Co-Enzyme Q10 and n-3 Polyunsaturated Fatty Acid Supplementation Reverse Intermittent Hypoxia-Induced Growth Restriction and Improved Antioxidant Profiles in Neonatal Rats
Abstract
:1. Introduction
2. Material and Methods
2.1. Experimental Design
2.2. Neonatal Intermittent Hypoxia (IH) Profiles
2.3. Sample Collection and Processing
2.4. Assay of Serum Antioxidants
2.5. Assay of Serum Growth Hormone (GH) and Growth Hormone Receptor (GHR)
2.6. Assay of Serum Insulin-Like Growth Factor (IGF)-I and Insulin-Like Growth Factor Binding Proteins (IGFBPs)
2.7. Assay of Serum Vascular Endothelial Growth Factor (VEGF) and Soluble Vascular Endothelial Growth Factor Receptor (sVEGFR-1)
2.8. Statistical Analysis
3. Results
3.1. Effects on Somatic Growth
3.2. Effects on Serum GH and GHR
3.3. Effects on Serum IGF and IGFBPs
3.4. Effects on Serum VEGF and sVEGFR-1
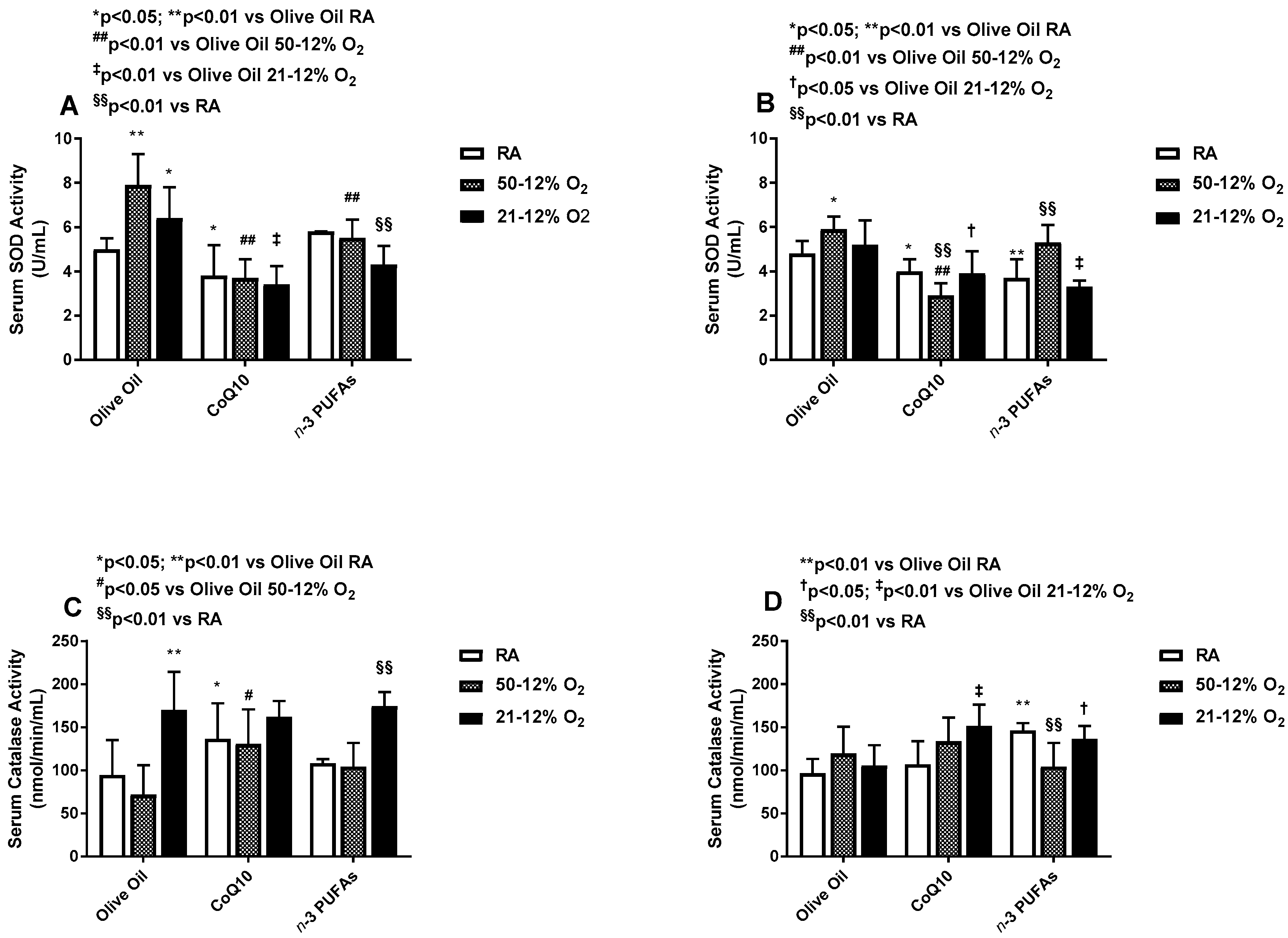
3.5. Effects on Serum Antioxidants
4. Discussion
4.1. Somatic Growth
4.2. Growth Factors
4.3. Antioxidants
5. Conclusions
Acknowledgments
Author Contributions
Conflicts of Interest
References
- Rhein, L.M.; Dobson, N.R.; Darnall, R.A.; Corwin, M.J.; Heeren, T.C.; Poets, C.F.; McEntire, B.L.; Hunt, C.E.; Caffeine Pilot Study Group. Effects of caffeine on intermittent hypoxia in infants born prematurely: A randomized clinical trial. JAMA Pediatr. 2014, 168, 250–257. [Google Scholar] [CrossRef] [PubMed]
- Di Fiore, J.M.; Martin, R.J.; Gauda, E.B. Apnea of prematurity-perfect storm. Respir. Physiol. Neurobiol. 2013, 189, 213–222. [Google Scholar] [CrossRef] [PubMed]
- Zhao, J.; Gonzalez, F.; Mu, D. Apnea of prematurity: From cause to treatment. Eur. J. Pediatr. 2011, 170, 1097–1105. [Google Scholar] [CrossRef] [PubMed]
- Stokowski, L.A. A primer on Apnea of prematurity. Adv. Neonatal Care 2005, 5, 155–170. [Google Scholar] [CrossRef] [PubMed]
- Martin, R.J.; Di Fiore, J.M.; Macfarlane, P.M.; Wilson, C.G. Physiologic basis for intermittent hypoxic episodes in preterm infants. Adv. Exp. Med. Biol. 2012, 758, 351–358. [Google Scholar] [CrossRef] [PubMed]
- Beharry, K.D.; Cai, C.L.; Sharma, P.; Bronshtein, V.; Valencia, G.B.; Lazzaro, D.R.; Aranda, J.V. Hydrogen peroxide accumulation in the choroid during intermittent hypoxia increases risk of severe oxygen-induced retinopathy in neonatal rats. Investig. Ophthalmol. Vis. Sci. 2013, 54, 7644–7657. [Google Scholar] [CrossRef] [PubMed]
- Gao, J.; Ding, X.S.; Zhang, Y.M.; Dai, D.Z.; Liu, M.; Zhang, C.; Dai, Y. Hypoxia/oxidative stress alters the pharmacokinetics of CPU86017-RS through mitochondrial dysfunction and NADPH oxidase activation. Acta Pharmacol. Sin. 2013, 34, 1575–1584. [Google Scholar] [CrossRef] [PubMed]
- Pitkanen, O.M.; Hallman, M.; Andersson, S.M. Correlation of free oxygen radical-induced lipid peroxidation with outcome in very low birth weight infants. J. Pediatr. 1990, 116, 760–764. [Google Scholar] [CrossRef]
- Nagata, N.; Saji, M.; Ito, T.; Ikeno, S.; Takahashi, H.; Terakawa, N. Repetitive intermittent hypoxia-ischemia and brain damage in neonatal rats. Brain Dev. 2000, 22, 315–320. [Google Scholar] [CrossRef]
- Di Fiore, J.M.; Bloom, J.N.; Orge, F.; Schutt, A.; Schluchter, M.; Cheruvu, V.K.; Walsh, M.; Finer, N.; Martin, R.J. A higher incidence of intermittent hypoxemic episodes is associated with severe retinopathy of prematurity. J. Pediatr. 2010, 157, 69–73. [Google Scholar] [CrossRef] [PubMed]
- Pozo, M.E.; Cave, A.; Köroğlu, O.A.; Litvin, D.G.; Martin, R.J.; Di Fiore, J.; Kc, P. Effect of postnatal intermittent hypoxia on growth and cardiovascular regulation of rat pups. Neonatology 2012, 102, 107–113. [Google Scholar] [CrossRef] [PubMed]
- Chang, M.; Bany-Mohammed, F.; Kenney, M.C.; Beharry, K.D. Effects of a superoxide dismutase mimetic on biomarkers of lung angiogenesis and alveolarization during hyperoxia with intermittent hypoxia. Am. J. Transl. Res. 2013, 5, 594–607. [Google Scholar] [PubMed]
- Cai, C.L.; Aranda, J.V.; Valencia, G.B.; Xu, J.; Beharry, K.D. Chronic intermittent hypoxia causes lipid peroxidation and altered phase 1 drug metabolizing enzymes in the neonatal rat liver. React. Oxyg. Species 2017, 3, 218–236. [Google Scholar] [CrossRef]
- Romeo, C.; Eaton, S.; Quant, P.A.; Spitz, L.; Pierro, A. Neonatal oxidative liver metabolism: Effects of hydrogen peroxide, a putative mediator of septic damage. J. Pediatr. Surg. 1999, 34, 1107–1111. [Google Scholar] [CrossRef]
- Beharry, K.D.; Cai, C.L.; Soontarapornchai, K.; Ahmada, T.; Valencia, G.B.; Aranda, J.V. Intermittent hypoxia alters dose dependent caffeine effects on renal prostanoids and receptors in neonatal rats. Prostaglandins Other Lipid Mediat. 2017. [Google Scholar] [CrossRef] [PubMed]
- Perrone, S.; Mussap, M.; Longini, M.; Fanos, V.; Bellieni, C.V.; Proietti, F.; Cataldi, L.; Buonocore, G. Oxidative kidney damage in preterm newborns during perinatal period. Clin. Biochem. 2007, 40, 656–660. [Google Scholar] [CrossRef] [PubMed]
- Perrone, S.; Negro, S.; Tataranno, M.L.; Buonocore, G. Oxidative stress and antioxidant strategies in newborns. J. Matern. Fetal Neonatal. Med. 2010, 23, 63–65. [Google Scholar] [CrossRef] [PubMed]
- Freeman, B.A.; Crapo, J.D. Biology of disease: Free radicals and tissue injury. Lab. Investig. 1982, 47, 412–426. [Google Scholar] [PubMed]
- Sies, H. Oxidative stress: From basic research to clinical application. Am. J. Med. 1991, 91 (Suppl. 3C), 31–39. [Google Scholar] [CrossRef]
- Kloner, R.A.; Przyklenk, K.; Whittaker, P. Deleterious effects of oxygen radicals in ischaemia-reperfusion. Circulation 1989, 80, 1115–1127. [Google Scholar] [CrossRef] [PubMed]
- Saugstad, O.D. Oxidative stress in the newborn—A 30-year perspective. Biol. Neonate 2005, 88, 228–236. [Google Scholar] [CrossRef] [PubMed]
- Saugstad, O.D. Hypoxanthine as an indicator of hypoxia: Its role in health and disease through free radical production. Pediatr. Res. 1988, 23, 143–150. [Google Scholar] [CrossRef] [PubMed]
- Inayat, M.; Bany-Mohammed, F.; Valencia, A.; Tay, C.; Jacinto, J.; Aranda, J.V.; Beharry, K.D. Antioxidants and Biomarkers of Oxidative Stress in Preterm Infants with Symptomatic Patent Ductus Arteriosus. Am. J. Perinatol. 2015, 32, 895–904. [Google Scholar] [CrossRef] [PubMed]
- Frank, L. Antioxidants, nutrition and bronchopulmonary dysplasia. Clin. Perinatol. 1992, 19, 541–561. [Google Scholar] [PubMed]
- Sullivan, J.L.; Newton, R.B. Serum antioxidant activity in neonates. Arch. Dis. Child. 1988, 63, 748–757. [Google Scholar] [CrossRef] [PubMed]
- Bienert, G.P.; Moller, A.L.; Kristiansen, K.A.; Schulz, A.; Moller, I.M.; Schjoerring, J.K.; Jahn, T.P. Specific aquaporins facilitate the diffusion of hydrogen peroxide across membranes. J. Biol. Chem. 2007, 282, 1183–1192. [Google Scholar] [CrossRef] [PubMed]
- Halliwell, B.; Gutteridge, J.M. Biologically relevant metal ion-dependent hydroxyl radical generation. An update. FEBS Lett. 1992, 307, 108–112. [Google Scholar] [CrossRef]
- Mäkelä, E.; Takala, T.I.; Suominen, P.; Matomäki, J.; Salmi, T.T.; Rajamäki, A.; Lapinleimu, H.; Lehtonen, L.; Irjala, K.; Lähteenmäki, P.M. Hematological parameters in preterm infants from birth to 16 weeks of age with reference to iron balance. Clin. Chem. Lab. Med. 2008, 46, 551–557. [Google Scholar] [CrossRef] [PubMed]
- Joshi, R.; van Pul, C.; Atallah, L.; Feijs, L.; Van Huffel, S.; Andriessen, P. Pattern discovery in critical alarms originating from neonates under intensive care. Physiol. Meas. 2016, 37, 564–579. [Google Scholar] [CrossRef] [PubMed]
- Martin, C.R.; Dasilva, D.A.; Cluette-Brown, J.E.; Dimonda, C.; Hamill, A.; Bhutta, A.Q.; Coronel, E.; Wilschanski, M.; Stephens, A.J.; Driscoll, D.F.; et al. Decreased postnatal docosahexaenoic and arachidonic acid blood levels in premature infants are associated with neonatal morbidities. J. Pediatr. 2011, 159, 743–749. [Google Scholar] [CrossRef] [PubMed]
- Bernhard, W.; Raith, M.; Koch, V.; Kunze, R.; Maas, C.; Abele, H.; Poets, C.F.; Franz, A.R. Plasma phospholipids indicate impaired fatty acid homeostasis in preterm infants. Eur. J. Nutr. 2014, 53, 1533–1547. [Google Scholar] [CrossRef] [PubMed]
- Lapillonne, A.; Jensen, C.L. Reevaluation of the DHA requirement for the premature infant. Prostaglandins Leukot. Essent. Fat. Acids 2009, 81, 143–150. [Google Scholar] [CrossRef] [PubMed]
- Zhang, P.; Lavoie, P.M.; Lacaze-Masmonteil, T.; Rhainds, M.; Marc, I. Omega-3 longchain polyunsaturated fatty acids for extremely preterm infants: A systematic review. Pediatrics 2014, 134, 120–134. [Google Scholar] [CrossRef] [PubMed]
- Lapillonne, A.; Moltu, S.J. Long-Chain Polyunsaturated Fatty Acids and Clinical Outcomes of Preterm Infants. Ann. Nutr. Metab. 2016, 69 (Suppl. 1), 35–44. [Google Scholar] [CrossRef] [PubMed]
- Richard, D.; Kefi, K.; Barbe, U.; Bausero, P.; Visioli, F. Polyunsaturated fatty acids as antioxidants. Pharmacol. Res. 2008, 57, 451–455. [Google Scholar] [CrossRef] [PubMed]
- Mansfield, K.D.; Guzy, R.D.; Pan, Y.; Young, R.M.; Cash, T.P.; Schumacker, P.T.; Simon, M.C. Mitochondrial dysfunction resulting from loss of cytochrome c impairs cellular oxygen sensing and hypoxic HIF-alpha activation. Cell Metab. 2005, 1, 393–399. [Google Scholar] [CrossRef] [PubMed]
- Semenza, G.L. Oxygen-dependent regulation of mitochondrial respiration by hypoxia-inducible factor 1. Biochem. J. 2007, 405, 1–9. [Google Scholar] [CrossRef] [PubMed]
- Aberg, F.; Appelkvist, E.L.; Dallner, G.; Ernster, L. Distribution and redox state of ubiquinones in rat and human tissues. Arch. Biochem. Biophys. 1992, 295, 230–234. [Google Scholar] [CrossRef]
- Garrido-Maraver, J.; Cordero, M.D.; Oropesa-Avila, M.; Vega, A.F.; de la Mata, M.; Pavon, A.D.; Alcocer-Gomez, E.; Calero, C.P.; Paz, M.V.; Alanis, M.; et al. Clinical applications of coenzyme Q10. Front. Biosci. 2014, 19, 619–633. [Google Scholar] [CrossRef]
- Lee, D.; Kim, K.Y.; Shim, M.S.; Kim, S.Y.; Ellisman, M.H.; Weinreb, R.N.; Ju, W.K. Coenzyme Q10 ameliorates oxidative stress and prevents mitochondrial alteration in ischemic retinal injury. Apoptosis 2014, 19, 603–614. [Google Scholar] [CrossRef] [PubMed]
- Bergamini, C.; Moruzzi, N.; Sblendido, A.; Lenaz, G.; Fato, R. A water soluble CoQ10 formulation improves intracellular distribution and promotes mitochondrial respiration in cultured cells. PLoS ONE 2012, 7, e33712. [Google Scholar] [CrossRef] [PubMed]
- Sarmiento, A.; Diaz-Castro, J.; Pulido-Moran, M.; Kajarabille, N.; Guisado, R.; Ochoa, J.J. Coenzyme Q10 Supplementation and Exercise in Healthy Humans: A Systematic Review. Curr. Drug Metab. 2016, 17, 345–358. [Google Scholar] [CrossRef] [PubMed]
- Fitch, C.D.; Folkers, K. Coenzyme Q and the stability of biological membranes. Biochem. Biophys. Res. Commun. 1967, 26, 128–131. [Google Scholar] [CrossRef]
- Desbats, M.A.; Vetro, A.; Limongelli, I.; Lunardi, G.; Casarin, A.; Doimo, M.; Spinazzi, M.; Angelini, C.; Cenacchi, G.; Burlina, A.; et al. Primary coenzyme Q10 deficiency presenting as fatal neonatal multiorgan failure. Eur. J. Hum. Genet. 2015, 23, 1254–1258. [Google Scholar] [CrossRef] [PubMed]
- Robles, R.; Palomino, N.; Robles, A. Oxidative Stress in the neonate. Early Hum. Dev. 2001, 65, S75–S81. [Google Scholar] [CrossRef]
- Terán, E.; Racines-Orbe, M.; Toapanta, J.; Valdivieso, L.; Vega, Z.; Vivero, S.; Moya, W.; Chedraui, P.; Pérez-López, F.R. Maternal plasma and amniotic fluid coenzyme Q10 levelsin preterm and term gestations: A pilot study. Arch. Gynecol. Obstet. 2011, 283 (Suppl. 1), 67–71. [Google Scholar] [CrossRef] [PubMed]
- Aranda, J.V.; Cai, C.L.; Ahmad, T.; Bronshtein, V.; Sadeh, J.; Valencia, G.B.; Lazzaro, D.R.; Beharry, K.D. Pharmacologic synergism of ocular ketorolac and systemic caffeine citrate in rat oxygen-induced retinopathy. Pediatr. Res. 2016, 80, 554–565. [Google Scholar] [CrossRef] [PubMed]
- Fassett, R.G.; Gobe, G.C.; Peake, J.M.; Coombes, J.S. Omega-3 polyunsaturated fatty acids in the treatment of kidney disease. Am. J. Kidney Dis. 2010, 56, 728–742. [Google Scholar] [CrossRef] [PubMed]
- Koletzko, B.; Goulet, O. Fish oil containing intravenous lipid emulsions in parenteral nutrition-associated cholestatic liver disease. Curr. Opin. Clin. Nutr. Metab. Care 2010, 13, 321–326. [Google Scholar] [CrossRef] [PubMed]
- Qiu, Y.D.; Wang, S.; Yang, Y.; Yan, X.P. Omega-3 polyunsaturated fatty acids promote liver regeneration after 90% hepatectomy in rat. World J. Gastroenterol. 2012, 18, 3288–3295. [Google Scholar] [CrossRef] [PubMed]
- Farahani, R.; Kanaan, A.; Gavrialov, O.; Brunnert, S.; Douglas, R.M.; Morcillo, P.; Haddad, G.G. Differential effects of chronic intermittent and chronic constant hypoxia on postnatal growth and development. Pediatr. Pulmonol. 2008, 43, 20–28. [Google Scholar] [CrossRef] [PubMed]
- Hellström, A.; Engström, E.; Hård, A.L.; Albertsson-Wikland, K.; Carlsson, B.; Niklasson, A.; Löfqvist, C.; Svensson, E.; Holm, S.; Ewald, U.; et al. Postnatal serum insulin-like growth factor I deficiency is associated with retinopathy of prematurity and other complications of premature birth. Pediatrics 2003, 112, 1016–1020. [Google Scholar] [CrossRef] [PubMed]
- Coleman, R.J.; Beharry, K.D.; Brock, R.S.; Abad-Santos, P.; Abad-Santos, M.; Modanlou, H.D. Effects of brief, clustered versus dispersed hypoxic episodes on systemic and ocular growth factors in a rat model of oxygen-induced retinopathy. Pediatr. Res. 2008, 64, 50–55. [Google Scholar] [CrossRef] [PubMed]
- Harada, I.; Tsutsumi, O.; Momoeda, M.; Horikawa, R.; Yasunaga, T.; Tanaka, T.; Taketani, Y. Comparative concentrations of growth hormone-binding protein in maternal circulation, fetal circulation, and amniotic fluid. Endocr. J. 1997, 44, 111–116. [Google Scholar] [CrossRef] [PubMed]
- Cornblath, M.; Parker, M.L.; Reisner, S.H.; Forbes, A.E.; Daughaday, W.H. Secretion and metabolism of growth hormone in premature and full-term infants. J. Clin. Endocrinol. 1965, 25, 209–218. [Google Scholar] [CrossRef] [PubMed]
- Kargi, A.Y.; Merriam, G.R. Diagnosis and treatment of growth hormone deficiency in adults. Nat. Rev. Endocrinol. 2013, 9, 335–345. [Google Scholar] [CrossRef] [PubMed]
- Chia, D.J. Minireview: Mechanisms of growth hormone-mediated gene regulation. Mol. Endocrinol. 2014, 28, 1012–1025. [Google Scholar] [CrossRef] [PubMed]
- Vijayakumar, A.; Yakar, S.; LeRoith, D. The intricate role of growth hormone in metabolism. Front. Endocrinol. 2011, 2, 32. [Google Scholar] [CrossRef] [PubMed]
- Clemmons, D.R. Role of insulin-like growth factor binding proteins in controlling IGF actions. Mol. Cell. Endocrinol. 1998, 140, 19–24. [Google Scholar] [CrossRef]
- Maki, R.G. Small is beautiful: Insulin-like growth factors and their role in growth, development, and cancer. J. Clin. Oncol. 2010, 28, 4985–4995. [Google Scholar] [CrossRef] [PubMed]
- Rajaram, S.; Baylink, D.J.; Mohan, S. Insulin-like growth factor-binding proteins in serum and other biological fluids: Regulation and functions. Endocr. Rev. 1997, 18, 801–831. [Google Scholar] [CrossRef] [PubMed]
- Laron, Z.; Bidingmaier, M.; Strasburger, C.J. Indications, limitations and pitfalls in the determination of human growth hormone, IGF-I and their binding proteins. Pediatr. Endocrinol. Rev. 2007, 5 (Suppl. 1), 555–569. [Google Scholar] [PubMed]
- Skalkidou, A.; Petridou, E.; Papathoma, E.; Salvanos, H.; Trichopoulos, D. Growth velocity during the first postnatal week of life is linked to a spurt of IGF-I effect. Paediatr. Perinat. Epidemiol. 2003, 17, 281–286. [Google Scholar] [CrossRef] [PubMed]
- Delany, A.M.; Pash, J.M.; Canalis, E. Cellular and clinical perspectives on skeletal insulin-like growth factor, I. J. Cell. Biochem. 1994, 55, 328–333. [Google Scholar] [CrossRef] [PubMed]
- Young, L.R.; Kurzer, M.S.; Thomas, W.; Redmon, J.B.; Raatz, S.K. Low-fat diet with omega-3 fatty acids increases plasma insulin-like growth factor concentration in healthy postmenopausal women. Nutr. Res. 2013, 33, 565–571. [Google Scholar] [CrossRef] [PubMed]
- Gholamhosseini, S.; Nematipour, E.; Djazayery, A.; Javanbakht, M.H.; Koohdani, F.; Zareei, M.; Djalali, M. ω-3 fatty acid differentially modulated serum levels of IGF1 and IGFBP3 in men with CVD: A randomized, double-blind placebo-controlled study. Nutrition 2015, 31, 480–484. [Google Scholar] [CrossRef] [PubMed]
- Ferrara, N.; Davis-Smyth, T. The biology of vascular endothelial growth factor. Endocr. Rev. 1997, 18, 4–25. [Google Scholar] [CrossRef] [PubMed]
- Ferrara, N. Vascular endothelial growth factor and the regulation of angiogenesis. Recent Prog. Horm. Res. 2000, 55, 15–35. [Google Scholar] [PubMed]
- Kendall, R.L.; Thomas, K.A. Inhibition of vascular endothelial growth factor by an endogenously encoded soluble receptor. Proc. Natl. Acad. Sci. USA 1993, 90, 10705–10709. [Google Scholar] [CrossRef] [PubMed]
- Chen, J.; Smith, L.E. Retinopathy of prematurity. Angiogenesis 2007, 10, 133–140. [Google Scholar] [CrossRef] [PubMed]
- Holley, A.K.; St. Clair, D.K. Watching the watcher: Regulation of p53 by mitochondria. Future Oncol. 2009, 5, 117–130. [Google Scholar] [CrossRef] [PubMed]








| Olive Oil | CoQ10 | n-3 PUFAs | |
|---|---|---|---|
| RA | |||
| Brain/Body Wt. Ratios | 0.05 ± 0.0063 | 0.05 ± 0.010 | 0.06 ± 0.01 * |
| Heart/Body Wt. Ratios | 0.006 ± 0.006 | 0.007 ± 0.002 | 0.007 ± 0.0017 |
| Lung/Body Wt. Ratios | 0.02 ± 0.003 | 0.02 ± 0.0045 | 0.02 ± 0.0034 |
| Liver/Body Wt. Ratios | 0.03 ± 0.003 | 0.028 ± 0.0064 * | 0.03 ± 0.0017 |
| Kidney/Body Wt. Ratios | 0.013 ± 0.0018 | 0.015 ± 0.0032 | 0.015 ± 0.003 * |
| 50–12% O2 IH | |||
| Brain/Body Wt. Ratios | 0.05 ± 0.011 | 0.06 ± 0.0056 * | 0.05 ± 0.0054 |
| Heart/Body Wt. Ratios | 0.006 ± 0.0012 | 0.007 ± 0.0015 * | 0.007 ± 0.0095 * |
| Lung/Body Wt. Ratios | 0.02 ± 0.0034 | 0.02 ± 0.0018 | 0.02 ± 0.0016 |
| Liver/Body Wt. Ratios | 0.025 ± 0.0026 | 0.02 ± 0.0033 * | 0.03 ± 0.0044 |
| Kidney/Body Wt. Ratios | 0.014 ± 0.0027 | 0.013 ± 0.002 * | 0.014 ± 0.0022 |
| 21–12% O2 IH | |||
| Brain/Body Wt. Ratios | 0.05 ± 0.0071 | 0.05 ± 0.005 | 0.05 ± 0.006 |
| Heart/Body Wt. Ratios | 0.007 ± 0.0015 * | 0.006 ± 0.0012 | 0.006 ± 0.0009 |
| Lung/Body Wt. Ratios | 0.02 ± 0.0042 | 0.02 ± 0.0032 | 0.019 ± 0.0025 |
| Liver/Body Wt. Ratios | 0.03 ± 0.0049 | 0.025 ± 0.0036 * | 0.028 ± 0.0047 |
| Kidney/Body Wt. Ratios | 0.015 ± 0.0033 | 0.014 ± 0.0024 | 0.013 ± 0.0016* |
| Olive Oil | CoQ10 | n-3 PUFAs | |
|---|---|---|---|
| RA | |||
| Brain/Body Wt. Ratios | 0.035 ± 0.0035 | 0.036 ± 0.0053 | 0.039 ± 0.0044 ** |
| Heart/Body Wt. Ratios | 0.007 ± 0.0016 | 0.007 ± 0.0014 | 0.006 ± 0.0008 |
| Lung/Body Wt. Ratios | 0.01 ± 0.0017 | 0.01 ± 0.0012 | 0.01 ± 0.0026 |
| Liver/Body Wt. Ratios | 0.04 ± 0.0061 | 0.05 ± 0.0081 ** | 0.047 ± 0.0083 * |
| Kidney/Body Wt. Ratios | 0.013 ± 0.0016 | 0.014 ± 0.0029 | 0.015 ± 0.002 * |
| 50–12% O2 IHR | |||
| Brain/Body Wt. Ratios | 0.046 ± 0.0082 | 0.058 ± 0.0051 ** | 0.05 ± 0.0042 |
| Heart/Body Wt. Ratios | 0.006 ± 0.0009 | 0.006 ± 0.0008 | 0.006 ± 0.0012 |
| Lung/Body Wt. Ratios | 0.01 ± 0.0025 | 0.01 ± 0.0018 | 0.01 ± 0.0021 |
| Liver/Body Wt. Ratios | 0.03 ± 0.0061 | 0.03 ± 0.0056 | 0.04 ± 0.0072 ** |
| Kidney/Body Wt. Ratios | 0.012 ± 0.0025 | 0.011 ± 0.0023 | 0.012 ± 0.0023 |
| 21–12% O2 IHR | |||
| Brain/Body Wt. Ratios | 0.04 ± 0.0062 | 0.039 ± 0.004 | 0.03 ± 0.0038 |
| Heart/Body Wt. Ratios | 0.006 ± 0.0009 | 0.0057 ± 0.0009 | 0.006 ± 0.0009 |
| Lung/Body Wt. Ratios | 0.01 ± 0.003 | 0.01 ± 0.0012 | 0.01 ± 0.0019 |
| Liver/Body Wt. Ratios | 0.03 ± 0.007 | 0.025 ± 0.0058 * | 0.039 ± 0.0054 ** |
| Kidney/Body Wt. Ratios | 0.012 ± 0.002 | 0.013 ± 0.0018 | 0.012 ± 0.0017 |
© 2017 by the authors. Licensee MDPI, Basel, Switzerland. This article is an open access article distributed under the terms and conditions of the Creative Commons Attribution (CC BY) license (http://creativecommons.org/licenses/by/4.0/).
Share and Cite
Beharry, K.D.; Cai, C.L.; Henry, M.M.; Chowdhury, S.; Valencia, G.B.; Aranda, J.V. Co-Enzyme Q10 and n-3 Polyunsaturated Fatty Acid Supplementation Reverse Intermittent Hypoxia-Induced Growth Restriction and Improved Antioxidant Profiles in Neonatal Rats. Antioxidants 2017, 6, 103. https://doi.org/10.3390/antiox6040103
Beharry KD, Cai CL, Henry MM, Chowdhury S, Valencia GB, Aranda JV. Co-Enzyme Q10 and n-3 Polyunsaturated Fatty Acid Supplementation Reverse Intermittent Hypoxia-Induced Growth Restriction and Improved Antioxidant Profiles in Neonatal Rats. Antioxidants. 2017; 6(4):103. https://doi.org/10.3390/antiox6040103
Chicago/Turabian StyleBeharry, Kay D., Charles L. Cai, Michael M. Henry, Sara Chowdhury, Gloria B. Valencia, and Jacob V. Aranda. 2017. "Co-Enzyme Q10 and n-3 Polyunsaturated Fatty Acid Supplementation Reverse Intermittent Hypoxia-Induced Growth Restriction and Improved Antioxidant Profiles in Neonatal Rats" Antioxidants 6, no. 4: 103. https://doi.org/10.3390/antiox6040103
APA StyleBeharry, K. D., Cai, C. L., Henry, M. M., Chowdhury, S., Valencia, G. B., & Aranda, J. V. (2017). Co-Enzyme Q10 and n-3 Polyunsaturated Fatty Acid Supplementation Reverse Intermittent Hypoxia-Induced Growth Restriction and Improved Antioxidant Profiles in Neonatal Rats. Antioxidants, 6(4), 103. https://doi.org/10.3390/antiox6040103
