Oral Administration with Recombinant Attenuated Regulated Delayed Lysis Salmonella Vaccines Protecting against Staphylococcus aureus Kidney Abscess Formation
Abstract
1. Introduction
2. Materials and Methods
2.1. Mice and Ethics Statement
2.2. Bacterial Strains and Growth Conditions
2.3. Construction of rHlam and rEsxAB Delivery Vector Based on Attenuated Regulated Delayed Lysis Salmonella Typhimurium Strain χ11802
2.4. SDS-PAGE and Western Blot
2.5. The Dependence of Recombinant Attenuated Regulated Delayed Lysis Salmonella Typhimurium Strains on Arabinose In Vitro and In Vivo
2.6. BALB/c Mice Orally Administrated with Recombinant Attenuated Regulated Delayed Lysis Salmonella Typhimurium Strains
2.7. rEsxAB- and rHlam-Specific IgG Level in the Serum Measured by ELISA
2.8. rEsxAB- and rHlam-Specific IgA in the Mouse Intestinal Mucosa Measured by ELISA
2.9. IFN-γ and IL-17 Levels in the Kidney and Spleen Tissue
2.10. BALB/c Mice Challenged with S. aureus USA300
2.11. Statistical Analysis
3. Results
3.1. rEsxAB and rHlam Synthesis in Recombinant Attenuated Regulated Delayed Lysis Salmonella Typhimurium Strain χ11802 and Secretion into the Medium
3.2. The Survival of Recombinant Attenuated Regulated Delayed Lysis Salmonella Typhimurium Strains Strictly Dependent on Arabinose In Vitro and In Vivo
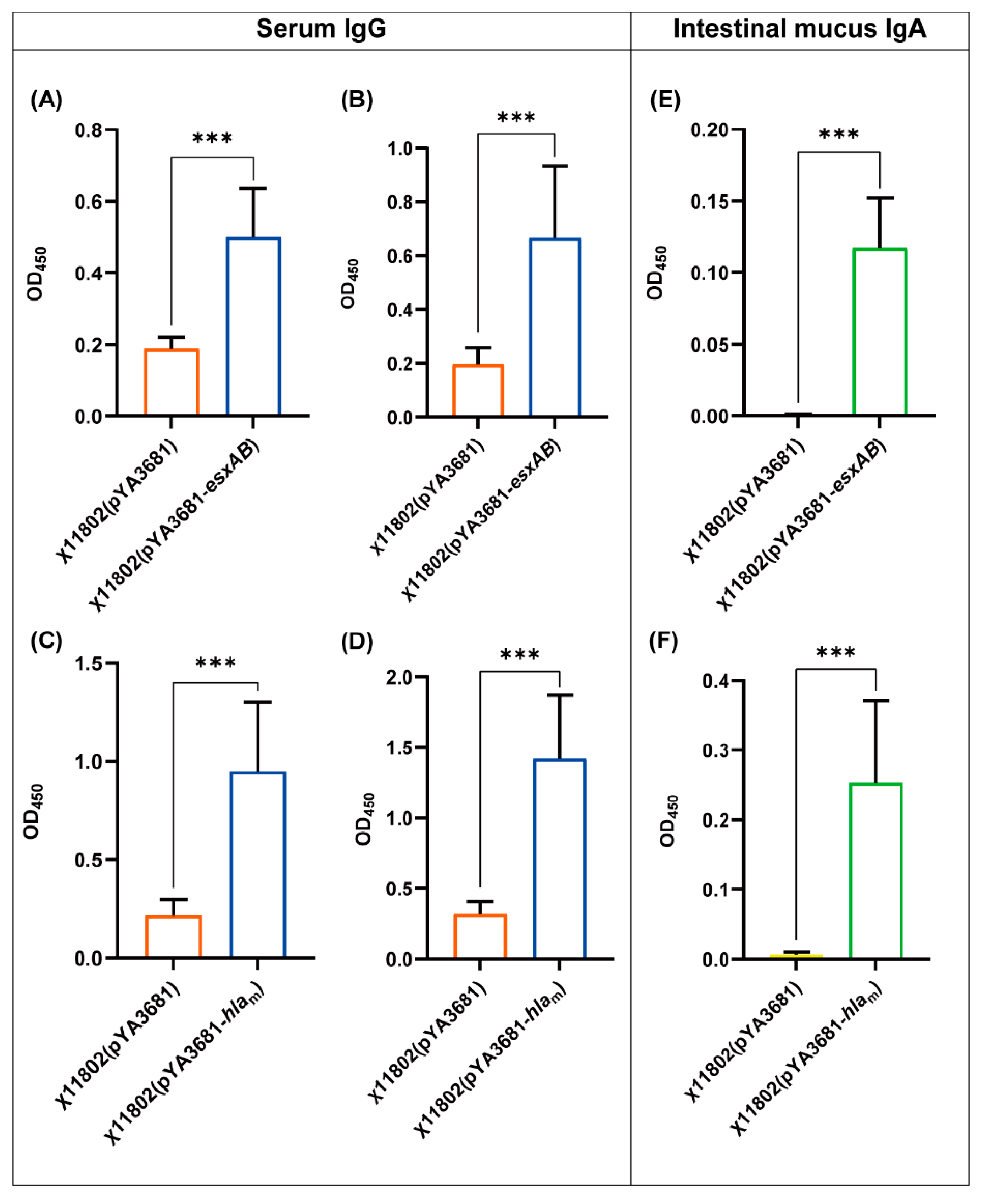
3.3. Recombinant Attenuated Regulated Delayed Lysis Salmonella Typhimurium Strains Eliciting Serum IgG- and Intestinal Mucus IgA-Mediated Immune Responses
3.4. IL-17 and IFN-γ Production Elicited by Recombinant Attenuated Regulated Delayed Lysis Salmonella Typhimurium Strains
3.5. Mouse Kidney Abscess Formation after Challenged with S. aureus USA 300
3.6. Kidney Tissue Lesion after BALB/c Mice Challenged with S. aureus USA 300
4. Discussion
5. Conclusions
Supplementary Materials
Author Contributions
Funding
Institutional Review Board Statement
Informed Consent Statement
Data Availability Statement
Conflicts of Interest
References
- Lowy, F.D. Staphylococcus aureus Infections. N. Engl. J. Med. 1998, 339, 520–532. [Google Scholar] [CrossRef] [PubMed]
- Sheets, A. Emergence of community-acquired methicillin-resistant Staphylococcus aureus USA 300 clone as the predominant cause of skin and soft-tissue infections. J. Emerg. Med. 2006, 31, 235. [Google Scholar] [CrossRef]
- Cheng, A.G.; Kim, H.K.; Burts, M.L.; Krausz, T.; Schneewind, O.; Missiakas, D.M. Genetic requirements for Staphylococcus aureus abscess formation and persistence in host tissues. FASEB J. 2009, 23, 3393–3404. [Google Scholar] [CrossRef] [PubMed]
- Rauch, S.; Dedent, A.C.; Kim, H.K.; Wardenburg, J.B.; Missiakas, D.M.; Schneewind, O. Abscess Formation and Alpha-Hemolysin Induced Toxicity in a Mouse Model of Staphylococcus aureus Peritoneal Infection. Infect. Immun. 2012, 80, 3721–3732. [Google Scholar] [CrossRef]
- Kim, H.K.; Dedent, A.; Cheng, A.G.; Mcadow, M.; Bagnoli, F.; Missiakas, D.M.; Schneewind, O. IsdA and IsdB antibodies protect mice against Staphylococcus aureus abscess formation and lethal challenge. Vaccine 2010, 28, 6382–6392. [Google Scholar] [CrossRef]
- Bagnoli, F.; Fontana, M.R.; Soldaini, E.; Mishra, R.P.N.; Fiaschi, L.; Cartocci, E.; Nardi-Dei, V.; Ruggiero, P.; Nosari, S.; De Falco, M.G.; et al. Vaccine composition formulated with a novel TLR7-dependent adjuvant induces high and broad protection against Staphylococcus aureus. Proc. Natl. Acad. Sci. USA 2015, 112, 3680–3685. [Google Scholar] [CrossRef]
- Turner, N.A.; Sharma-Kuinkel, B.K.; Maskarinec, S.A.; Eichenberger, E.M.; Shah, P.P.; Carugati, M.; Holland, T.L.; Fowler, V.G. Methicillin-resistant Staphylococcus aureus: An overview of basic and clinical research. Nat. Rev. Microbiol. 2019, 17, 203–218. [Google Scholar] [CrossRef]
- Cong, Y.; Yang, S.; Rao, X. Vancomycin resistant Staphylococcus aureus infections: A review of case updating and clinical features. J. Adv. Res. 2020, 21, 169–176. [Google Scholar] [CrossRef]
- Salgado-Pabón, W.; Schlievert, P.M. Models matter: The search for an effective Staphylococcus aureus vaccine. Nat. Rev. Microbiol. 2014, 12, 585–591. [Google Scholar] [CrossRef]
- Spaulding, A.R.; Salgado-Pabón, W.; Merriman, J.A.; Stach, C.S.; Ji, Y.; Gillman, A.N.; Peterson, M.L.; Schlievert, P.M. Vaccination against Staphylococcus aureus pneumonia. J. Infect. Dis. 2014, 209, 1955–1962. [Google Scholar] [CrossRef]
- Kennedy, A.D.; Wardenburg, J.B.; Gardner, D.J.; Long, D.; Whitney, A.R.; Braughton, K.R.; Schneewind, O.; Deleo, F.R. Targeting of Alpha-Hemolysin by Active or Passive Immunization Decreases Severity of USA300 Skin Infection in a Mouse Model. J. Infect. Dis. 2010, 202, 1050–1058. [Google Scholar] [CrossRef] [PubMed]
- Burts, M.L.; Williams, W.A.; Debord, K.; Missiakas, D.M. EsxA and EsxB are secreted by an ESAT-6-like system that is required for the pathogenesis of Staphylococcus aureus infections. Proc. Natl. Acad. Sci. USA 2005, 102, 1169–1174. [Google Scholar] [CrossRef] [PubMed]
- Korea, C.G.; Balsamo, G.; Pezzicoli, A.; Merakou, C.; Tavarini, S.; Bagnoli, F.; Serruto, D.; Unnikrishnan, M. Staphylococcal Esx Proteins Modulate Apoptosis and Release of Intracellular Staphylococcus aureus during Infection in Epithelial Cells. Infect. Immun. 2014, 82, 4144–4153. [Google Scholar] [CrossRef] [PubMed]
- Zhang, B.Z.; Hua, Y.H.; Yu, B.; Lau, C.C.Y.; Cai, J.P.; Zheng, S.Y.; Yam, W.C.; Kao, R.Y.T.; Sze, K.H.; Zheng, B.J.; et al. Recombinant ESAT-6-Like Proteins Provoke Protective Immune Responses against Invasive Staphylococcus aureus Disease in a Murine Model. Infect. Immun. 2015, 83, 339–345. [Google Scholar] [CrossRef] [PubMed][Green Version]
- Wilke, G.A.; Bubeck Wardenburg, J. Role of a disintegrin and metalloprotease 10 in Staphylococcus aureus alpha-hemolysin-mediated cellular injury. Proc. Natl. Acad. Sci. USA 2010, 107, 13473–13478. [Google Scholar] [CrossRef] [PubMed]
- Wardenburg, J.B.; Schneewind, O. Vaccine protection against Staphylococcus aureus pneumonia. J. Exp. Med. 2008, 205, 287–294. [Google Scholar] [CrossRef] [PubMed]
- Curtiss, R., 3rd; Nakayama, K.; Kelly, S.M. Recombinant avirulent Salmonella vaccine strains with stable maintenance and high level expression of cloned genes in vivo. Immunol. Investig. 1989, 18, 583–596. [Google Scholar] [CrossRef]
- Cárdenas, L.; Clements, J.D. Oral immunization using live attenuated Salmonella spp. as carriers of foreign antigens. Clin. Microbiol. Rev. 1992, 5, 328–342. [Google Scholar] [CrossRef]
- Kong, W.; Clark-Curtiss, J.; Curtiss Iii, R. Utilizing Salmonella for antigen delivery: The aims and benefits of bacterial delivered vaccination. Expert Rev. Vaccines 2013, 12, 345–347. [Google Scholar] [CrossRef]
- Wang, S.; Kong, Q.; Curtiss, R. New technologies in developing recombinant attenuated Salmonella vaccine vectors. Microb. Pathog. 2013, 58, 17–28. [Google Scholar] [CrossRef]
- Shams, H.; Poblete, F.; Rüssmann, H.; Galán, J.E.; Donis, R.O. Induction of specific CD8+ memory T cells and long lasting protection following immunization with Salmonella typhimurium expressing a lymphocytic choriomeningitis MHC class I-restricted epitope. Vaccine 2001, 20, 577–585. [Google Scholar] [CrossRef]
- Clements, J.D.; Kohler James, J.; Pathangey, L.; Hasona, A.; Progulske-Fox, A.; Brown Thomas, A. Long-Term Immunological Memory Induced by Recombinant Oral Salmonella Vaccine Vectors. Infect. Immun. 2000, 68, 4370–4373. [Google Scholar]
- Broz, P.; Ohlson, M.B.; Monack, D.M. Innate immune response to Salmonella typhimurium, a model enteric pathogen. Gut Microbes 2012, 3, 62–70. [Google Scholar] [CrossRef] [PubMed]
- Nakayama, K.; Kelly, S.M.; Curtiss, R. Construction of an ASD+ Expression-Cloning Vector: Stable Maintenance and High Level Expression of Cloned Genes in a Salmonella Vaccine Strain. Nat. Biotechnol. 1988, 6, 693–697. [Google Scholar] [CrossRef]
- Jawale Chetan, V.; Lee John, H.; Waters, W.R. Salmonella enterica Serovar Enteritidis Ghosts Carrying the Escherichia coli Heat-Labile Enterotoxin B Subunit Are Capable of Inducing Enhanced Protective Immune Responses. Clin. Vaccine Immunol. 2014, 21, 799–807. [Google Scholar] [CrossRef] [PubMed]
- Qian, F.; Guo, A.; Li, M.; Liu, W.; Pan, Z.; Jiang, L.; Wu, X.; Xu, H. Salmonella flagellin is a potent carrier-adjuvant for peptide conjugate to induce peptide-specific antibody response in mice. Vaccine 2015, 33, 2038–2044. [Google Scholar] [CrossRef]
- Pérez-Toledo, M.; Valero-Pacheco, N.; Pastelin-Palacios, R.; Gil-Cruz, C.; Perez-Shibayama, C.; Moreno-Eutimio, M.A.; Becker, I.; Pérez-Tapia, S.M.; Arriaga-Pizano, L.; Cunningham, A.F.; et al. Salmonella Typhi Porins OmpC and OmpF Are Potent Adjuvants for T-Dependent and T-Independent Antigens. Front. Immunol. 2017, 8, 230. [Google Scholar] [CrossRef]
- Wei, K.; Soo-Young, W.; Xin, Z.; Wendy, B.; Tinge, S.A.; Roland, K.L.; Roy, C. Regulated programmed lysis of recombinant Salmonella in host tissues to release protective antigens and confer biological containment. Proc. Natl. Acad. Sci. USA 2008, 105, 9361–9366. [Google Scholar]
- Jiang, Y.L.; Mo, H.; Willingham, C.; Wang, S.F.; Park, J.Y.; Kong, W.; Roland, K.L.; Curtiss, R. Protection against Necrotic Enteritis in Broiler Chickens by Regulated Delayed Lysis Salmonella Vaccines. Avian Dis. 2015, 59, 475–485. [Google Scholar] [CrossRef]
- Ameiss, K.; Ashraf, S.; Kong, W.; Pekosz, A.; Wu, W.H.; Milich, D.; Billaud, J.N.; Curtiss, R. Delivery of woodchuck hepatitis virus-like particle presented influenza M2e by recombinant attenuated Salmonella displaying a delayed lysis phenotype. Vaccine 2010, 28, 6704–6713. [Google Scholar] [CrossRef]
- Kulkarni, R.R.; Parreira, V.R.; Jiang, Y.F.; Prescott, J.F. A Live Oral Recombinant Salmonella enterica Serovar Typhimurium Vaccine Expressing Clostridium perfringens Antigens Confers Protection against Necrotic Enteritis in Broiler Chickens. Clin. Vaccine Immunol. 2010, 17, 205–214. [Google Scholar] [CrossRef] [PubMed]
- Xin, W.; Wanda, S.Y.; Li, Y.; Wang, S.; Mo, H.; Curtiss, R., 3rd. Analysis of type II secretion of recombinant pneumococcal PspA and PspC in a Salmonella enterica serovar Typhimurium vaccine with regulated delayed antigen synthesis. Infect. Immun. 2008, 76, 3241–3254. [Google Scholar] [CrossRef] [PubMed]
- Lin, L.; Ibrahim, A.S.; Xu, X.; Farber, J.M.; Avanesian, V.; Baquir, B.; Fu, Y.; French, S.W.; Edwards, J.E., Jr.; Spellberg, B. Th1-Th17 cells mediate protective adaptive immunity against Staphylococcus aureus and Candida albicans infection in mice. PLoS Pathog. 2009, 5, e1000703. [Google Scholar] [CrossRef] [PubMed]
- Garzoni, C.; Kelley, W.L. Staphylococcus aureus: New evidence for intracellular persistence. Trends Microbiol. 2009, 17, 59–65. [Google Scholar] [CrossRef]
- Liu, Q.; Su, H.; Bian, X.; Wang, S.; Kong, Q. Live attenuated Salmonella Typhimurium with monophosphoryl lipid A retains ability to induce T-cell and humoral immune responses against heterologous polysaccharide of Shigella flexneri 2a. Int. J. Med. Microbiol. 2020, 310, 151427. [Google Scholar] [CrossRef]
- Woo, P.; Wong, L.P.; Zheng, B.J.; Yuen, K.Y. Unique immunogenicity of hepatitis B virus DNA vaccine presented by live-attenuated Salmonella typhimurium. Vaccine 2001, 19, 2945–2954. [Google Scholar] [CrossRef]
- Xu, D.; Mcsorley, S.J.; Chatfield, S.N.; Dougan, G.; Liew, F.Y. Protection against Leishmania major infection in genetically susceptible BALB/c mice by gp63 delivered orally in attenuated Salmonella typhimurium (AroA-AroD-). Immunology 1995, 85, 1–7. [Google Scholar]
- Zhao, N.; Lv, J.; Lu, Y.; Jiang, Y.; Zhao, X. Prolonging and enhancing the protective efficacy of the EtMIC3-C-MAR against eimeria tenella through delivered by attenuated Salmonella typhimurium. Vet. Parasitol. 2020, 279, 109061. [Google Scholar] [CrossRef]
- Hernández-Luna, M.; Luria-Pérez, R. Cancer Immunotherapy: Priming the Host Immune Response with Live Attenuated Salmonella enterica. J. Immunol. Res. 2018, 2018, 2984247. [Google Scholar] [CrossRef]
- Zhang, F.; Ledue, O.; Jun, M.; Goulart, C.; Malley, R.; Lu, Y.J. Protection against Staphylococcus aureus Colonization and Infection by B- and T-Cell-Mediated Mechanisms. MBio 2018, 9, e01949. [Google Scholar] [CrossRef]
- Van Kessel, K.P.M.; Bestebroer, J.; Van Strijp, J.A.G. Neutrophil-Mediated Phagocytosis of Staphylococcus aureus. Front. Immunol. 2014, 5, 467. [Google Scholar] [CrossRef] [PubMed]
- Kim, M.R.; Hong, S.W.; Choi, E.B.; Lee, W.H.; Kim, Y.S.; Jeon, S.G.; Jang, M.H.; Gho, Y.S.; Kim, Y.K. Staphylococcus aureus-derived extracellular vesicles induce neutrophilic pulmonary inflammation via both Th1 and Th17 cell responses. Allergy 2012, 67, 1271–1281. [Google Scholar] [CrossRef] [PubMed]
- Lowy, F.D. Is Staphylococcus aureus an intracellular pathogen? Trends Microbiol. 2000, 8, 341–343. [Google Scholar] [CrossRef]
- Zautner, A.E.; Merit, K.; Gerhard, S.; Silva, H.; Hagen, F.; Claudia, M.; Bernd, K.; Wilhelm, P.H.; Andreas, P.; Stefan, B. Intracellular Persisting Staphylococcus aureus Is the Major Pathogen in Recurrent Tonsillitis. PLoS ONE 2010, 5, e9452. [Google Scholar] [CrossRef]
- Kubica, M.; Guzik, K.; Koziel, J.; Zarebski, M.; Richter, W.; Gajkowska, B.; Golda, A.; Maciag-Gudowska, A.; Brix, K.; Shaw, L. A potential new pathway for Staphylococcus aureus dissemination: The silent survival of S. aureus phagocytosed by human monocyte-derived macrophages. PLoS ONE 2008, 3, e1409. [Google Scholar] [CrossRef]
- Barbara, B.; Daniel, M.; Vincent, P. The T Cell Response to Staphylococcus aureus. Pathogens 2016, 5, 31. [Google Scholar]
- Reiner, S.L.; Locksley, R.M. The regulation of immunity to Leishmania major. Annu. Rev. Immunol. 1995, 13, 151–177. [Google Scholar] [CrossRef]
- Chen, K.; Jeremy, L.Y.; David, Z.M.; Casey, J.J. Th17 Cells Mediate Clade-Specific, Serotype-Independent Mucosal Immunity. Immunity 2011, 35, 997–1009. [Google Scholar] [CrossRef]
- Islander, U.; Andersson, A.; Lindberg, E.; Adlerberth, I.; Rudin, A. Superantigenic Staphylococcus aureus Stimulates Production of Interleukin-17 from Memory but Not Naive T Cells. Infect. Immun. 2010, 78, 381–386. [Google Scholar] [CrossRef]
- Xu, C.; Zhang, B.Z.; Lin, Q.B.; Deng, J.; Yu, B.; Arya, S.; Yuen, K.Y.; Huang, J.D. Live attenuated Salmonella typhimurium vaccines delivering SaEsxA and SaEsxB via type III secretion system confer protection against Staphylococcus aureus infection. BMC Infect. Dis. 2018, 18, 195. [Google Scholar] [CrossRef]






| Strain or Plasmid | Description | Source or Reference |
|---|---|---|
| Strain | ||
| χ6212 | F− λ− φ80 Δ(lacZYA-argF) endA1 recA1 hsdR17 deoR thi-1 glnV44 gyrA96 relA1 ΔasdA4 | Genotype referenced Xin et al. [32] |
| χ11802 | ΔPmurA25::TT araC PBAD murA DasdA27::TT araC PBADc2 Δ(wza-wcaM)-8 Δpmi-2426 ΔrelA198::araC PBAD lacI TT ΔrecF126 | Genotype referenced Jiang et al. [29] |
| χ6212(pYA3681−esxAB) | χ6212 carrying pYA3681−esxAB | This study |
| χ6212(pYA3681−hlam) | χ6212 carrying pYA3681−hlam | This study |
| χ11802(pYA3681) | χ11802 carrying pYA3681 | This study |
| χ11802 (pYA3681−esxAB) | χ11802 carrying pYA3681−esxAB | This study |
| χ11802 (pYA3681−hlam) | χ11802 carrying pYA3681−hlam | This study |
| S. aureus USA300 | American Type Culture Collection (Manassas, VA, USA) | |
| Plasmid | ||
| pUC57−esxAB | pUC57::blaSS::HA-tag:: esxAB | GenScript Bio Co. |
| pUC57−hlam | pUC57::blaSS::HA-tag:: hlam | GenScript Bio Co. |
| pYA3681 | Ptrc pBR ori araC* PBAD SD-GTG-asdA SD-GTG-murA P22 PR antisense mRNA | Genotype referenced Jiang et al. [29] |
| pYA3681−esxAB | pYA3681::blaSS::HA-tag:: esxAB | This study |
| pYA3681−hlam | pYA3681::blaSS::HA-tag:: hlam | This study |
Publisher’s Note: MDPI stays neutral with regard to jurisdictional claims in published maps and institutional affiliations. |
© 2022 by the authors. Licensee MDPI, Basel, Switzerland. This article is an open access article distributed under the terms and conditions of the Creative Commons Attribution (CC BY) license (https://creativecommons.org/licenses/by/4.0/).
Share and Cite
Liang, Y.; Zhang, H.; Pan, N.; Liu, Y.; Sheng, S.; Li, H.; Bao, X.; Wang, X. Oral Administration with Recombinant Attenuated Regulated Delayed Lysis Salmonella Vaccines Protecting against Staphylococcus aureus Kidney Abscess Formation. Vaccines 2022, 10, 1073. https://doi.org/10.3390/vaccines10071073
Liang Y, Zhang H, Pan N, Liu Y, Sheng S, Li H, Bao X, Wang X. Oral Administration with Recombinant Attenuated Regulated Delayed Lysis Salmonella Vaccines Protecting against Staphylococcus aureus Kidney Abscess Formation. Vaccines. 2022; 10(7):1073. https://doi.org/10.3390/vaccines10071073
Chicago/Turabian StyleLiang, Yanchen, Haochi Zhang, Na Pan, Yang Liu, Shouxin Sheng, Haotian Li, Xuemei Bao, and Xiao Wang. 2022. "Oral Administration with Recombinant Attenuated Regulated Delayed Lysis Salmonella Vaccines Protecting against Staphylococcus aureus Kidney Abscess Formation" Vaccines 10, no. 7: 1073. https://doi.org/10.3390/vaccines10071073
APA StyleLiang, Y., Zhang, H., Pan, N., Liu, Y., Sheng, S., Li, H., Bao, X., & Wang, X. (2022). Oral Administration with Recombinant Attenuated Regulated Delayed Lysis Salmonella Vaccines Protecting against Staphylococcus aureus Kidney Abscess Formation. Vaccines, 10(7), 1073. https://doi.org/10.3390/vaccines10071073

