Scholar] [CrossRef]
- Hansen, B.T.; Labberton, A.S.; Kour, P.; Kraft, K.B. Coverage of primary and booster vaccination against COVID-19 by socioeconomic level: A nationwide cross-sectional registry study. Hum. Vaccines Immunother. 2023, 19, 2188857. [Google Scholar] [CrossRef] [PubMed]
- Spetz, M.; Lundberg, L.; Nwaru, C.; Li, H.; Santosa, A.; Ng, N.; Leach, S.; Gisslén, M.; Hammar, N.; Nyberg, F.; et al. An intersectional analysis of sociodemographic disparities in COVID-19 vaccination: A nationwide register-based study in Sweden. Vaccine 2022, 40, 6640–6648. [Google Scholar] [CrossRef] [PubMed]
- Dolby, T.; Finning, K.; Baker, A.; Fowler-Dowd, L.; Khunti, K.; Razieh, C.; Yates, T.; Nafilyan, V. Monitoring sociodemographic inequality in COVID-19 vaccination uptake in England: A national linked data study. J. Epidemiol. Community Health 2022, 76, 646–652. [Google Scholar] [CrossRef]
- Crawshaw, A.F.; Farah, Y.; Deal, A.; Rustage, K.; Hayward, S.E.; Carter, J.; Knights, F.; Goldsmith, L.P.; Campos-Matos, I.; Wurie, F.; et al. Defining the determinants of vaccine uptake and undervaccination in migrant populations in Europe to improve routine and COVID-19 vaccine uptake: A systematic review. Lancet Infect. Dis. 2022, 22, e254–e266. [Google Scholar] [CrossRef] [PubMed]
- Tankwanchi, A.S.; Bowman, B.; Garrison, M.; Larson, H.; Wiysonge, C.S. Vaccine hesitancy in migrant communities: A rapid review of latest evidence. Curr. Opin. Immunol. 2021, 71, 62–68. [Google Scholar] [CrossRef]
- Campman, S.L.; van Rossem, G.; Boyd, A.; Coyer, L.; Schinkel, J.; Agyemang, C.; Galenkamp, H.; Koopman, A.D.; Leenstra, T.; van der Loeff, M.S.; et al. Intent to vaccinate against SARS-CoV-2 and its determinants across six ethnic groups living in Amsterdam, the Netherlands: A cross-sectional analysis of the HELIUS study. Vaccine 2023, 41, 2035–2045. [Google Scholar] [CrossRef]
- Coyer, L.; Boyd, A.; Schinkel, J.; Agyemang, C.; Galenkamp, H.; Koopman, A.D.M.; Leenstra, T.; van Duijnhoven, Y.T.; van Charante, E.P.M.; van den Born, B.-J.H.; et al. Differences in SARS-CoV-2 infections during the first and second wave of SARS-CoV-2 between six ethnic groups in Amsterdam, the Netherlands: A population-based longitudinal serological study. Lancet Reg. Health Eur. 2022, 13, 100284. [Google Scholar] [CrossRef]
- Ruijs, W.L.; Hautvast, J.L.; van der Velden, K.; de Vos, S.; Knippenberg, H.; Hulscher, M.E. Religious subgroups influencing vaccination coverage in the Dutch Bible belt: An ecological study. BMC Public Health 2011, 11, 102. [Google Scholar] [CrossRef]
- de Munter, A.C.; Klooster, T.; van Lier, A.; Akkermans, R.; de Melker, H.E.; Ruijs, W.L.M. Determinants of HPV-vaccination uptake and subgroups with a lower uptake in the Netherlands. BMC Public Health 2021, 21, 1848. [Google Scholar] [CrossRef] [PubMed]
- de Oliveira Bressane Lima, P.; van Lier, A.; de Melker, H.; Ferreira, J.A.; van Vliet, H.; Knol, M.J. MenACWY vaccination campaign for adolescents in the Netherlands: Uptake and its determinants. Vaccine 2020, 38, 5516–5524. [Google Scholar] [CrossRef]
- Krouwel, A.; de Vries, O.; Van Heck, L.; Kutiyski, Y.; Étienne, T. COVID-19 en institutioneel vertrouwen. 2021. Impact corona. Available online: www.impactcorona.nl/wp-content/uploads/2021/10/Institutioneelvertrouwen_KL01.pdf (accessed on 5 March 2023).
- RIVM. Deelname COVID-19-Vaccinatie in Nederland. 2021. Available online: www.rivm.nl/sites/default/files/2023-05/Deelname-COVID-19-vaccinatie-in-Nederland_20230508_def.pdf (accessed on 5 March 2023).
- Biswas, M.R.; Alzubaidi, M.S.; Shah, U.; Abd-Alrazaq, A.A.; Shah, Z. A Scoping Review to Find Out Worldwide COVID-19 Vaccine Hesitancy and Its Underlying Determinants. Vaccines 2021, 9, 1243. [Google Scholar] [CrossRef] [PubMed]
- Sherman, S.M.; Smith, L.E.; Sim, J.; Amlot, R.; Cutts, M.; Dasch, H.; Rubin, G.J.; Sevdalis, N. COVID-19 vaccination intention in the UK: Results from the COVID-19 vaccination acceptability study (CoVAccS), a nationally representative cross-sectional survey. Hum. Vaccin. Immunother. 2021, 17, 1612–1621. [Google Scholar] [CrossRef] [PubMed]
- Palamenghi, L.; Barello, S.; Boccia, S.; Graffigna, G. Mistrust in biomedical research and vaccine hesitancy: The forefront challenge in the battle against COVID-19 in Italy. Eur. J. Epidemiol. 2020, 35, 785–788. [Google Scholar] [CrossRef]
- De Vries, M.; Claassen, L.; Lambooij, M.; Leung, K.Y.; Boersma, K.; Timen, A. COVID-19 Vaccination intent and belief that vaccination will end the pandemic. Emerg. Infect. Dis. 2022, 28, 1642–1649. [Google Scholar] [CrossRef] [PubMed]






| Variable | Levels | Reference Date (dd-mm-yyyy) | Database |
|---|---|---|---|
| Individual level | |||
| Vaccine uptake | At least one COVID-19 vaccination registered in CIMS; 1 = yes; 0 = no a | 5 January 2021–18 November 2021 b | CIMS |
| Age c | Continuous | 5 January 2021 | CBS |
| Sex | 0 = male; 1 = female | 5 January 2021 | CBS |
| Education level | Primary education; prevocational secondary education-basic vocational programme (VMBO-b/k), lower secondary vocational training and assistant’s training (MBO-1); prevocational secondary education—theoretical and vocational programme (VMBO-g/t), the first three years of senior general secondary education (HAVO) and pre-university secondary education (VWO); basic vocational training (MBO-2) and vocational training (MBO-3); middle management and specialist education (MBO-4); upper secondary education (HAVO/VWO); Hbo-, wo-bachelor; Hbo-, wo-master, doctor; Unknown. | 5 January 2021 | CBS |
| Country of origin d | The Netherlands; Turkey; Morocco; Suriname; The Dutch Caribbean; Indonesia; Other Africa; Other Asia; Other America/Oceania; Middle and Eastern European countries within the EU; GIPS countries (Greece, Italy, Portugal, Spain); Former or associated member states of the Commonwealth of Independent States, other countries of the EU; Other European countries; Unknown. | 5 January 2021 | CBS |
| Migration status e | Netherlands; Born in the Netherlands with one parent born abroad; Born in the Netherlands with two parents born abroad; Born abroad with one parent born abroad; Born abroad with two parents born abroad; Born abroad with two parents born in the Netherlands; Unknown. | 2021 | CBS |
| Socioeconomic position | In employment; Self-employed; Unemployment benefits (WW); Social assistance benefit; Other benefits; Disability benefit; Pensioner; Student; Other/Unknown. | 2021 | CBS |
| Personal income | Continuous (percentiles) f | 2021 | CBS |
| Household type | One-person household; Unmarried couple without children; Married couple without children; Unmarried couple with children; Married couple with children; One-parent family; Other households; Institutional household; Other. | 2021 | CBS |
| Household car ownership | 1 = yes; 0 = no | 2021 | CBS |
| Employment sector | Agriculture, Forestry and fishery; Mining and quarrying; Industry; Electricity supply; Water supply, sewerage and waste management; Construction; Wholesale and retail trade; Transportation and storage; Accommodation and food service activities; Information and communication; Financial services; Real estate activities; Professional scientific and technical activities; Administrative and support service activities; Public administration and defence; Education; Human health and social work activities; Arts, entertainment and recreation; Other service activities; Activities of household as employer, undifferentiated goods- and service producing activities of households for own use; Activities of extraterritorial organisations and bodies; Other/unemployed/unknown. | 2021 | CBS |
| Urbanisation level | Not urbanised; Hardly urbanised; Moderately urbanised; Strongly urbanised; Extremely urbanised; Unknown. | 2021 | CBS |
| X-coordinate postal code | Numeric | 2021 | CBS |
| Y-coordinate postal code | Numeric | 2021 | CBS |
| Medical risk groups g | High medical risk; Intermediate medical risk; Low medical risk. | 2020 i | CBS |
| Long term care recipients, residential, nursing home | 1 = yes; 0 = no | 2020 | CBS |
| Long-term care recipients, residential, mentally impaired | 1 = yes; 0 = no | 2020 | CBS |
| Long-term care recipients, non-residential, mentally impaired | 1 = yes; 0 = no | 2020 h | CBS |
| Neighbourhood (NBHD) level | |||
| Voting proportions for political movement i | 2021 | Open State Foundation | |
| Right-wing liberal | Percentage | ||
| Progressive liberal | Percentage | ||
| Christian middle | Percentage | ||
| Right-wing Christian | Percentage | ||
| Progressive left-wing | Percentage | ||
| Right-wing conservative | Percentage | ||
| Other parties | Percentage | ||
Disclaimer/Publisher’s Note: The statements, opinions and data contained in all publications are solely those of the individual author(s) and contributor(s) and not of MDPI and/or the editor(s). MDPI and/or the editor(s) disclaim responsibility for any injury to people or property resulting from any ideas, methods, instructions or products referred to in the content. |
© 2023 by the authors. Licensee MDPI, Basel, Switzerland. This article is an open access article distributed under the terms and conditions of the Creative Commons Attribution (CC BY) license (https://creativecommons.org/licenses/by/4.0/).
Share and Cite
Pijpers, J.; van Roon, A.; van Roekel, C.; Labuschagne, L.; Smagge, B.; Ferreira, J.A.; de Melker, H.; Hahné, S. Determinants of COVID-19 Vaccine Uptake in The Netherlands: A Nationwide Registry-Based Study. Vaccines 2023, 11, 1409. https://doi.org/10.3390/vaccines11091409
Pijpers J, van Roon A, van Roekel C, Labuschagne L, Smagge B, Ferreira JA, de Melker H, Hahné S. Determinants of COVID-19 Vaccine Uptake in The Netherlands: A Nationwide Registry-Based Study. Vaccines. 2023; 11(9):1409. https://doi.org/10.3390/vaccines11091409
Chicago/Turabian StylePijpers, Joyce, Annika van Roon, Caren van Roekel, Lisanne Labuschagne, Bente Smagge, José A. Ferreira, Hester de Melker, and Susan Hahné. 2023. "Determinants of COVID-19 Vaccine Uptake in The Netherlands: A Nationwide Registry-Based Study" Vaccines 11, no. 9: 1409. https://doi.org/10.3390/vaccines11091409
APA StylePijpers, J., van Roon, A., van Roekel, C., Labuschagne, L., Smagge, B., Ferreira, J. A., de Melker, H., & Hahné, S. (2023). Determinants of COVID-19 Vaccine Uptake in The Netherlands: A Nationwide Registry-Based Study. Vaccines, 11(9), 1409. https://doi.org/10.3390/vaccines11091409

