Enhanced Recovery of Antioxidant Compounds from Hazelnut (Corylus avellana L.) Involucre Based on Extraction Optimization: Phytochemical Profile and Biological Activities
Abstract
1. Introduction
2. Materials and Methods
2.1. Chemicals
2.2. Plant Samples
Preparation of the Extracts
2.3. Determination of Total Bioactive Compounds
2.3.1. Total Phenolic Content
2.3.2. Total Flavonoid Content
2.3.3. Condensed Tannin Content
2.4. Determination of the Antioxidant Activity
2.4.1. TEAC Assay
2.4.2. DPPH Radical Scavenging Activity
2.4.3. FRAP Assay
2.5. Phytochemical Analysis by LC-MS
2.5.1. Identification and Quantification of Individual Polyphenolic Compounds
2.5.2. Identification and Quantification of Phytosterols
2.6. Selection and Biological Activities of the Optimal Hazelnut Involucre Extract
2.6.1. Enzyme Inhibitory Activities
Tyrosinase Inhibitory Activity
α-Glucosidase Inhibitory Assay
2.6.2. Biological Activities of HI Extract on Cell Lines
Cell Culture
Preparation of Extract Solutions
Viability Assays
Dichloro-Fluorescein Diacetate (DCFH-DA) Assay
2.7. Statistical Analysis
3. Results and Discussion
3.1. Fitting the Experimental Data with the Models
3.2. The Influence of Experimental Conditions on TPC, TFC, CTC, and AA-TEAC
3.3. Quantitative Determinations of Total Bioactive Compounds
3.3.1. Total Phenolic Content
3.3.2. Total Flavonoid Content
3.3.3. Condensed Tannin Content
3.4. Determination of Antioxidant Activity
3.4.1. TEAC Assay
3.4.2. DPPH Radical Scavenging Activity
3.4.3. FRAP Assay
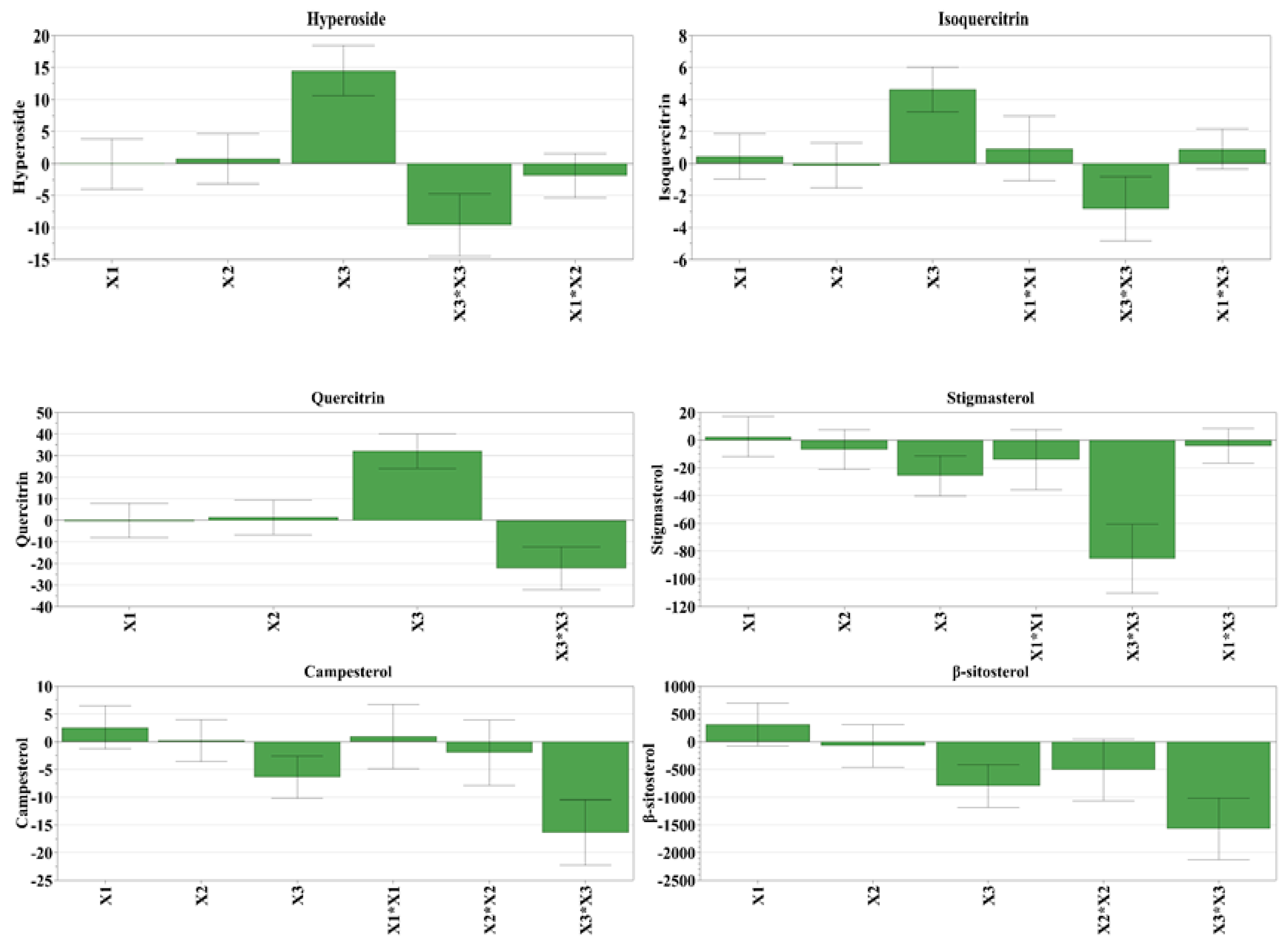
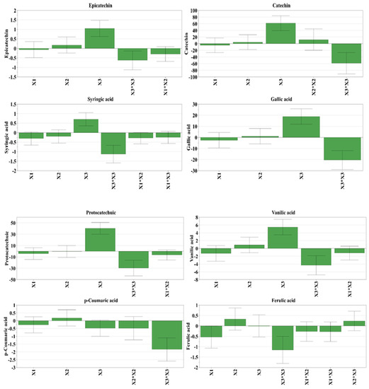
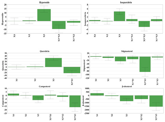
3.5. The Influence of Experimental Conditions on Individual Bioactive Compounds
3.5.1. Quantification of Individual Polyphenols
3.5.2. Quantification of Phytosterols
3.6. Enzyme Inhibitory Activities
3.6.1. Selection of the Optimal HI Extract
3.6.2. Tyrosinase Inhibitory Activity
3.6.3. α-Glucosidase Inhibitory Activity
3.7. Biological Activities of HI Extract on Cell Lines
3.7.1. Viability Assay
3.7.2. DCFH-DA Assay
4. Conclusions
Supplementary Materials
Author Contributions
Funding
Conflicts of Interest
References
- Chen, G.; Zhang, R.; Martínez-González, M.; Zhang, Z.; Bonaccio, M.; van Dam, R.; Qin, L. Nut consumption in relation to all-cause and cause-specific mortality: A meta-analysis 18 prospective studies. Food Funct. 2017, 18, 3893–3905. [Google Scholar] [CrossRef] [PubMed]
- Carughi, A.; Feeney, M.J.; Kris-Etherton, P.; Fulgoni, V., III; Kendall, C.W.C.; Bulló, M.; Webb, D. Pairing nuts and dried fruit for cardiometabolic health. Nutr. J. 2016, 15, 23. [Google Scholar] [CrossRef] [PubMed]
- Poulose, S.M.; Miller, M.G.; Shukitt-Hale, B. Role of walnuts in maintaining brain health with age. J. Nutr. 2014, 144, 561S–566S. [Google Scholar] [CrossRef] [PubMed]
- Arias-Fernández, L.; Machado-Fragua, M.; Graciani, A.; Guallar-Castillón, P.; Banegas, J.; Rodríguez-Artalejo, F.; Lana, A.; Lopez-Garcia, E. Prospective Association Between Nut Consumption and Physical Function in Older Men and Women. J. Gerontol. A Biol. Sci. Med. Sci. 2018, 74, 1091–1097. [Google Scholar]
- Rusu, M.E.; Simedrea, R.; Gheldiu, A.-M.; Mocan, A.; Vlase, L.; Popa, D.-S.; Ferreira, I.C.F.R. Benefits of tree nut consumption on aging and age-related diseases: Mechanisms of actions. Trends Food Sci. Technol. 2019, 88, 104–120. [Google Scholar] [CrossRef]
- Rusu, M.E.; Mocan, A.; Ferreira, I.C.F.R.; Popa, D.-S. Health Benefits of Nut Consumption in Middle-Aged and Elderly Population. Antioxidants 2019, 8, 302. [Google Scholar] [CrossRef] [PubMed]
- Alasalvar, C.; Shahidi, F.; Liyanapathirana, C.M.; Ohshima, T. Turkish Tombul Hazelnut (Corylus avellana L.). 1. Compositional Characteristics. J. Agric. Food Chem. 2003, 51, 3790–3796. [Google Scholar] [CrossRef]
- Jakopic, J.; Petkovsek, M.M.; Likozar, A.; Solar, A.; Stampar, F.; Veberic, R. HPLC-MS identification of phenols in hazelnut (Corylus avellana L.) kernels. Food Chem. 2011, 124, 1100–1106. [Google Scholar] [CrossRef]
- Alasalvar, C.; Shahidi, F. Natural antioxidants in tree nuts. Eur. J. Lipid Sci. Technol. 2009, 111, 1056–1062. [Google Scholar] [CrossRef]
- Hever, J.; Cronise, R.J. Plant-based nutrition for healthcare professionals: Implementing diet as a primary modality in the prevention and treatment of chronic disease. J. Geriatr. Cardiol. 2017, 14, 355–368. [Google Scholar]
- Rusu, M.E.; Gheldiu, A.-M.; Mocan, A.; Vlase, L.; Popa, D.-S. Anti-aging potential of tree nuts with a focus on phytochemical composition, molecular mechanisms and thermal stability of major bioactive compounds. Food Funct. 2018, 9, 2554–2575. [Google Scholar] [CrossRef] [PubMed]
- Shahidi, F.; Ambigaipalan, P. Phenolics and polyphenolics in foods, beverages and spices: Antioxidant activity and health effects — A review. J. Funct. Foods 2015, 18, 820–897. [Google Scholar] [CrossRef]
- Sánchez-González, C.; Ciudad, C.J.; Noé, V.; Izquierdo-Pulido, M. Health benefits of walnut polyphenols: An exploration beyond their lipid profile. Crit. Rev. Food Sci. Nutr. 2017, 57, 3373–3383. [Google Scholar] [CrossRef] [PubMed]
- Shahidi, F.; Alasalvar, C.; Liyana-Pathirana, C. Antioxidant phytochemicals in hazelnut kernel (Corylus avellana L.) and hazelnut byproducts. J. Agric. Food Chem. 2007, 55, 1212–1220. [Google Scholar] [CrossRef] [PubMed]
- Rusu, M.E.; Gheldiu, A.-M.; Mocan, A.; Moldovan, C.; Popa, D.-S.; Tomuta, I.; Vlase, L. Process Optimization for Improved Phenolic Compounds Recovery from Walnut (Juglans regia L.) Septum: Phytochemical Profile and Biological Activities. Molecules 2018, 23, 2814. [Google Scholar] [CrossRef] [PubMed]
- Mocan, A.; Zengin, G.; Simirgiotis, M.; Schafberg, M.; Mollica, A.; Vodnar, D.C.; Crişan, G.; Rohn, S. Functional constituents of wild and cultivated Goji (L. barbarum L.) leaves: Phytochemical characterization, biological profile, and computational studies. J. Enzym. Inhib. Med. Chem. 2017, 32, 153–168. [Google Scholar] [CrossRef] [PubMed]
- Mocan, A.; Schafberg, M.; Crisan, G.; Rohn, S. Determination of lignans and phenolic components of Schisandra chinensis (Turcz.) Baill. using HPLC-ESI-ToF-MS and HPLC-online TEAC: Contribution of individual components to overall antioxidant activity and comparison with traditional antioxidant assays. J. Funct. Foods 2016, 24, 579–594. [Google Scholar] [CrossRef]
- Price, M.L.; Van Scoyoc, S.; Butler, L.G. A Critical Evaluation of the Vanillin Reaction as an Assay for Tannin in Sorghum Grain. J. Agric. Food Chem. 1978, 26, 1214–1218. [Google Scholar] [CrossRef]
- Mocan, A.; Fernandes, A.; Barros, L.; Crișan, G.; Smiljkovic, M.; Sokovic, M.; Ferreira, I. Chemical composition and bioactive properties of the wild mushroom Polyporus squamosus (Huds.) Fr: A study with samples from Romania. Food Funct. 2018, 9, 160–170. [Google Scholar] [CrossRef] [PubMed]
- Damiano, S.; Forino, M.; De, A.; Vitali, L.A.; Lupidi, G.; Taglialatela-Scafati, O. Antioxidant and antibiofilm activities of secondary metabolites from Ziziphus jujuba leaves used for infusion preparation. Food Chem. 2017, 230, 24–29. [Google Scholar] [CrossRef] [PubMed]
- Mocan, A.; Vlase, L.; Raita, O.; Hanganu, D.; Paltinean, R.; Dezsi, S.; Gheldiu, A.M.; Oprean, R.; Crisan, G. Comparative studies on antioxidant activity and polyphenolic content of Lycium barbarum L. and Lycium chinense Mill. leaves. Pak. J. Pharm. Sci. 2015, 28, 1511–1515. [Google Scholar] [PubMed]
- Pop, C.E.; Pârvu, M.; Arsene, A.L.; Pârvu, A.E.; Vodnar, D.C.; Tarcea, M.; Toiu, A.M.; Vlase, L. Investigation of antioxidant and antimicrobial potential of some extracts from Hedera helix L. Farmacia 2017, 65, 624–629. [Google Scholar]
- Babotă, M.; Mocan, A.; Vlase, L.; Crisan, O.; Ielciu, I.; Gheldiu, A.M.; Vodnar, D.C.; Crişan, G.; Păltinean, R. Phytochemical analysis, antioxidant and antimicrobial activities of Helichrysum arenarium (L.) Moench. and Antennaria dioica (L.) Gaertn. Flowers. Molecules 2018, 23, 409. [Google Scholar] [CrossRef] [PubMed]
- Toiu, A.; Mocan, A.; Vlase, L.; Pârvu, A.E.; Vodnar, D.C.; Gheldiu, A.M.; Moldovan, C.; Oniga, I. Phytochemical composition, antioxidant, antimicrobial and in vivo anti-inflammatory activity of traditionally used Romanian Ajuga laxmannii (Murray) Benth. (“Nobleman’s beard” - barba împăratului). Front. Pharmacol. 2018, 9, 7. [Google Scholar] [CrossRef] [PubMed]
- Vlase, L.; Parvu, M.; Parvu, E.A.; Toiu, A. Chemical constituents of three Allium species from Romania. Molecules 2013, 18, 114–127. [Google Scholar] [CrossRef] [PubMed]
- Masuda, T.; Fujita, N.; Odaka, Y.; Takeda, Y.; Yonemori, S.; Nakamoto, K.; Kuninaga, H. Tyrosinase inhibitory activity of ethanol extracts from medicinal and edible plants cultivated in okinawa and identification of a water-soluble inhibitor from the leaves of Nandina domestica. Biosci. Biotechnol. Biochem. 2007, 71, 2316–2320. [Google Scholar] [CrossRef] [PubMed]
- Mocan, A.; Diuzheva, A.; Carradori, S.; Andruch, V.; Massafra, C.; Moldovan, C.; Sisea, C.; Petzer, J.P.; Petzer, A.; Zara, S.; et al. Development of novel techniques to extract phenolic compounds from Romanian cultivars of Prunus domestica L. and their biological properties. Food Chem. Toxicol. 2018, 119, 189–198. [Google Scholar] [CrossRef] [PubMed]
- Albuquerque, B.R.; Prieto, M.A.; Vazquez, J.A.; Barreiro, M.F.; Barros, L.; Ferreira, I.C.F.R. Recovery of bioactive compounds from Arbutus unedo L. fruits: Comparative optimization study of maceration/microwave/ultrasound extraction techniques. Food Res. Int. 2018, 109, 455–471. [Google Scholar] [CrossRef] [PubMed]
- Alasalvar, C.; Karamać, M.; Amarowicz, R.; Shahidi, F. Antioxidant and antiradical activities in extracts of hazelnut kernel (Corylus avellana L.) and hazelnut green leafy cover. J. Agric. Food Chem. 2006, 54, 4826–4832. [Google Scholar] [CrossRef] [PubMed]
- Siriwardhana, S.S.; Shahidi, F. Antiradical Activity of Extracts of Almond and Its By-products. JAOCS 2002, 79, 903–908. [Google Scholar] [CrossRef]
- Oliveira, I.; Sousa, A.; Morais, J.S.; Ferreira, I.C.F.R.; Bento, A.; Estevinho, L.; Pereira, J.A. Chemical composition, and antioxidant and antimicrobial activities of three hazelnut (Corylus avellana L.) cultivars. Food Chem. Toxicol. 2008, 46, 1801–1807. [Google Scholar] [CrossRef] [PubMed]
- Locatelli, M.; Coïsson, J.D.; Travaglia, F.; Bordiga, M.; Arlorio, M. Impact of Roasting on Identification of Hazelnut (Corylus avellana L.) Origin: A Chemometric Approach. J. Agric. Food Chem. 2015, 63, 7294–7303. [Google Scholar] [CrossRef] [PubMed]
- Esposito, T.; Sansone, F.; Franceschelli, S.; Del Gaudio, P.; Picerno, P.; Aquino, R.P.; Mencherini, T. Hazelnut (Corylus avellana L.) Shells Extract: Phenolic Composition, Antioxidant Effect and Cytotoxic Activity on Human Cancer Cell Lines. Int. J. Mol. Sci. 2017, 18, 392. [Google Scholar] [CrossRef] [PubMed]
- Masullo, M.; Cerulli, A.; Mari, A.; de Souza Santos, C.C.; Pizza, C.; Piacente, S. LC-MS profiling highlights hazelnut (Nocciola di Giffoni PGI) shells as a byproduct rich in antioxidant phenolics. Food Res. Int. 2017, 101, 180–187. [Google Scholar] [CrossRef] [PubMed]
- Faggio, C.; Sureda, A.; Morabito, S.; Sanches-Silva, A.; Mocan, A.; Nabavi, S.F.; Nabavi, S.M. Flavonoids and platelet aggregation: A brief review. Eur. J. Pharmacol. 2017, 807, 91–101. [Google Scholar] [CrossRef] [PubMed]
- Mollica, A.; Zengin, G.; Stefanucci, A.; Ferrante, C.; Menghini, L.; Orlando, G.; Brunetti, L.; Locatelli, M.; Dimmito, M.P.; Novellino, E.; et al. Nutraceutical potential of Corylus avellana daily supplements for obesity and related dysmetabolism. J. Funct. Foods 2018, 47, 562–574. [Google Scholar] [CrossRef]
- Gorji, N.; Moeini, R.; Memariani, Z. Almond, hazelnut and walnut, three nuts for neuroprotection in Alzheimer’s disease: A neuropharmacological review of their bioactive constituents. Pharmacol. Res. 2018, 129, 115–127. [Google Scholar] [CrossRef]
- Kim, Y.; Keogh, J.; Clifton, P. Benefits of nut consumption on insulin resistance and cardiovascular risk factors: Multiple potential mechanisms of actions. Nutrients 2017, 9, 1271. [Google Scholar] [CrossRef]
- Lainas, K.; Alasalvar, C.; Bolling, B.W. Effects of roasting on proanthocyanidin contents of Turkish Tombul hazelnut and its skin. J. Funct. Foods 2016, 23, 647–653. [Google Scholar] [CrossRef]
- Bolling, B.W. Almond Polyphenols: Methods of Analysis, Contribution to Food Quality, and Health Promotion. Compr. Rev. Food Sci. Food Saf. 2017, 16, 346–368. [Google Scholar] [CrossRef]
- Arcan, I.; Yemeniciog, A. Antioxidant activity and phenolic content of fresh and dry nuts with or without the seed coat. J. Food Compost. Anal. 2009, 22, 184–188. [Google Scholar] [CrossRef]
- Delgado, T.; Malheiro, R.; Pereira, J.A.; Ramalhosa, E. Hazelnut (Corylus avellana L.) kernels as a source of antioxidants and their potential in relation to other nuts. Ind. Crop. Prod. 2010, 32, 621–626. [Google Scholar] [CrossRef]
- Oliveira, I.; Sousa, A.; Valentão, P.; Andrade, P.B.; Ferreira, I.C.F.R.; Ferreres, F.; Bento, A.; Seabra, R.; Estevinho, L.; Pereira, J.A. Hazel (Corylus avellana L.) leaves as source of antimicrobial and antioxidative compounds. Food Chem. 2007, 105, 1018–1025. [Google Scholar] [CrossRef]
- Yuan, B.; Lu, M.; Eskridge, K.M.; Isom, L.D.; Hanna, M.A. Extraction, identification, and quantification of antioxidant phenolics from hazelnut (Corylus avellana L.) shells. Food Chem. 2018, 244, 7–15. [Google Scholar] [CrossRef] [PubMed]
- Bolling, B.W.; McKay, D.L.; Blumberg, J.B. The phytochemical composition and antioxidant actions of tree nuts. Asia Pac. J. Clin. Nutr. 2010, 19, 117–123. [Google Scholar] [PubMed]
- Alasalvar, C.; Bolling, B. Review of nut phytochemicals, fat-soluble bioactives, antioxidant components and health effects. Br. J. Nutr. 2015, 113, S68–S78. [Google Scholar] [CrossRef] [PubMed]
- Montella, R.; Coisson, J.D.; Travaglia, F.; Locatelli, M.; Malfa, P.; Martelli, A.; Arlorio, M. Bioactive compounds from hazelnut skin (Corylus avellana L.): Effects on Lactobacillus plantarum P17630 and Lactobacillus crispatus P17631. J. Funct. Foods 2013, 5, 306–315. [Google Scholar] [CrossRef]
- Ras, R.T.; Geleijnse, J.M.; Trautwein, E.A. LDL-cholesterol-lowering effect of plant sterols and stanols across different dose ranges: A meta-analysis of randomised controlled studies. Br. J. Nutr. 2014, 112, 214–219. [Google Scholar] [CrossRef] [PubMed]
- Hsu, C.C.; Kuo, H.C.; Huang, K.E. The Effects of Phytosterols Extracted from Diascorea alata on the Antioxidant Activity, Plasma Lipids, and Hematological Profiles in Taiwanese Menopausal Women. Nutrients 2017, 9, 1320. [Google Scholar] [CrossRef]
- Phillips, K.; Ruggio, D.; Ashraf-Khorassani, M. Phytosterol Composition of Nuts and Seeds Commonly Consumed in the United States. J. Agric. Food Chem. 2005, 53, 9436–9445. [Google Scholar] [CrossRef]
- Pillaiyar, T.; Manickam, M.; Namasivayam, V. Skin whitening agents: Medicinal chemistry perspective of tyrosinase inhibitors. J. Enzym. Inhib. Med. Chem. 2017, 32, 403–425. [Google Scholar] [CrossRef] [PubMed]
- Mocan, A.; Moldovan, C.; Zengin, G.; Bender, O.; Locatelli, M.; Simirgiotis, M.; Atalay, A.; Vodnar, D.C.; Rohn, S.; Crișan, G. UHPLC-QTOF-MS analysis of bioactive constituents from two Romanian Goji (Lycium barbarum L.) berries cultivars and their antioxidant, enzyme inhibitory, and real-time cytotoxicological evaluation. Food Chem. Toxicol. 2018, 115, 414–424. [Google Scholar] [CrossRef] [PubMed]
- Gallego, A.; Metón, I.; Baanante, I.V.; Ouazzani, J.; Adelin, E.; Palazon, J.; Bonfill, M.; Moyano, E. Viability-reducing activity of Coryllus avellana L. extracts against human cancer cell lines. Biomed. Pharmacother. 2017, 89, 565–572. [Google Scholar] [CrossRef] [PubMed]
- Bestoso, F.; Ottaggio, L.; Armirotti, A.; Balbi, A.; Damonte, G.; Degan, P.; Mazzei, M.; Cavalli, F.; Ledda, B.; Miele, M. In vitro cell cultures obtained from different explants of Corylus avellana produce Taxol and taxanes. BMC Biotechnol. 2006, 6, 45. [Google Scholar] [CrossRef] [PubMed]
- Danihelová, M.; Veverka, M.; Šturdík, E.; Jantová, S. Antioxidant action and cytotoxicity on HeLa and NIH-3T3 cells of new quercetin derivatives. Interdiscip. Toxicol. 2013, 6, 209–216. [Google Scholar]
- Jamshidi, M.; Ghanati, F. Taxanes content and cytotoxicity of hazel cells extract after elicitation with silver nanoparticles. Plant Physiol. Biochem. 2017, 110, 178–184. [Google Scholar] [CrossRef]
- Glei, M.; Fischer, S.; Lamberty, J.; Ludwig, D.; Lorkowski, S.; Schlörmann, W. Chemopreventive Potential of In Vitro Fermented Raw and Roasted Hazelnuts in LT97 Colon Adenoma Cells. Anticancer Res. 2018, 38, 83–93. [Google Scholar]







| Variables | Level | ||
|---|---|---|---|
| −1 | 0 | 1 | |
| Independent variables (factors) | |||
| Stirring time (min) (X1) | 1 | 2 | 3 |
| pH (X2) | 3 | 5 | 7 |
| Water in solvent (%, v/v) (X3) | 0 | 25 | 50 |
| Dependent variables (responses) | |||
| Total phenolic content (TPC, mg GAE/g dw 1) (Y1) | |||
| Total flavonoid content (TFC, mg QE/g dw 2) (Y2) | |||
| Condensed tannin content (CTC, mg CE/g dw 3) (Y3) | |||
| Antioxidant activity (AA, mg TE/g dw 4) (Y4) | |||
| Variables | Level | ||
|---|---|---|---|
| −1 | 0 | 1 | |
| Independent variables (factors) | |||
| Stirring time (min) (X1) | 1 | 2 | 3 |
| pH (X2) | 3 | 5 | 7 |
| Water in solvent (%, v/v) (X3) | 0 | 25 | 50 |
| Dependent variables (responses) | |||
| Epicatechin (μg/g dw) (Y1) | |||
| Catechin (μg/g dw) (Y2) | |||
| Syringic acid (μg/g dw) (Y3) | |||
| Gallic acid (μg/g dw) (Y4) | |||
| Protocatechuic acid (μg/g dw) (Y5) | |||
| Vanillic acid (μg/g dw) (Y6) | |||
| p-Coumaric acid (μg/g dw) (Y7) | |||
| Ferulic acid (μg/g dw) (Y8) | |||
| Hyperoside (μg/g dw) (Y9) | |||
| Isoquercitrin (μg/g dw) (Y10) | |||
| Quercitrin (μg/g dw) (Y11) | |||
| Stigmasterol (μg/g dw) (Y12) | |||
| Campesterol (μg/g dw) (Y13) | |||
| Beta-sitosterol (μg/g dw) (Y14) | |||
| Sample Code | Run Order | Factorial Design with Coded Values | Determination (Experimental) | |||||
|---|---|---|---|---|---|---|---|---|
| X1 | X2 | X3 | Y1 (TPC) | Y2 (TFC) | Y3 (CTC) | Y4 (AA-TEAC) | ||
| N1 | 12 | 1 | 3 | 0 | 2.62 ± 0.35 | 2.23 ± 0.23 | 0.04 ± 0.02 | 9.86 ± 1.13 |
| N2 | 3 | 3 | 3 | 0 | 4.88 ± 0.66 | 2.88 ± 0.10 | 0.26 ± 0.14 | 18.89 ± 1.62 |
| N3 | 2 | 1 | 7 | 0 | 4.33 ± 0.41 | 3.64 ± 0.18 | 1.48 ± 0.85 | 16.01 ± 1.07 |
| N4 | 14 | 3 | 7 | 0 | 2.59 ± 0.19 | 1.80 ± 0.09 | 0.57 ± 0.08 | 8.65 ± 0.53 |
| N5 | 10 | 1 | 3 | 50 | 320.83 ± 24.42 | 32.12 ± 1.14 | 226.74 ± 3.69 | 1049.75 ± 25.43 |
| N6 | 7 | 3 | 3 | 50 | 377.43 ± 26.74 | 43.10 ± 1.59 | 280.69 ± 7.85 | 1296.51 ± 19.25 |
| N7 | 1 | 1 | 7 | 50 | 332.78 ± 19.62 | 39.82 ± 0.92 | 274.27 ± 14.73 | 1207.62 ± 30.23 |
| N8 | 13 | 3 | 7 | 50 | 334.68 ± 16.78 | 37.32 ± 0.70 | 242.31 ± 1.06 | 1137.48 ± 47.46 |
| N9 | 4 | 1 | 5 | 25 | 292.98 ± 9.49 | 34.47 ± 1.39 | 244.06 ± 4.03 | 1065.73 ± 55.15 |
| N10 | 8 | 3 | 5 | 25 | 210.67 ± 5.46 | 25.04 ± 2.77 | 174.81 ± 3.02 | 885.31 ± 17.82 |
| N11 | 9 | 2 | 3 | 25 | 188.82 ± 0.60 | 22.01 ± 1.02 | 150.18 ± 1.19 | 718.15 ± 21.35 |
| N12 | 5 | 2 | 7 | 25 | 257.22 ± 8.50 | 28.06 ± 1.04 | 228.27 ± 2.33 | 823.02 ± 46.84 |
| N13 | 16 | 2 | 5 | 0 | 15.50 ± 0.39 | 10.56 ± 0.51 | 2.19 ± 0.15 | 109.79 ± 26.74 |
| N14 | 6 | 2 | 5 | 50 | 313.21 ± 8.00 | 32.56 ± 0.45 | 225.72 ± 1.99 | 1261.77 ± 180.09 |
| N15 | 17 | 2 | 5 | 25 | 197.39 ± 16.29 | 25.53 ± 0.21 | 180.87 ± 4.21 | 760.24 ± 114.77 |
| N16 | 11 | 2 | 5 | 25 | 180.95 ± 10.42 | 25.38 ± 1.43 | 174.78 ± 13.29 | 749.62 ± 97.78 |
| N17 | 15 | 2 | 5 | 25 | 196.32 ± 15.63 | 25.30 ± 0.58 | 169.95 ± 2.18 | 714.15 ± 93.65 |
| Evaluated Response | Total Phenolic Content | Total Flavonoid Content | Condensed Tannin Content | Antioxidant Activity | ||||||||||||||||
|---|---|---|---|---|---|---|---|---|---|---|---|---|---|---|---|---|---|---|---|---|
| (R2 = 0.96, Q2 = 0.91) | (R2 = 0.92, Q2 = 0.78) | (R2 = 0.95, Q2 = 0.88) | (R2 = 0.97, Q2 = 0.92) | |||||||||||||||||
| Reproducibility | 0.95 | 0.98 | 0.97 | 0.99 | ||||||||||||||||
| SS | DF | MS | F-v | p-v | SS | DF | MS | F-v | p-v | SS | DF | MS | F-v | p-v | SS | DF | MS | F-v | p-v | |
| Regression | 286,363 | 5 | 57,272.6 | 61.46 | 0.001 | 2819.57 | 5 | 563.91 | 26.71 | 0.001 | 1728.27 | 5 | 345.65 | 46.74 | 0.001 | 5.26 × 105 | 6 | 878,126 | 69.9 | 0.001 |
| Lack of fit | 8678.93 | 9 | 964.32 | 1.22 | 0.527 | 227.15 | 9 | 25.23 | 9.99 | 0.094 | 75.94 | 9 | 8.43 | 3.12 | 0.266 | 122,720 | 8 | 15,340 | 10.58 | 0.089 |
| Pure error | 1570.49 | 2 | 785.24 | 5.04 | 2 | 2.52 | 5.39 | 2 | 2.69 | 2899.26 | 2 | 1449.63 | ||||||||
| Sample Code | Run Order | Factorial Design with Coded Values | Determination (Experimental Results) | |||||||||||||||
|---|---|---|---|---|---|---|---|---|---|---|---|---|---|---|---|---|---|---|
| X1 | X2 | X3 | Y1 | Y2 | Y3 | Y4 | Y5 | Y6 | Y7 | Y8 | Y9 | Y10 | Y11 | Y12 | Y13 | Y14 | ||
| N1 | 12 | 1 | 3 | 0 | ND | ND | ND | ND | ND | ND | 0.37 | 0.23 | 1.23 | 0.43 | 3.78 | 30.05 | 3.45 | 916.69 |
| N2 | 3 | 3 | 3 | 0 | 0.16 | 13.62 | 0.54 | 5.29 | 21.73 | 3.10 | 0.94 | 0.54 | 2.69 | 1.13 | 8.36 | 61.06 | 5.75 | 2444.00 |
| N3 | 2 | 1 | 7 | 0 | 0.11 | 10.28 | 0.41 | 3.78 | 14.55 | 2.44 | 0.70 | 0.44 | 3.09 | 1.01 | 7.32 | 30.05 | 2.32 | 1442.87 |
| N4 | 14 | 3 | 7 | 0 | ND | ND | ND | ND | ND | ND | 0.81 | 0.49 | 2.04 | 0.80 | 6.51 | 36.02 | 5.88 | 1408.88 |
| N5 | 10 | 1 | 3 | 50 | 1.48 | 155.09 | 2.65 | 55.39 | 103.98 | 15.78 | ND | ND | 31.61 | 9.21 | 76.21 | ND | ND | ND |
| N6 | 7 | 3 | 3 | 50 | 3.61 | 201.95 | 2.58 | 63.59 | 131.15 | 16.61 | ND | ND | 51.72 | 17.74 | 114.26 | ND | ND | ND |
| N7 | 1 | 1 | 7 | 50 | 3.17 | 158.06 | 2.77 | 53.14 | 124.58 | 21.10 | ND | 3.23 | 43.90 | 10.25 | 97.15 | ND | ND | ND |
| N8 | 13 | 3 | 7 | 50 | 2.05 | 161.14 | ND | 42.87 | 103.52 | 12.29 | ND | ND | 42.26 | 13.29 | 94.52 | ND | ND | ND |
| N9 | 4 | 1 | 5 | 25 | 3.48 | 216.97 | 3.33 | 69.07 | 140.91 | 18.71 | 6.58 | 3.97 | 50.99 | 15.71 | 112.05 | ND | 25.35 | 3145.78 |
| N10 | 8 | 3 | 5 | 25 | 1.62 | 108.01 | 2.01 | 37.15 | 70.58 | 9.83 | 3.19 | ND | 30.93 | 9.10 | 71.32 | 195.28 | 45.04 | 5166.14 |
| N11 | 9 | 2 | 3 | 25 | 1.65 | 150.77 | 2.63 | 53.23 | 97.26 | 14.51 | 2.74 | 2.49 | 31.04 | 8.64 | 71.34 | 185.63 | 31.38 | 3792.66 |
| N12 | 5 | 2 | 7 | 25 | 3.73 | 243.03 | 5.53 | 91.93 | 227.37 | 25.41 | 4.41 | 3.30 | 36.23 | 10.31 | 85.39 | 145.24 | 24.79 | 3480.22 |
| N13 | 16 | 2 | 5 | 0 | 0.27 | 19.98 | 0.87 | 11.83 | 33.32 | 4.71 | 2.14 | 1.51 | 5.89 | ND | 17.99 | 77.68 | 12.66 | 2843.16 |
| N14 | 6 | 2 | 5 | 50 | ND | 78.05 | 2.41 | 44.25 | 100.40 | 13.61 | ND | ND | 29.52 | 8.60 | 67.21 | ND | ND | ND |
| N15 | 17 | 2 | 5 | 25 | 2.41 | 172.79 | 3.39 | 54.21 | 119.09 | 14.81 | 3.14 | 2.15 | 2.44 | 9.57 | 85.62 | 141.49 | 28.96 | 3821.43 |
| N16 | 11 | 2 | 5 | 25 | 1.98 | 159.99 | 2.65 | 61.39 | 103.95 | 12.48 | 3.91 | 2.89 | 36.71 | 10.82 | 80.39 | 197.31 | 31.49 | 5305.01 |
| N17 | 15 | 2 | 5 | 25 | 1.89 | 186.77 | 3.78 | 57.64 | 116.71 | 15.31 | 3.61 | 2.65 | 39.23 | 11.98 | 88.73 | 178.96 | 22.76 | 3213.27 |
| Parameters | TPC | TFC | CTC | AA-TEAC |
|---|---|---|---|---|
| Stirring time (min) | 3 | 3 | 3 | 3 |
| pH | 3 | 3 | 3 | 3 |
| Water in solvent (%) | 50 | 50 | 50 | 50 |
| Predicted | 345.96 | 38.41 | 269.67 | 1253.09 |
| Determined | 370.42 | 41.97 | 279.30 | 1291.22 |
| Bias (%) | 7.07 | 9.26 | 3.57 | 3.04 |
| Cell Lines | 24 h | 48 h | ||
|---|---|---|---|---|
| Alamar Blue | Neutral Red | Alamar Blue | Neutral Red | |
| T47D-KBluc | 281.41 ± 22.7 | 294.56 ± 4.03 | 123.62 ± 1.97 | 125.042 ± 1.15 |
| A549 | 180.28 ± 4.6 | 222.10 ± 15.05 | 112.53 ± 1.44 | 83.06 ± 1.33 |
| HGF | ˃400 | ˃400 | ˃300 | ˃300 |
© 2019 by the authors. Licensee MDPI, Basel, Switzerland. This article is an open access article distributed under the terms and conditions of the Creative Commons Attribution (CC BY) license (http://creativecommons.org/licenses/by/4.0/).
Share and Cite
Rusu, M.E.; Fizeșan, I.; Pop, A.; Gheldiu, A.-M.; Mocan, A.; Crișan, G.; Vlase, L.; Loghin, F.; Popa, D.-S.; Tomuta, I. Enhanced Recovery of Antioxidant Compounds from Hazelnut (Corylus avellana L.) Involucre Based on Extraction Optimization: Phytochemical Profile and Biological Activities. Antioxidants 2019, 8, 460. https://doi.org/10.3390/antiox8100460
Rusu ME, Fizeșan I, Pop A, Gheldiu A-M, Mocan A, Crișan G, Vlase L, Loghin F, Popa D-S, Tomuta I. Enhanced Recovery of Antioxidant Compounds from Hazelnut (Corylus avellana L.) Involucre Based on Extraction Optimization: Phytochemical Profile and Biological Activities. Antioxidants. 2019; 8(10):460. https://doi.org/10.3390/antiox8100460
Chicago/Turabian StyleRusu, Marius Emil, Ionel Fizeșan, Anca Pop, Ana-Maria Gheldiu, Andrei Mocan, Gianina Crișan, Laurian Vlase, Felicia Loghin, Daniela-Saveta Popa, and Ioan Tomuta. 2019. "Enhanced Recovery of Antioxidant Compounds from Hazelnut (Corylus avellana L.) Involucre Based on Extraction Optimization: Phytochemical Profile and Biological Activities" Antioxidants 8, no. 10: 460. https://doi.org/10.3390/antiox8100460
APA StyleRusu, M. E., Fizeșan, I., Pop, A., Gheldiu, A.-M., Mocan, A., Crișan, G., Vlase, L., Loghin, F., Popa, D.-S., & Tomuta, I. (2019). Enhanced Recovery of Antioxidant Compounds from Hazelnut (Corylus avellana L.) Involucre Based on Extraction Optimization: Phytochemical Profile and Biological Activities. Antioxidants, 8(10), 460. https://doi.org/10.3390/antiox8100460

