Unveiling Resveratrone: A High-Performance Antioxidant Substance
Abstract
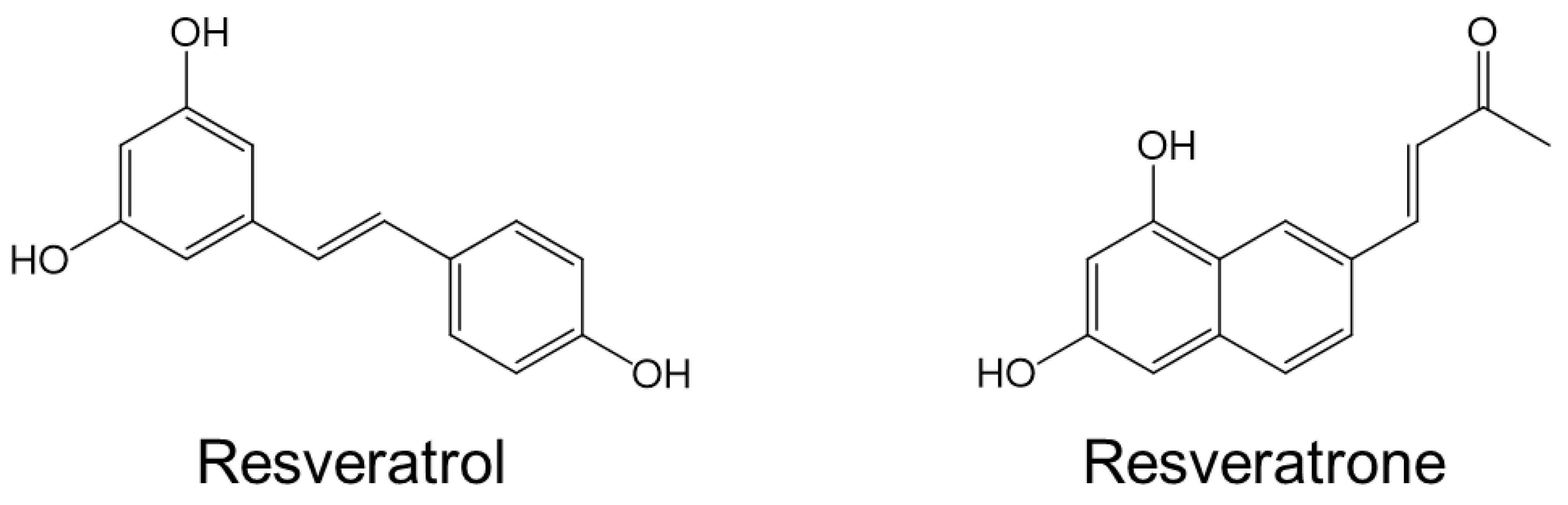
1. Introduction
2. Materials and Methods
2.1. Sample Preparation and Characterization
2.2. DPPH Assay
2.3. Melanin Synthesis Inhibition Assay
2.4. Tyrosinase Activity Measurement
2.5. Cell Proliferation Assay
2.6. Collagen Synthesis Assay
2.7. Antibacterial Assay
3. Results and Discussion
3.1. Antioxidant Activity
3.2. Inhibition of Melanin Synthesis and Tyrosinase Activity
3.3. Cell Proliferation and Collagen Synthesis Promotion
3.4. Antibacterial Activity
4. Conclusions
Supplementary Materials
Author Contributions
Funding
Institutional Review Board Statement
Informed Consent Statement
Data Availability Statement
Conflicts of Interest
References
- Quideau, S.; Deffieux, D.; Douat-Casassus, C.; Pouységu, L. Plant Polyphenols: Chemical Properties, Biological Activities, and Synthesis. Angew. Chem. Int. Ed. 2011, 50, 586–621. [Google Scholar] [CrossRef]
- Baur, J.A.; Sinclair, D.A. Therapeutic Potential of Resveratrol: The In Vivo Evidence. Nat. Res. Drug. Discov. 2006, 5, 493–506. [Google Scholar] [CrossRef] [PubMed]
- Tian, B.; Liu, J. Resveratrol: A Review of Plant Sources, Synthesis, Stability, Modification and Food Application. J. Sci. Food. Agric. 2020, 100, 1392–1404. [Google Scholar] [CrossRef] [PubMed]
- Catalgol, B.; Batirel, S.; Taga, Y.; Ozer, N.K. Resveratrol: French Paradox Revisited. Front. Pharmacol. 2012, 3, 141. [Google Scholar] [CrossRef] [PubMed]
- Keylor, M.H.; Matsuura, B.S.; Stephenon, C.R.J. Chemistry and Biology of Resveratrol-Derived Natural Products. Chem. Rev. 2015, 115, 8976–9027. [Google Scholar] [CrossRef]
- Agbadua, O.G.; Kúsz, N.; Berkecz, R.; Vass, E.; Csámpai, A.; Tóth, G.; Balogh, G.T.; Marcourt, L.; Wolfender, J.-L.; Queiroz, E.F.; et al. New Insights into the French Paradox: Free Radical Scavenging by Resveratrol Yields Cardiovascular Protective Metabolites. J. Med. Chem. 2025, 68, 10031–10047. [Google Scholar] [CrossRef]
- Frémont, L. Biological Effects of Resveratrol. Life Sci. 2000, 66, 663–673. [Google Scholar] [CrossRef]
- Wen, S.; Zhang, J.; Yang, B.; Elias, P.M.; Man, M.-Q. Role of Resveratrol in Regulating Cutaneous Functions. Evid. Based Complement. Alternat. Med. 2020, 2020, 2416837. [Google Scholar] [CrossRef]
- Ratz-Łyko, A.; Arct, J. Resveratrol as an Active Ingredient for Cosmetic and Dermatological Applications: A Review. J. Cosmet. Laser Ther. 2018, 21, 84–90. [Google Scholar] [CrossRef]
- Hou, C.-Y.; Tain, Y.-L.; Yu, H.-R.; Huang, L.-T. The Effects of Resveratrol in the Treatment of Metabolic Syndrome. Int. J. Mol. Sci. 2019, 20, 535. [Google Scholar] [CrossRef]
- Li, H.; Xia, N.; Hasselwander, S.; Daiber, A. Resveratrol and Vascular Function. Int. J. Mol. Sci. 2019, 20, 2155. [Google Scholar] [CrossRef] [PubMed]
- Xia, N.; Daiber, A.; Förstermann, U.; Li, H. Antioxidant Effects of Resveratrol in the Cardiovascular System. Br. J. Pharmacol. 2017, 174, 1633–1646. [Google Scholar] [CrossRef] [PubMed]
- Zhou, D.-D.; Luo, M.; Huang, S.-Y.; Saimaiti, A.; Shang, A.; Gan, R.-Y.; Li, H.-B. Effects and Mechanisms of Resveratrol on Aging and Age-Related Diseases. Oxid. Med. Cell. Longev. 2021, 2021, 9932218. [Google Scholar] [CrossRef] [PubMed]
- Rogina, B.; Tissenbaum, H.A. SIRT1, Resveratrol and Aging. Front. Genet. 2024, 15, 1393181. [Google Scholar] [CrossRef]
- Yoshinaga, M.; Toldo, J.M.; Rocha, W.R.; Barbatti, M. Photoisomerization Pathways of trans-Resveratrol. Phys. Chem. Chem. Phys. 2024, 26, 24179–24188. [Google Scholar] [CrossRef]
- Yang, I.; Kim, E.; Kang, J.; Han, H.; Sul, S.; Park, S.B.; Kim, S.K. Photochemical Generation of a New, Highly Fluorescent Compound from Non-Fluorescent Resveratrol. Chem. Commun. 2012, 48, 3839–3841. [Google Scholar] [CrossRef]
- Yang, I.; Lee, J.W.; Hwang, S.; Lee, J.E.; Lim, E.; Lee, J.; Hwang, D.; Kim, C.H.; Keum, Y.-S.; Kim, S.K. Live Bio-Imaging with Fully Bio-Compatible Organic Fluorophores. J. Photochem. Photobiol. B Biol. 2017, 166, 52–57. [Google Scholar] [CrossRef]
- Alonso, C.; Martí, M.; Barba, C.; Carrer, V.; Rubio, L.; Coderch, L. Skin Permeation and Antioxidant Efficacy of Topically Applied Resveratrol. Arch. Dermatol. Res. 2017, 309, 423–431. [Google Scholar] [CrossRef]
- Mohammadi, S.; Moghadam, M.D.; Nasiriasl, M.; Akhzari, M.; Barazesh, M. Insights into the Therapeutic and Pharmacological Properties of Resveratrol as a Nutraceutical Antioxidant Polyphenol in Health Promotion and Disease Prevention. Curr. Rev. Clin. Exp. Pharmacol. 2024, 19, 327–354. [Google Scholar] [CrossRef]
- Snyman, M.; Walsdorf, R.E.; Wix, S.N.; Gill, J.G. The Metabolism of Melanin Synthesis—From Melanocytes to Melanoma. Pigment Cell Melanoma Res. 2024, 37, 438–452. [Google Scholar] [CrossRef]
- Lim, Y.-J.; Lee, E.H.; Kang, T.H.; Ha, S.K.; Oh, M.S.; Kim, S.M.; Yoon, T.-J.; Kang, C.; Park, J.-H.; Kim, S.Y. Inhibitory Effects of Arbutin on Melanin Biosynthesis of α-Melanocyte Stimulating Hormone-Induced Hyperpigmentation in Cultured Brownish Guinea Pig Skin Tissues. Arch. Pharm. Res. 2009, 32, 367–373. [Google Scholar] [CrossRef]
- Ma, D.S.L.; Tan, L.T.-H.; Chan, K.-G.; Yap, W.H.; Pusparajah, P.; Chuah, L.-H.; Ming, L.C.; Khan, T.M.; Lee, L.-H.; Goh, B.-H. Resveratrol—Potential Antibacterial Agent Against Foodborne Pathogens. Front. Pharmacol. 2018, 9, 102. [Google Scholar] [CrossRef]
- Vestergaard, M.; Ingmer, H. Antibacterial and Antifungal Properties of Resveratrol. Int. J. Antimicrob. Agents 2019, 53, 716–723. [Google Scholar] [CrossRef]
- Mahady, G.B.; Pendland, S.L. Resveratrol Inhibits the Growth of Helicobacter Pylori in Vitro. Am. J. Gastroenterol. 2000, 95, 1849. [Google Scholar] [CrossRef]
- Taylor, E.J.M.; Yu, Y.; Champer, J.; Kim, J. Resveratrol Demonstrates Antimicrobial Effects Against Propionibacterium acnes In Vitro. Dermatol. Ther. 2014, 4, 249–257. [Google Scholar] [CrossRef]







Disclaimer/Publisher’s Note: The statements, opinions and data contained in all publications are solely those of the individual author(s) and contributor(s) and not of MDPI and/or the editor(s). MDPI and/or the editor(s) disclaim responsibility for any injury to people or property resulting from any ideas, methods, instructions or products referred to in the content. |
© 2025 by the authors. Licensee MDPI, Basel, Switzerland. This article is an open access article distributed under the terms and conditions of the Creative Commons Attribution (CC BY) license.
Share and Cite
Lim, E.; Gil, K.-E.; Park, K.-C. Unveiling Resveratrone: A High-Performance Antioxidant Substance. Antioxidants 2026, 15, 53. https://doi.org/10.3390/antiox15010053
Lim E, Gil K-E, Park K-C. Unveiling Resveratrone: A High-Performance Antioxidant Substance. Antioxidants. 2026; 15(1):53. https://doi.org/10.3390/antiox15010053
Chicago/Turabian StyleLim, Eunhak, Kyung-Eun Gil, and Kyoung-Chan Park. 2026. "Unveiling Resveratrone: A High-Performance Antioxidant Substance" Antioxidants 15, no. 1: 53. https://doi.org/10.3390/antiox15010053
APA StyleLim, E., Gil, K.-E., & Park, K.-C. (2026). Unveiling Resveratrone: A High-Performance Antioxidant Substance. Antioxidants, 15(1), 53. https://doi.org/10.3390/antiox15010053
